Plus Two Physics Chapter Wise Questions and Answers Chapter 9 Ray Optics and Optical Instruments is part of Plus Two Physics Chapter Wise Questions and Answers. Here we have given Plus Two Physics Chapter Wise Questions and Answers Chapter 9 Ray Optics and Optical Instruments.
| Board | SCERT, Kerala |
| Text Book | NCERT Based |
| Class | Plus Two |
| Subject | Physics Chapter Wise Questions |
| Chapter | Chapter 9 |
| Chapter Name | Ray Optics and Optical Instruments |
| Category | Kerala Plus Two |
Kerala Plus Two Physics Chapter Wise Questions and Answers Chapter 9 Ray Optics and Optical Instruments
Plus Two Physics Ray Optics and Optical Instruments NCERT Text Book Questions and Answers
Question 1.
A beam of light converges at a point P. Now a lens is placed in the path of the convergent beam 12 cm from P. At what point does the beam converge if the lens is
- a convex lens of focal length 20 cm, and
- a concave lens of focal length 16 cm?
Answer:
Here the object is virtual and the image is real.
u = 12cm object on right and virtual.
1. f = +20 cm
![]()
i.e., v = 7.5 cm. (image on right and real). It is located 7.5 cm from the lens.
2. f = -16 cm
![]()
i.e., v = 48 cm. (image on right and real). Image will be located 48 cm from the lens.
Question 2.
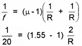
Double-convex lenses are to be manufactured from a glass of refractive index 1.55, with both faces of the same radius of curvature. What is the radius of curvature required if the focal length of the lens is to be 20 cm?
Answer:
\(\frac{\mu_{2}}{\mu_{1}}\) = µ = 1.55
R1 = R2 = R
f = 20 cm

R = 0.55 × 2 × 20 = 22 cm.
Question 3.
A small telescope has an objective lens of focal length 144 cm and eyepiece of focal length 6.0 cm. What is the magnifying power of the telescope? What is the separation between the objective and the eyepiece?
Answer:
1. For normal adjustment.
M.P. of telescope = \(\frac{f_{0}}{f_{e}}=\frac{144}{6}\) = 24
2. The length of the telescope in normal adjustment
L = fo + fe
= 144 + 6 = 150 cm.
Plus Two Physics Ray Optics and Optical Instruments One Mark Questions and Answers
Question 1.
Fora total internal reflection, which of the following is correct?
(a) Light travel from rarer to denser medium.
(b) Light travel from denser to rarer medium.
(c) Light travels in air only.
(d) Light travels in water only.
Answer:
(b) Light travel from denser to rarer medium.
Explanation: In total internal reflection, light travel from denser to rarer medium.
Question 2.
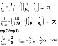
Focal length of a convex lens of refraction index 1.5 is 2 cm. The focal length of lens, when immersed in a liquid of refractive index of 1.25, will be.
(a) 10 cm
(b) 2.5 cm
(c) 5 c
(d) 7.5 cm
Answer:
(c) 5 c

Question 3.
If the refractive index of a material of equilateral prism is \(\sqrt{3}\), then angle of minimum deviation of the prism is
(a) 60°
(b) 45°
(c) 30°
(d) 75°
Answer:
(a) 60°
Explanation: A = 60°, n = \(\sqrt{3}\), D = ?

D = 60°.
Question 4.
Which of the following is correct for the beam which enters the medium?
(a) Travel as a cylindrical beam
(b) Diverge
(c) Converge
(d) Diverge near the axis and converge near the periphery
Answer:
(c) Converge.
Explanation: Since the refractive index is less at the beam boundary, the ray at the edges of the beam move faster compared to the axis of beam. Hence, the beam converges.
Question 5.
A beam of monochromatic light is refracted from vacuum into a medium of refraction index 1.5. the wavelength of refracted light will be.
(a) Depend on intensity of refracted light
(b) Same
(c) smaller
(d) larger
Answer:
(c) smaller
Explanation: velocity of light decreases in a medium. Hence λ decrease in a medium (v ∝ λ).
Question 6.
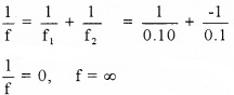
A convex lens and a concave lens, each having same focal length of 25 cm, are put in contact to form a combination of lenses. What is the power in diopters of the combination is
Answer:
Focal length of convex lens f1 = 25 cm
Focal length of concave lens f2 = -25 cm
Power of combination in diopters,

