Kerala Plus Two Maths Previous Year Question Paper March 2019 with Answers
| Board | SCERT |
| Class | Plus Two |
| Subject | Maths |
| Category | Plus Two Previous Year Question Papers |
Time : 2½ Hours
Cool off time : 15 Minutes
Maximum : 80 Score
General Instructions to Candidates :
- There is a ‘Cool off time’ of 15 minutes in addition to the writing time.
- Use the ‘Cool off time’ to get familiar with questions and to plan your answers.
- Read questions carefully before you answering.
- Read the instructions carefully.
- When you select a question, all the sub-questions must be answered from the same question itself.
- Calculations, figures and graphs should be shown in the answer sheet itself.
- Malayalam version of the questions is also provided.
- Give equations wherever necessary.
- Electronic devices except non programmable calculators are not allowed in the Examination Hall.
Question 1 to 7 carry 3 scores each. Answer any 6 questions. (6 × 3 = 18)
Question 1.
a) If f(x) = sinx, g(x) = x2, x∈R, them find (fog)(x)
b) Let u and v be two functions defined on R as u(x) = 2x – 3 and v(x) = \(\frac{3+x}{2}\). Prove that u and v are inverse to each other.
Answer:
a) f(x) = sinx, g(x) = x2, x∈R
fog(x) = f(g(x)) = f(x2) = sin(x2)
b) uov(x) = u(v(x))
= \(u\left(\frac{3+x}{2}\right)=\frac{2(3+x)}{2}-3\) = X
vou(x) = v(u(x))
v(2x – 3) = \(\frac{3+2 x-3}{2}\) = x
Question 2.
a) For the symmetric matrix
A = \(\left[\begin{array}{lll}
2 & x & 4 \\
5 & 3 & 8 \\
4 & y & 9
\end{array}\right]\)
Find the values of x and y.
b) From Part (a), verify AA’ and A + A’ are symmetric matrices.
Answer:
x = 5, y = 8
b)

Question 3.
a) Find the slope of tangent line to the curve y = x2 – 2x + 1
b) Find the equation to the above curve which is parallel to the line 2x – y + 9 = 0.
Answer:
a) y = x2 – 2x + 1 ⇒ \(\frac{d y}{d x}\) = 2x – 2
⇒ slope = 2x – 2
b) Since the tangent is parallel to the line 2x – y + 9 = 0 , both have same slope.
Slope of the line 2x – y + 9 = 0 is 2.
⇒ 2x – 2 = 2 ⇒ X = 2 ⇒ y = 1
Therefore the point is (2, 1)
Hence the equation of the tangent line is
y – 1 = 2 (x – 2) ⇒ y – 2x + 3 = 0
Question 4.
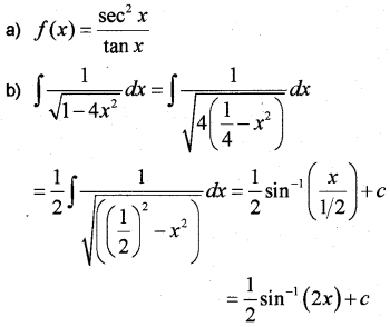
a) If ∫ f(x) dx = log |tan x| + C . Find f(x).
b) Evaluate ∫ \(\frac{1}{\sqrt{1-4 x^{2}}} d x\)
Answer:

Question 5.
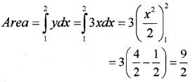
a) Area bounded by the curve y = f(x) and the lines x = a, x = b and the x axis = ………..

b) Find area of the shaded region using integration.

Answer:
a) i) \(\int_{a}^{b} x d y\)
b) Here the slope of the line is 3 and passes through the origin. So its equation is y = 3x.

Question 6.
a) The order of the differential equation formed by y = A sin x + B cos x + c, where A and B are arbitrary constants is
i) 1 ii) 2 iii) 0 iv) 3
b) Solve the differential equation
sec2x tan ydx + sec2y tan xdy = 0
Answer:
a) ii) 2
b) sec2x tan ydx + sec2y tan xdy = 0

