Plus Two Physics Notes Chapter 8 Electromagnetic Waves is part of Plus Two Physics Notes. Here we have given Plus Two Physics Notes Chapter 8 Electromagnetic Waves.
| Board | SCERT, Kerala |
| Text Book | NCERT Based |
| Class | Plus Two |
| Subject | Physics Notes |
| Chapter | Chapter 8 |
| Chapter Name | Electromagnetic Waves |
| Category | Plus Two Kerala |
Kerala Plus Two Physics Notes Chapter 8 Electromagnetic Waves
Introduction
In this chapter, we shall study the basic concepts of electromagnetic waves.
Displacement Current
Amperes circuital law in ac circuit: Consider a capacitor connected to a AC source using conducting wires. AC current can flow through a capacitor. Hence magnetic field is produced around the conducting wire. This magnetic field can be found using amperes circuital law.
Magnetic field at P
Method – 1 (To find magnetic field at P)

Consider a point P, which lies outside and very close to a capacitor as shown in the figure. We can find magnetic field at P using amperes circuital law. In order to find an magnetic field at P, consider a open surface (amperien loop having pot like surface) with a boundary of circle of radius r.
Applying amperes circuital law we get
\(\oint\)B.dI = µ0i
Where ‘i’ is the current passing through the surface. (This surface lies outside to capacitor)
Integrating we get B.2πr = µ0i
B = \(\frac{\mu_{0} i}{2 \pi r}\) _____(1)
Method – 2 (To find magnetic field at P)

Consider a open surface (amperien loop having pot like surface) extended to interior of capacitor with a boundary of circle of radius r.
Applying amperes circuital law we get
\(\oint\)B.dI = µ00
(since the current passing through the closed surface is zero, surface lies in between the plates)
ie. B = 0 ______(2)
Discussion of method 1 and method 2: Amperian circuital law is independent of size and shape of pot like surface. Hence we expect same value of B in eq(1)and eq(2). But we got different values at the same point P. Hence we can understand that there is a mistake in the amperes circuital law in AC circuits.
Maxwells correction in amperes circuital law:
To solve the above mistake, Maxwell introduced a term in the amperes circuital law. The modified amperes circuital law can be written as
\(\oint\)B.dI = µ0(ic + id)
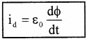
Where id is called displacement current. Its value is

The above-modified amperes circuital is known as Ampere- Maxwell law. This law is applicable for both AC and DC circuits.
Question 1.
Show that conduction current ic is equal to displacement current id
Answer:
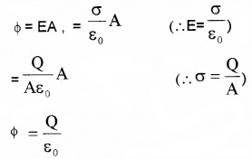
The flux passing through the surface in between plates (see figure 2)

Capacitor is connected to ac voltage. Hence the charge on the plate also changes with time. Hence the flux passing through the pot shape surface changes with time.
ie. the flux in between capacitor changes.
The change influx,

This means that the conduction current passing through the conduction wire is converted into displacement current, when it passes in between plates of capacitor.
1. The total current i is the sum of the conduction current and the displacement current
So we have

2. Outside the capacitor plates, we have only conduction current and no displacement current inside the capacitor there is no conduction current and there is only displacement current.
Electromagnetic Waves
1. Sources of Electromagnetic waves:
Question 2.
How are electromagnetic waves produced?
Answer:
Consider a charge oscillating with some frequency (An oscillating charge is an example of accelerating charge). This oscillation produces an oscillating electric and magnetic field in space. The oscillating electric and magnetic fields (EM Wave) propagates through the space. The experimental production of electromagnetic wave was done by Hertz’s experiment in 1887.
2. Nature of electromagnetic waves:
Characteristics of Electromagnetic waves:
(i) Electromagnetic waves propagate in the form of mutually perpendicular magnetic and electric
fields. The direction of propagation of wave is perpendicular to both magnetic and electric field vector.
(ii) Velocity of electromagnetic waves in free space is,

The speed of electromagnetic wave in a material medium is given by

(iii) The ratio of magnitudes of electric and magnetic field vectors in free space is constant

E and B are in same phase
(iv) No medium is required for propagation of transverse wave.
(v) Electromagnetic waves show properties of reflection, refraction, interference, diffraction and polarization.
(vi) Electromagnetic waves have capability to carry energy from one place to another.
Mathematical Expression:

Consider a plane electromagnetic wave travelling along the Z direction. The electric and magnetic fields are perpendicular to the direction of wave motion.
The electric field vector along the Y direction.
Ex = E0sin(kz – ωt)
and BY = B0sin(kz – ωt)
where E0 is the amplitude of electric field vector, B0 is the amplitude of magnetic field vector, ω is the angular frequency and k is related to the wavelength λ of the wave,
k = 2π/λ.
Electromagnetic Spectrum
Electromagnetic waves include visible light waves, X-rays, gamma rays, radio waves, microwaves, ultraviolet and infrared waves. The classification is based roughly on how the waves are produced or detected.
1. Radio waves:
Radio waves are produced by the accelerated motion of charges in conducting wires. They are used in radio and television communication systems. They are generally in the frequency range from 500 kHz to about 1000 MHz.
2. Microwaves:
Microwaves (short-wavelength radio waves), with frequencies in the gigahertz (GHz) range, are produced by special vacuum tubes (called klystrons, magnetrons, and Gunn diodes). Due to their short wavelengths, they are suitable for the radar systems used in aircraft navigation. Microwave ovens are domestic application of these waves.
3. Infrared waves:
Infrared waves are produced by hot bodies and molecules. Infrared waves are sometimes referred to as heatwaves. Infrared lamps are used in physical therapy.
Infrared rays are widely used in the remote switches of household electronic systems such as TV, video recorders etc. Infrared radiation also plays an important role in maintaining the earth’s warmth or average temperature through the greenhouse effect.
4. Visible rays:
It is the part of the spectrum that is detected by the human eye. It starts from 4 × 1014 Hz to 7 × 1014 Hz (ora wavelength range of about 700 – 400 nm).
5. Ultraviolet rays (UV):
It covers wavelengths ranging from about 4 × 10-7m to 6 × 10-10m (0.6 nm to 400 nm)). UV radiation is produced by special lamps and very hot bodies. The sun is an important source of ultraviolet light.
UV light in large quantities has harmful effects on humans. Exposure to UV radiation induces the production of more melanin, causing tanning of the skin. UV radiation is absorbed by ordinary glass. Hence, one cannot get tanned or sunburn through glass windows.
Due to its shorter wavelengths, UV radiations can be focussed into very narrow beams for high precision applications such as eye surgery. UV lamps are used to kill germs in water purifiers.

6. X-rays:
It covers wavelengths from about 10-8m to 10-13m (4nm – 10nm). One common way to generate X-rays is to bombard a metal target by high energy electrons. X-rays are used as a diagnostic tool in medicine and as a treatment for certain forms of cancer.
7. Gamma rays:
They lie in the upper-frequency range of the electromagnetic spectrum and have wavelengths of^rom about 10-10m to less than 10-14m. This high-frequency radiation is produced in nuclear reactions and also emitted by radioactive nuclei. They are used in medicine to destroy cancer cells.
Different Types Of Electromagnetic Waves:

We hope the Plus Two Physics Notes Chapter 8 Electromagnetic Waves help you. If you have any query regarding Plus Two Physics Notes Chapter 8 Electromagnetic Waves, drop a comment below and we will get back to you at the earliest.