Question 7.
Fill in the blanks

Answer:
(i) n = \(\frac{c}{v}=\frac{3 \times 10^{8}}{2 \times 10^{8}}\) = 1.5
(ii) Optical fibre
Plus Two Physics Ray Optics and Optical Instruments Two Mark Questions and Answers
Question 1.
Match the following.
| A | B |
| Double convex | (R1 -ve, R2 +ve) |
| Double concave | (R, = ∞, R2 +ve) |
| Plane convex | (R1 +ve, R2-ve) |
| Plane concave | (R = ∞, R2 -ve) |
Answer:
| A | B |
| Double convex | (R, +ve, R2-ve) |
| Double concave | (R1 -ve, R2 +ve) |
| Plane convex | (R1 = α, R2 -ve) |
| Plane concave | (R1 = α, R2+ve) |
Plus Two Physics Ray Optics and Optical Instruments Three Mark Questions and Answers
Question 1.
A hemispherical transparent paperweight of radius 5m and refractive index 1.5 is placed on a table. A beam of lazar, at a distance of 2m from the centre is directed as shown in the figure.
1. Name the law which is related to refraction.
2. Locate the position of the image by completing the ray diagram.

3. With the source of laser at the centre of the hemisphere, redraw the ray diagram.
Answer:
1. Snell’s law
2.

3. The refracted ray is undeviated.

Question 2.
Figure (a) below snows the image observed at the near point of eye by a boy through a simple microscope. Eye focused on near point.

- Draw ray diagram which shows the image formation at infinity, so that the boy can observe it with a relaxed eye.
- Distinguish between linear magnification and angular magnification.
Answer:
1.

2. Linear magnification is the ratio of image height to object height. Angular magnifications is the ratio of the angle subtended by the image and the object on the eye when both are at the least distance of distinct vision.
Question 3.
Figure shows the path of the light rays through a glass slab.

- Name the phenomena involved here.
- Relate the values of n1, n2, i and r on the basis of one figure.
- Copy the figure of glass and draw the path of ray when n2 < n1.
Answer:
1. Refraction
2. \(\frac{\sin i}{\sin r}=\frac{n_{2}}{n_{1}}\)
3.

Question 4.
A light ray travelling from one medium to another medium is given in the figure.

1. Write a mathematical relation for this refraction.
- n2 < n1
- n2 > n1
- n2 = n1
2. What is a relation between angle of incidence, angle of refraction and refractive index of medium.
3. A flint glass rod when immersed in carbon disulfide is nearly invisible why?
Answer:
1. n2 < n1
2. \(\frac{\sin i}{\sin r}=\frac{n_{2}}{n_{1}}\)
3. Refractive index of flint glass rod and carbon disulfide are nearly equal. Hence no refraction (or reflection) takes place.
Question 5.
A convex lens and concave lens are placed as shown in the figure. For convex lens f = 10cm for concave it is 5 cm
- Is it converging or diverging why?
- If f1 = 5cm and f2 =10cm What change will occur in the optical nature of the system?

Answer:
1.

f = -10 cm
Effective focal length is negative. Hence this lens is diverging.
2. Effective focal length becomes positive- Hence the lens will act as converging.
Plus Two Physics Ray Optics and Optical Instruments Four Mark Questions and Answers
Question 1.
The maximum possible magnification for a simple microscope is 10
- How do you increase the magnification further(1)
- Draw the ray diagram for compound microscope and find an expression for magnification (3)
- What is the advantage of forming image at infinity? (1)
Answer:
1. Use two convex lens instead of single lens.
2.