⇒ log |tan x| + log |tan y| = log c
⇒ log |tan x tan y| = log c
⇒ tan x tan y = c
Question 7.
A factory produces three items P, Q and R at two plants A and B. The number of items produced and operating cost per hour is as follows:
| Plant | Item produced per hour | Operating cost | ||
| P | Q | R | ||
| A | 20 | 15 | 25 | Rs. 1000 |
| B | 30 | 12 | 23 | Rs. 800 |
It is desired to produce at least 500 items of type P, at least 400 items of type Q and 300 items of type R per day.
a) Is it a maximisation case or a minimisation case? Why?
b) Write the objective function and constraints.
Answer:
a) Cost of operation should be minimum for a factory.
Hence this is a minimisation problem.
b) Maximise : Z = 1000 x + 800 y
Subject to
20x + 30y ≥ 500; 15x +12y ≥ 400;
25x + 23y ≥ 300; x, y ≥ 0
Questions 8 to 17 carry 4 scores each. Answer any 8. (8 × 4 = 32)
Question 8.
a) The function P is defined as “to each person on the earth is assigned a date of birth.” Is this a function one-one? Give reason.
b) Consider the function f: \(\left[0, \frac{\pi}{2}\right]\) → R given by f(x) = sin x and g: \(\left[0, \frac{\pi}{2}\right]\) → R given by g(x) = cos x.
i) Show that f and g are one-one functions.
ii) Is f + g one-one? Why?
c) The number of one-one functions from a set containing 2 elements to a set containing 3 elements is ………..
i) 2 ii) 3 iii) 6 iv) 8
Answer:
a) Not one-one. Since different persons have same birthdays.
b) i) f(x) = sin x and g(x) = cos x are one-one in the domain value in the domainone \(\left[0, \frac{\pi}{2}\right]\). Since for each value in domain \(\left[0, \frac{\pi}{2}\right]\) both have only one image.
ii) (f + g)(x) = sin x + cos x
(f + g)(0) = sin0 + cos0 = 0 + 1 = 1

Hence not one-one.
c) 3P2 = 3 × 2 = 6
Question 9.
If A = sin-1 \(\frac{2 x}{1+x^{2}}\) ,B = cos-1 \(\frac{1-x^{2}}{1+x^{2}}\), C = tan-1 \(\frac{2 x}{1+x^{2}}\) satisfies the condition 3A – 4B + 2C = \(\frac{\pi}{3}\). Find the value of x.
Answer:
a) 3A – 4B + 2C = \(\frac{\pi}{3}\)
3sin-1 \(\frac{2 x}{1+x^{2}}\) – 4cos-1 \(\frac{1-x^{2}}{1+x^{2}}\) + 2tan-1 \(\frac{2 x}{1+x^{2}}\)
3 × 2 tan-1 x – 4 × 2 tan-1 x + 2 × 2 tan-1 x = \(\frac{\pi}{3}\)
⇒ 6tan-1 x – 8tan-1 x + 4tan-1 x = \(\frac{\pi}{3}\)
⇒ 2tan-1 x = \(\frac{\pi}{3}\) ⇒ tan-1 x = \(\frac{\pi}{6}\)
⇒ x = \(\frac{1}{\sqrt{3}}\)
Question 10.
a) Write the function whose graph is shown below.

b) Discuss the continuity of the function obtained in part (a).
c) Discuss the differentiability of the function obtained in part (a).
Answer:
a) f(x) = \(\left\{\begin{array}{ll}
x^{2}, & x \leq 0 \\
x, & x>0
\end{array}\right.\)
b)

For x > 0, f(x) = x which is a polynomial, hence continuous.
For x < 0, f(x) = x2 which is a polynomial, hence continuous. Therefore the function is continuous.
c) Since the function has a sharp corner at x = 0.
The function is not differentiable at x = 0.
Hence the function is not differentiable.

Therefore left derivative is not equal to right derivative. Hence not differentiable at x = 0.
Question 11.
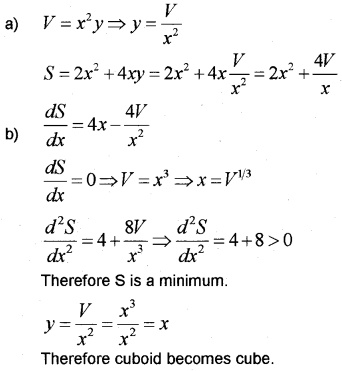
A cuboid with a square base and given volume ‘V’ is shown in the figure:

a) Express surface area ‘S’ as a function of x.
b) Show that the surface area is minimum when it is a cube.
Answer:

Question 12.
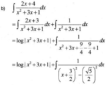
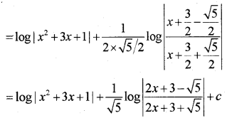
a) If 2x + 4 = A(2x + 3) + B, find A and B.
b) Using part (a) evaluate ∫\(\frac{2 x+4}{x^{2}+3 x+1} d x\)
Answer:
a) A = 1, B = 1


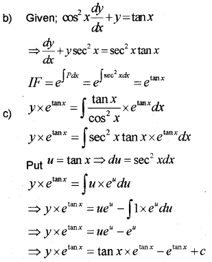
Question 13.
Consider the Differential equation cos2 x \(\frac{d y}{d x}\) + y = tan x. Find
a) its degree
b) the integrating factor
c) the general solution.
Answer:
a) One.