The magnification produced by the compound microscope

Multiplying and dividing by I1M1 we get,

Where m0 & me are the magnifying power of objective lens and eyepiece lens.
∴ m = me × m0 ______(1)
Eyepiece acts as a simple microscope.
Therefore \(\mathrm{m}_{\mathrm{e}}=1+\frac{\mathrm{D}}{\mathrm{f}_{\mathrm{e}}}\) ______(2)
We know magnification of objective lens
m0 = \(\frac{V_{0}}{u_{0}}\) ______(3)
Where v0 and u0 are the distance of the image and object from the objective lens.
Substituting (2) and (3) in (1), we get

for compound microscope, u0 » f0 (because the object of is placed very close to the principal focus of the objective) and v0 ≈ L, length of microscope (because the first image is formed very close to the eye piece).

where L is the length of microscope, f0 is the focal length of objective lens.
3. Strain for eye, will be minimum when image is at infinity.
Question 2.
The refraction of light travelling from glass to water is shown in the figure.
1. The snells law in the above case can be written as………..

2. Show that c = \(\sin ^{-1}\left(_{g} n_{w}\right)\). Where C is the critical angle of glass water interface. (2)
3. Three light rays, (Red, blue and yellow) incident at one side and its refractions are shown in the figure. Copy the figure and mark Red, blue and yellow in the figure. (1)

Answer:
1.
![]()
2. In this i = c using snell law, we can write
![]()
3.

Question 3.
When a point object is placed in front of a spherical refracting surface an image is formed in the refracting medium.
1.

Complete the ray diagram to locate the position of the image.
2. Obtain the expression \(\frac{n_{2}}{v}-\frac{n_{1}}{u}=\frac{n_{2}-n_{1}}{R}\) for the position of image inside refracting medium.
3. If the refracting surface is concave in nature, with the same set up, locate the position of the image by drawing a ray diagram.
Answer:
1.

2. Refraction at a spherical surface:

Consider a convex surface XY, which separates two media having refractive indices n1 and n2. Let C be the centre of curvature and P be the pole. Let an object is placed at ‘O’, at a distance ‘u’ from the pole.
I is the real image of the object at a distance V from the surface. OA is the incident ray at angle ‘i’ and Al is the refracted ray at an angle ‘r’. OP is the ray incident normally. So it passes without any deviation. From snell’s law,
\(\frac{\sin i}{\sin r}=\frac{n_{2}}{n_{1}}\)
If ‘i’ and ‘r’ are small, then sin i » i and sin r » r.

n1i = n2r ……….(1)
From the Δ OAC, exterior angle = sum of the interior opposite angles
i-e., i = α + θ ………(2)
Similarly, from Δ IAC,
a = r + β
r = α – β ……..(3)
Substituting the values of eq(2) and eq(3)in eqn.(1) we get,
n1(α + θ) = n2(α – β)
n1α + n1β = n2α – n2β
n1θ + n2β = n2α – n1α
n1θ + n2β = (n2 – n1)α ………….(4)
From OAP, we can write,
![]()
From IAP, β = \(\frac{\mathrm{AP}}{\mathrm{PI}}\), From CAP, α = \(\frac{\mathrm{AP}}{\mathrm{PC}}\)
Substituting θ, β and α in equation (4) we get,

According to New Cartesian sign convection, we can write,
OP=-u, PI = +v and PC = R
Substituting these values, we get

![]()
Case -1:
If the first medium is air, n1 = 1, and n2 = n,
![]()
3.

Question 4.
A compound microscope consists of an objective lens of focal length 2cm and an eyepiece of focal length 6.25cm separated by a distance of 15cm. How far from the objective should an object be placed in order to obtain the final image at
- Least distance of distinct vision.
- infinity
Answer:
1. ve = -25cm
![]()
∴ uo = 5cm
Length of the tube, L= |vo| + |ue|
∴ vo = 15-5 = 10
![]()
ue = -2.5cm
2. ∴ vo = 15 – fe = 15 – 6.25 = 8.75
![]()
uo = -2.59cm
Question 5.
You may be observed that the fish inside the aquarium appears to be raised.
1. What is the reason for this phenomenon?
2. Obtain an expression for apparent shift offish.
3. What happens to the height of the object, (That vertically stands in the aquarium) when it is observed by the fish.
- becomes taller
- becomes smaller
- Does not change the height. Justify your answer.
Answer:
- Refraction
- Expression for apparent shift is not included in the syllabus
- Becomes taller. When light enters from rare to denser medium, it deviates towards the normal.
Question 6.
High precision optical instruments uses prisms instead of mirror to reflect light.
- Name the phenomena used for reflecting light using prism.
- What is the advantage of using prism instead of mirror for reflecting light?
- The critical angle of water is 52°. Calculate the refractive index of water.
Answer:
1. Total internal reflection
2. Prism can be used for total internal reflection. Mirrors can’t be used for total internal reflection.
3.
![]()
n = 1.26.
Question 7.
Two lenses of focal lengths f1 and f2 are placed in contact

1. If the object is at principal axis, draw ray diagram of the image formation by this lens.
2. Obtain a general expression for effective focal length in terms of f1 and f2.
3. How will you combine a convex lens of focal length f1 and concave lens f2 such that combination acts as
- Converging
- diverging
- plane glass plate
Answer:
1.

2. Obtain an expression for the effective focal length of the combination of two thin convex lenses in contact.
3.
- Keep in a medium of refractive index lower than that of lens.
- Keep in a medium of refractive index higher than that of lens.
- Keep in a medium of refractive index equal to refractive index of lens.
Question 8.
The light rays travelling from rarer to denser medium is given in the figure
1. Redraw the diagram and correct it

2. State the law relating i and r for retracted ray.
3. Velocity of light in water is 2.25 × 108 m/s, If angle of incidence is 30° calculate angle of refraction.
Answer:
1.

2. Snells law:
The ratio of the sine of the angle of incidence to the sine of the angle of refraction is a constant for a given pair of media and for the given colour of light used. This constant is known as the refractive index of second medium w.r. t. the first medium.
Explanation: If ‘i’ is the angle of incidence in the first medium and ‘r’ is the angle of refraction in the second medium, then by Snell’s law,
![]()
Where 1n2 is the refractive index of the second medium with respect to the first medium. If the first medium is air, then sin i/sin r is known as the absolute refractive index of the second medium.
![]()
where ‘n’ is the refractive index of the second medium.
3.

Question 9.
- An air bubble inside an ice block shine brilliant by……… (Refraction, Reflection, total internal reflection)
- Explain the above phenomenon.
- The light ray incident at one face of the prism is shown in figure. Copy this figure complete the path of the ray. (Take critical angle of prism C = 42°)

Answer:
1. Total internal reflection.
2. Whenarayoflightpassesfromadenserto rarer medium, after refraction the ray bends away from the normal. If we increases the angle of incidence beyond the critical angle, the ray is totally reflected back to the denser medium itself. This phenomenon is called total internal reflection.
3.

Question 10.
A convex lens produces an inverted image of size 1.4cm The size of object is 0.7cm
- What is magnification in the case
- What is the nature of image
- If the object is at distance 30 cm from the lens calculate focal length of the lens
Answer:
1.
![]()
2. Real, inverted, magnified
3.
![]()
Question 11.
A ray of light parallel to the principal axis of a spherical mirror falls at a point M as shown in the figure.

1. Identify the type of mirror used in the diagram. (1)
2. If the focal length of the mirror is 10cm, what is the distance CF in the figure? (1)
3. Complete the ray diagram and mark the angle of incidence and angle of reflection. (2)
4. If the mirror is immersed in water its focal length will be
- less than 10cm
- 10cm
- greater than 10cm
- 20cm
Answer:
1. Concave mirror.
2. 10 cm (CF = PC – PF = R = f – 2f – f = f = 10cm).
3.

4. 10cm. Focal length of mirror is independent of medium.
Question 12.
The given figure shows a compound microscope with two lenses PQ and RS.