Question 14.
The position vectors of three points A, B, C are given to be i + 3j + 3k, 4i + 4k, -2i + 4j + 2k respectively
a) Find \(\overrightarrow{A B}\) and \(\overrightarrow{A C}\)
b) Find the angle between \(\overrightarrow{A B}\) and \(\overrightarrow{A C}\)
c) Find a vector which is perpendicular to both \(\overrightarrow{A B}\) and \(\overrightarrow{A C}\) having magnitude 9 units.
Answer:
a) \(\overrightarrow{A B}\) = 3i – 3j + k, \(\overrightarrow{A C}\) = -3i + j – k


Question 15.
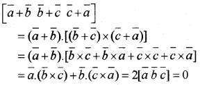
a) If \(\bar{a}\), \(\bar{b}\), \(\bar{c}\) are coplanar vectors, write the vector perpendicular to \(\bar{a}\)
b) If \(\bar{a}\), \(\bar{b}\), \(\bar{c}\) are coplanar, prove that [\(\bar{a}\) + \(\bar{b}\) \(\bar{b}\) + \(\bar{c}\) \(\bar{c}\) + \(\bar{a}\)] are coplanar.
Answer:
a) Cross product of \(\bar{a}\) with any of the vectors \(\bar{b}\) or \(\bar{c}\).
b) Given,
[\(\bar{a}\), \(\bar{b}\), \(\bar{c}\)] = 0

Question 16.
a) Write all the direction cosines of x-axis.
b) If a line makes α, β, γ with x, y, z axis respectively, then prove that sin2 α + sin2 β + sin2 γ = 2
c) If a line makes equal angles with the coordinate axes, find the direction cosines of the lines.
Answer:
a) 1, 0, 0
b) LHS = sin2 α + sin2 β + sin2 γ
= 1 – cos2 α + 1 — cos2 β + 1 — cos2 γ
= 3 – (cos2 α + cos2 β + cos2 γ) = 3 – 1 = 2
c) Given α, β, γ are equal. Then
⇒ cos2 α + cos2 α + cos2 α = 1
⇒ 3 cos2 α = 1
⇒ cos α = \(\frac{1}{\sqrt{3}}\)
⇒ α = cos-1 \(\frac{1}{\sqrt{3}}\)
Question 17.
The activities of a factory are given in the following table:
| Items | Departments | Profit per unit | ||
| Cutting | Mixing | Packing | ||
| A | 1 | 3 | 1 | Rs. 5 |
| B | 4 | 21 | 9 | Rs. 8 |
| Maximum time available | 24 | 21 | 9 | |
Solve the linear programming problem graphically and find the maximum profit subject to the above constraints.
Answer:
Maximise: Z= 5x + 8y
x + 4y ≤ 24; 3x + y ≤ 21; x + y ≤ 9; x, y ≥ 0

| Vertices | O (0, 0) | A (7, 0) | B (6, 3) | C (4, 5) | D |
| Z = 5x + 8y | 0 | 35 | 54 | 60 | 48 |
Maximum is at (4, 5); Z = 60
Questions from 18 to 24 carry 6 scores each. Answer any 5. (5 × 6 = 30)
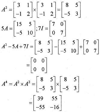
Question 18.
If A = \(\left[\begin{array}{cc}
3 & 1 \\
-1 & 2
\end{array}\right]\). Show that A2 – 5A + 7I = 0. Hence find A4 and A-1
Answer:

A2 – 5A + 7I = 0
Multiplying by A-1 we have;
A-1 (A2 – 5A + 7I) = 0
⇒ A – 5I + 7A-1 = 0

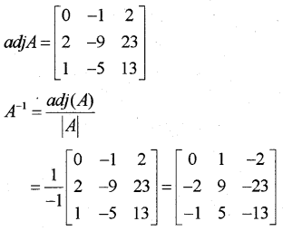
Question 19.
If A = \(\left[\begin{array}{ccc}
2 & -3 & 5 \\
3 & 2 & -4 \\
1 & 1 & -2
\end{array}\right]\), then
a) Find A-1
b) Using A-1 from part (a) solve the system of equations.
Answer:
|A| = \(\left|\begin{array}{ccc}
2 & -3 & 5 \\
3 & 2 & -4 \\
1 & 1 & -2
\end{array}\right|\) = -1
C11 = 0, C12 = 2, C13 = 1
C21 = -1, C22 = -9, C23 = -5
C31 = 2, C32 = 23, C33 = 13