- Identify Objective and eyepiece in the microscope.
- A compound microscope has a magnification of 30. The focal length of its eyepiece is 5cm. Assuming the final image to be formed at the least distance of distinctive vision, calculate the magnification produced by the objective.
- What is the length of a compound microscope in normal adjustment?
Answer:
1. Objective – PQ, eyepiece – RS.
2. Magnification, M = m0 × me

3. The length of a compound microscope in normal adjustment is f0 + fe.
Question 13.
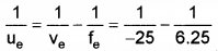
A compound microscope consists of an objective lens of focal length 2cm and an eyepiece of focal length 6.25cm separated by a distance of 15cm. How far from the objective should an object be placed in order to obtain the final image at
- Least distance of distinct vision.
- infinity
Answer:
1. ve = -25cm
![]()
∴ u0 = 5cm
Length of the tube, L= |v0| + |ue|
∴ v0 = 15 – 5 = 10
![]()
ue = -2.5 cm.
2. ∴ v0 = 15 – fe = 15 – 6.25 = 8.75
![]()
u0 = -2.59 cm
Plus Two Physics Ray Optics and Optical Instruments Five Mark Questions and Answers
Question 1.
A point object at a distance of 36 cm from the convex lens of focal length 10cm, is moved by 10cm in 2 sec along principle axis towards the lens. Then image will also change its position.
- Write the law which relates object and image distance from the lens.
- Find the initial and final position of the image and calculate average speed of image.
- A man argues that the image will move uniformly at the same speed as that of object. What is your opinion? Justify.
Answer:
1. The lens equation \(\frac{1}{f}=\frac{1}{v}-\frac{1}{u}\)
2. u = -36, f = 10
\(\frac{1}{v}-\frac{1}{u}=\frac{1}{f}\)
![]()
If object is moved 10cm towards the lens we can find position
u = -26, f=10
v = 7.2 cm
Speed = \(\frac{7.8-7.2}{2}\) = 3cm/sec.
3. Comparing speed of object and image we can arrive at conclusion that the argument of man is false, speed of image is different from speed of object.
Question 2.
A ray of light parallel to the principal axis of a spherical mirror falls at a point M as shown in the figure.

1. Identify the type of mirror used in the diagram.
2. If focal length of the mirror is 10cm, what is the distance CF in the figure?
3. Complete the ray diagram and mark the angle of incidence and angle of reflection.
4. If the mirror is immersed in water its focal length will be
- less than 10cm
- 10cm
- greater than 10cm
- 20cm
Answer:
1. Concave mirror.
2. 10 cm (CF = PC – PF = R = f – 2f – f = f = 10cm).
3.

4. 10cm. Focal length of mirror is independent of medium.
Question 3.
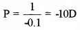
The image formed by a thin lens is shown in the figure.

- What is the nature of the image
- Find out the power of the image
- Draw the ray diagram showing the above lens forming a magnified erect, virtual image
- If a convex lens of focal length 20cm is kept in contact with the above lens. What is the focal length and power of the combination
Answer:
1. Inverted.
2. P= \(\frac{1}{1}\) =ID.
3.

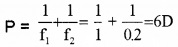
4. P = P1 + P2
in this case f1 = 1 m, f2 = 0.2m
![]()
Question 4.
A beam of light passing from one transparent medium to another obliquely undergoes an abrupt change in direction. This phenomenon is known as refraction of light.
- Name the law which satisfies during this refraction.
- Draw a figure, which shows refraction through a parallel-sided glass slab (Ray passing from air)
- Using the figure obtained in (b), show that the incident ray and the emergent ray are parallel to each other. Redraw the same figure, if the light is entering from a medium denser than glass. Justify your answer.
Answer:
1. Snell’s law.
2.

3. This derivation is out of syllabus.
4. The light bends away from the normal if light enter from glass to water.

Question 5.
A group of students are given a project for constructing a telescope and they were supplied with two biconvex lens of power 1 diopter and 0.1 dioptre.
- Of the two lenses, which can be used as objective?
- Draw the ray diagram for the formation of the image by a telescope.
- Arrive at an expression for magnification of a telescope.
- Prepare a notice/ label about the precaution to be taken while using the telescope and limitations of the telescope constructed.
Answer:
1. Biconvex lens of power 0.1 dioptre.
2.

3. Magnification:
The magnifying power of a telescope is the ratio of the angle subtended by the image at the eye to the angle subtended by the object at the objective.
\(\mathrm{m}=\frac{\text { angle subtented by the image at eye (eye piece) }}{\text { angle subtended by the object at the objective }}\)
i.e. m = \(\frac{β}{α}\) …….(1) [from figure]
But from ∆CIM, tanα = \(\frac{IM}{IC}\), α = \(\frac{IM}{IC}\)
(For small values tan α ≈ α)
from ∆C1IM, tanβ = \(\frac{IM }{\mathrm{IC}^{1}}\) , β = \(\frac{IM }{\mathrm{IC}^{1}}\)
substituting α and β in eq (1) we get

But IC = fo (the focal length objective lens) and ICl = fe (the focal length eyepiece lens.)

In this case the length of the telescope tube is (f0 + fe).
Case 1 :
When the image formed by the objective is within the focal length of the eyepiece, Then the final image is formed at the least distant of distinct vision. In this case, magnifying power.

4.
- As magnifying power is negative, the final image in an astronomical telescope is inverted.
- To have large magnifying power, fo must be as large as possible and fe must be as small as possible.
- As intermediate image is between the two lens, cross wire (ora measuring device) can be used.
- In normal setting of telescope, the final image is at infinity.
Question 6.
The following graph represent id curve of a optical instrument placed in air.

- Name the device which give the above i-d curve.
- Obtain an expression for deviation produced by such a device.
- What is the relevance of the value ‘D’? Arrive at an expression for refractive index in terms of this value from (b).
- How is the deviation affected if the above arrangement is immersed in a liquid of refractive index less than that of the above device.
Answer:
1. Prism.
2. Refraction through a prism:

ABC is a section of a prism. AB and AC are the refracting faces, BC is the base of the prism. ∠A is the angle of prism. Aray PQ incidents on the face AB at an angle i1. QR is the refracted ray inside the prism, which makes two angles r1 and r2 (inside the prism). RS is the emergent ray at angle i2.
The angle between the emergent ray and incident ray is the deviation ‘d’.
In the quadrilateral AQMR,
∠A + ∠R = 180°
[since N1M are normal]
ie, ∠A + ∠M = 180°____(1)
In the ∆ QMR,
∴ r1 + r2 + ∠M = 180° ____(2)
Comparing eq (1) and eq (2)
r1 + r2 = ∠A ____(3)
From the ∆ QRT,
(i1 – r1) + (i2 – r2) = d
[since exterior angle equal sum of the opposite interior angles]
(i1 + i2) – (r1 + r2) = d
but, r1 + r2 = A
∴ (i1 + i2) – A = d
3. At minimum deviation D = 2i – A, r1 = r2 = r

4. Deviation decreases.
Question 7.
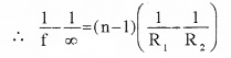
\(\frac{1}{f}=\left(\frac{n_{2}}{n_{i}}-t\right)\left(\frac{1}{R_{i}}-\frac{1}{R_{2}}\right)\) is lens maker’s formula.
1. Write down lens maker’s formula for a convex lens.
2. “If a convex lens is immersed in water its converging power decrease. Do you agree with it? Justify your answer.
3. A convex lens of refractive index n2 is placed in different media. Explain optic behavior in each. If n1 is refractive index of surrounding media.
- in medium with n2>n1
- in a medium with n2 < n1
- in a medium n1 = n2
Answer:
1. For convex lens R1 = +ve and R2 = -ve

2. Yes.
![]()
From the above equation it is clear that, \(\mathrm{P} \alpha \frac{\mathrm{n}_{2}}{\mathrm{n}_{1}}\)

In water, \(\frac{n_{2}}{n_{1}}\) is less. Hence power decreases.
3. P = +ve, converging
P = -ve, diverging
P = 0, Plane glass
Question 8.
Two convex lense are given in the figure A and figure B
- Which has more curvature
- Which has more power
- Which lens produce more magnification
- which lens has less focal length
- Can these lenses act as diverging lenses in any condition?

Answer:
- A
- A
- A
- A
- Yes, If we place this lens in a medium of higher refractive index than lens.
Question 9.
In the figure given below, PQ represents an incident ray falling in the side AB of a prism, when monochromatic light is used

- Draw the refracted ray, emergant ray and mark the angle of deviation
- Derive an equation for refractive index of the material of the prism in terms of angle of minimum deviation
- Draw the incident ray and refracted ray, at the angle of minimum deviation
Answer:
1.