b) X = A-1 B

Question 20.
Find for the following:
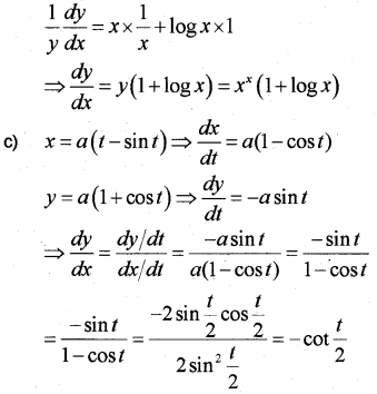
a) sin2 x + cos2 y = 1
b) y = xx
c) x = a(t – sin t), y = a(1 + cos t)
Answer:
a) sin2 x + cos2 y = 1
Differentiating w.r.to x we have;
2 sinx cosx + 2 cos y(-sin y) \(\frac{d y}{d x}\) = 0
sinx cosx = cosy siny \(\frac{d y}{d x}\)
\(\frac{d y}{d x}=\frac{\sin x \cos x}{\cos y \sin y}=\frac{\sin 2 x}{\sin 2 y}\)
b) y = xx Take log on both sides;
logy = x log x
Differentiating w.r to x

Question 21.
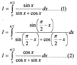
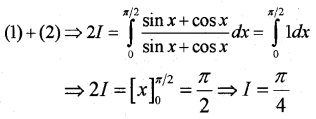
Evaluate the following:

Answer:
i)



Question 22.
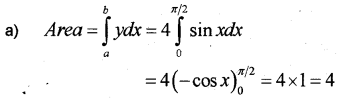
a) Find the area bounded by the curve y = sin x and the lines x = 0, x = 2π and x axis.
b) Two fences are made in a grass field as shown in the figure. A cow is tied at the point O with a rope of length 3m.

i) Using integration, find the maximum area of grass that cow graze within the fences. Choose D as origin.
ii) If there is no fences find the maximum area of grass that cow can graze.
Answer:

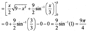
b) i) The Area the cow grazes in the sector of the circle with radius 3 and centered at origin.
x2 + y2 = 9 ⇒ y = \(\sqrt{9-x^{2}}\)
Area = \(\int_{a}^{b}\) ydx = \(\int_{0}^{3} \sqrt{9-x^{2}} d x\)

ii) The required area is area inside the full circle = 4 × \(\frac{9 \pi}{4}\) = 9π
Question 23.
a) Find the equation of the plane through the intersection of the planes 3x – y + 2z – 4 = 0 and x + y + z – 2 = 0 and the point (2, 2, 1).
b) The Cartesian equation of two lines are given by \(\frac{x+1}{7}=\frac{y+1}{-6}=\frac{z+1}{1}, \frac{x-3}{1}=\frac{y-5}{-2}=\frac{z-7}{1}\). Write the vector equation of these two lines.
c) Find the shortest distance between the lines mentioned in part (b).
Answer:
a) (3x – y + 2z – 4) + k (x + y + z – 2) = 0
It passes through the point (2, 2, 1)
(3(2) – 2 + 2(1) -4)+ k (2 + 2 + 1 – 2) = 0
⇒ 2 + k(3) = 0 ⇒ k = \(-\frac{2}{3}\)
(3x – y + 2z – 4) –\(\frac{2}{3}\) (x + y + z – 2) = 0
⇒ 9x -3y + 6z – 12 – 2x – 2y – 2z + 4 = 0
⇒ 7x – 5y + 4z – 8 = 0
b) \(\vec{r}\) = (-i – j – k) + λ (7i – 6j + k)
\(\vec{r}\) = (3i + 5j + 7k) + μ (i – 2j + k)
c) \(\overline{a_{1}}\) = -i -j -k; \(\overline{b_{1}}\) =7i – 6j + 2k
\(\overline{a_{2}}\) = 3i + 5j + 7k; \(\overline{b_{2}}\) =i – 2j + k
\(\overline{a_{2}}\) – \(\overline{a_{1}}\) = 4i + 4j + 8k

Question 24.
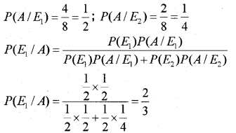
a) A bag contains 4 red and 4 black balls. Another bag contains 2 red and 5 black balls. One of the two bags is selected at random and a ball is drawn from the bag and which is found to be red. Find the probability that the ball is drawn from first bag.
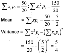
b) A random variable X has the following distribution function:
| X | 0 | 1 | 2 | 3 | 4 |
| P(x) | k | 3k | 5k | 7k | 4k |
i) Find k.
ii) Find the mean and the variance of the random variable.
Answer:
E1 = Event of choosing bag I
E2 = Event of choosing bag II
A = Event of drawing a red ball.
P(E1) = P(E2) = \(\frac{1}{2}\)

b) i) ΣPi = 1
⇒ k + 3k + 5k + 7k + 4k = 1
⇒ 20k = 1 ⇒ k = \(\frac{1}{20}\)
ii)