2. Refraction through a prism:

ABC is a section of a prism. AB and AC are the refracting faces, BC is the base of the prism. ∠A is the angle of prism. Aray PQ incidents on the faceAB at an angle i1. QR is the refracted ray inside the prism, which makes two angles r1 and r2 (inside the prism). RS is the emergent ray at angle i2.
The angle between the emergent ray and incident ray is the deviation ‘d’.
In the quadrilateral AQMR,
∠A + ∠R = 180°
[since N1M are normal]
ie, ∠A + ∠M = 180°____(1)
In the ∆ QMR,
∴ r1 + r2 + ∠M = 180° ____(2)
Comparing eq (1) and eq (2)
r1 + r2 = ∠A ____(3)
From the ∆ QRT,
(i1 – r1) + (i2 – r2) = d
[since exterior angle equal sum of the opposite interior angles]
(i1 + i2) – (r1 + r2) = d
but, r1 + r2 = A
∴ (i1 + i2) – A = d
(i1 + i2) = d + A ____(4)
It is found that for a particular angle of incidence, the deviation is found to be minimum value ‘D’.
At the minimum deviation position,
i1 = i2 =i, r1 = r2 = r and d = D
Hence eq (3) can be written as,
r + r = A
or r = \(\frac{A}{2}\) ____(5)
Similarly eq (4) can be written as,
i + i = A + D
n = \(\frac{A + D}{2}\) ____(6)
Let n be the refractive index of the prism, then we can write,
n = \(\frac{sin i}{sin r}\) ____(7)
Substituting eq (5) and eq (6) in eq (7),
\(n=\frac{\sin \frac{A+D}{2}}{\sin \frac{A}{2}}\)
i – d curve:

It is found that when the angle of incidence increases deviation (d) decreases and reaches a minimum value and then increases. This minimum value of the angle of deviation is called the angle of minimum deviation.
3. Refracted ray is parallel to base

Question 10.
Refraction of a ray of light at a spherical surface separating two media having refractive indices n1 and n2 is shown in the figure.

- Which of the two media is more denser?
- In the figure, show that\(\frac{\mathrm{n}_{1}}{\mathrm{OA}}+\frac{\mathrm{n}_{2}}{\mathrm{AI}}=\frac{\mathrm{n}_{2}-\mathrm{n}_{1}}{\mathrm{AC}}\).
- Using the above relation arrive at the thin lens formula.
- An object is placed on the principal axis of a convex lens at a distance 8 cm from it. Find the magnification of the image if the focal length of the lens is 4 cm.
Answer:
1. Refractive index of medium 2 is greater than medium 1.
2. Refraction at a spherical surface

Consider a convex surface XY, which separates two media having refractive indices n1 and n2. Let C be the centre of curvature and P be the pole. Let an object is placed at ‘O’, at a distance ‘u’ from the pole.
I is the real image of the object at a distance V from the surface. OA is the incident ray at angle ‘i’ and Al is the refracted ray at an angle ‘r’. OP is the ray incident normally. So it passes without any deviation. From snell’s law,
\(\frac{\sin i}{\sin r}=\frac{n_{2}}{n_{1}}\)
If ‘i’ and ‘r’ are small, then sin i » i and sin r » r.

n1i = n2r ……….(1)
From the Δ OAC, exterior angle = sum of the interior opposite angles
i-e., i = α + θ ………(2)
Similarly, from Δ IAC,
α = r + β
r = α – β……..(3)
Substituting the values of eq(2) and eq(3)in eqn. (1) we get,
n1(α + θ) = n2(α – β)
n1α + n1β = n2α – n2β
n1θ + n2β = n2α – n1α
n1θ + n2β = (n2 – n1)α ………….(4)
From OAP, we can write,
![]()
From IAP, β = \(\frac{\mathrm{AP}}{\mathrm{PI}}\), From CAP, a= \(\frac{\mathrm{AP}}{\mathrm{PC}}\)
Substituting θ, β, and α in equation (4) we get,

According to New Cartesian sign convection, we can write,
OP=-u, PI = +v and PC = R
Substituting these values, we get

![]()
Case -1:
If the first medium is air, n1 = 1, and n2 = n,
![]()
3. Consider a thin lens of refractive index n2 formed by the spherical surfaces ABC and ADC. Let the lens is kept in a medium of refractive index n1. Let an object ‘O’ is placed in the medium of refractive index n1 Hence the incident ray OM is in the medium of refractive index n1 and the refracted ray MN is in the medium of refractive index n1.

The spherical surface ABC (radius of curvature R1) forms the image at I1 Let ‘u’ be the object distance and ‘v1’ be the image distance.
Then we can write,

This image I1 will act as the virtual object for the surface ADC and forms the image at v.
Then we can write,

Dividing throughout by n1, we get
![]()
if the lens is kept in air, \(\frac{n_{2}}{n_{1}}\) = n
So the above equation can be written as,
![]()
From the definition of the lens, we can take, when
U = ∞, f = v
Substituting these values in the eq (3), we get

This is lens maker’s formula

For convex lens,
f = +ve, R1 = +ve, R2 = – ve

For concave lens,
f = -ve, R1 = -ve, R2 = +ve

Lens formula From eq(4),

4. u = -8cm, f = +4cm
m = \(\frac{f}{f+u}=\frac{4}{4+-8}\)
m = -1.
Question 11.
Two lenses L1 and L2 are placed in contact as shown in figures. The focal length of each lens is 10cm
- What is power of L1
- What is power of L2
- What is effective focal length of combination
- “The power of convex is greater than that of concave and combination can act as a diverging lens”. Is this statement true in any situation? Explain?

Answer:
1.
![]()
2.
![]()
3.

The combination will act as plane glass.
4. This is true statement. If we place the above combination in a medium of refractive index greater than this condition.
Question 12.
A lens of particular focal length is made from a given glass by adjusting radius of curvature. The formula applied in this case is lens maker’s formula
1. Write down lens maker’s formula
2. Derive lens maker’s formula considering refraction at a spherical surface
3. Explain the following facts based on lens maker’s formula
- power of sun glasses is zero even though they are curved
- if a lens is immersed in water focal length increases
Answer:
1.

2. Refraction by a lens:
Lens Maker’s Formula (for a thin lens): Consider a thin lens of refractive index n2 formed by the spherical surfaces ABC and ADC. Let the lens is kept in a medium of refractive index n1. Let an object ‘O’ is placed in the medium of refractive index n1. Hence the incident ray OM is in the medium of refractive index n1 and the refracted ray MN is in the medium of refractive index n2.

The spherical surface ABC (radius of curvature R,) forms the image at l1. Let ‘u’ be the object distance and ‘v1’ be the image distance.
Then we can write,
![]()
Adding eq (1) and eq (2) we get

Dividing throughout by n1, we get

if the lens is kept in air, \(\frac{n_{2}}{n_{1}}\) = n
So the above equation can be written as,

From the definition of the lens, we can take, when u = ∞, f = v
Substituting these values in the eq (3), we get
![]()
This is lens maker’s formula
\(\frac{1}{f}=(n-1)\left(\frac{1}{R_{1}}-\frac{1}{R_{2}}\right)\) ____(5)
For convex lens.
f = +ve, R1 = +ve, R2 = – ve

For concave lens,
f = -ve, R1 = -ve, R2 = +ve

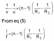
Lens formula
From eq(4),

From eq(5)
![]()
From these two equations, we get

Linear magnification :
If ho is the height of the object and hi is the height of the image, then linear magnification.
![]()
3.
a. R1 = R, R2 = +R

power of lens, P = 0
b. We know
![]()
The above equation shows when n1 increases f decreases the refractive index of water is greater than air. Hence when we place a lens in water, focal length decreases.
We hope the Kerala Plus Two Physics Chapter Wise Questions and Answers Chapter 9 Ray Optics and Optical Instruments help you. If you have any query regarding Kerala Plus Two Physics Chapter Wise Questions and Answers Chapter 9 Ray Optics and Optical Instruments, drop a comment below and we will get back to you at the earliest.