Plus Two Maths Chapter Wise Questions and Answers Chapter 7 Integrals are part of Plus Two Maths Chapter Wise Questions and Answers. Here we have given Plus Two Maths Chapter Wise Questions and Answers Chapter 7 Integrals.
| Board | SCERT, Kerala |
| Text Book | NCERT Based |
| Class | Plus Two |
| Subject | Maths Chapter Wise Questions |
| Chapter | Chapter 7 |
| Chapter Name | Integrals |
| Number of Questions Solved | 49 |
| Category | Kerala Plus Two |
Kerala Plus Two Maths Chapter Wise Questions and Answers Chapter 7 Integrals
Plus Two Maths Integrals Three Mark Questions and Answers
Question 1.
Integrate the following. (3 Score each)
- ∫sin x sin 2x sin 3x dx
- ∫sec2x cos22x dx
Answer:
1. We have sin x sin 2x sin 3x
= 1/2 (2 sin x sin 3x) sin 2x
= 1/2 (cos 2x – cos 4x) sin 2x
= 1/4 (2 sin 2x cos 2x – 2 cos 4x sin 2x)
= 1/4 [sin 4x – (sin 6x – sin 2x)]
= 1/4(sin 4x + sin 2x – sin 6x)
∫sin x sin 2x sin 3x dx
= \(\frac{1}{4}\) ∫(sin 4x + sin 2x – sin 6x) dx
= –\(\frac{1}{16}\) cos 4x – \(\frac{1}{8}\) cos 2x + \(\frac{1}{24}\) cos 6x + c.
2. sec2x cos22x = \(\frac{\left(2 \cos ^{2} x-1\right)^{2}}{\cos ^{2} x}\)
= \(\left(\frac{2 \cos ^{2} x}{\cos x}-\frac{1}{\cos x}\right)^{2}\) = (2cosx – secx)2
= 4cos2x + sec2x – 4
= 2(1 + cos2x) + sec2x – 4
= 2cos2x + sec2x – 2
∫sec2 x cos2 2x dx = ∫(2 cos 2x + sec2 x – 2)dx
= sin 2x + tan x – 2x + c.
Question 2.
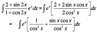
Find \(\int \frac{2+\sin 2 x}{1+\cos 2 x} e^{x} d x\)?
Answer:

= ∫ex [sec2 x + tan x]dx
= ∫ex[tanx + sec2x]dx = ex tanx + c.
Question 3.
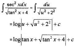
Evaluate \(\int \frac{\sec ^{2} x d x}{\sqrt{\tan ^{2} x+4}}\)?
Answer:
Put tanx = u, sec2xdx = dy

Question 4.
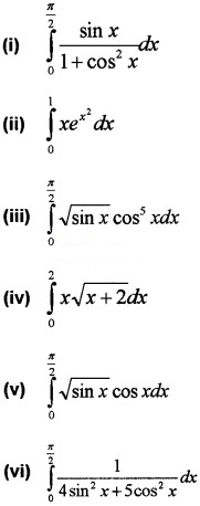
Find the following integrals.

Answer:
(i) I = \(\int_{0}^{\frac{\pi}{2}} \frac{\sin x}{1+\cos ^{2} x} d x\)
Put cosx = t ⇒ -sin xdx = dt
When x = 0 ⇒ t = cos0 = 1,

(ii) I = \(\int_{0}^{1} x e^{x^{2}} d x\)
Put x2 = t ⇒ 2xdx = dt
When x = 0 ⇒ t = 0,
x = 1 ⇒ t = 1
I = \(\frac{1}{2} \int_{0}^{1} e^{t} d t\) =
![]()
= [e1 – e0] = e – 1.

Put sin x = t ⇒ cos xdx = dt
When x = 0 ⇒ t = sin0 = 0,

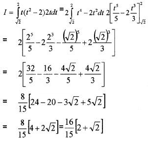
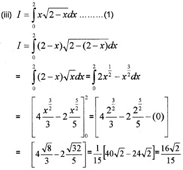
(iv) I = \(\int_{0}^{2} x \sqrt{x+2} d x\)
Put x + 2 = t2 ⇒ dx = 2tdt
When x = 0 ⇒ t = \(\sqrt{2}\), x = 2 ⇒ t = 2

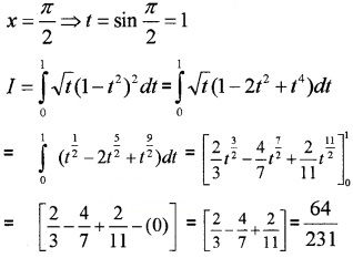
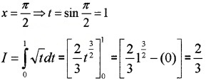
(v) I = \(\int_{0}^{\frac{\pi}{2}} \sqrt{\sin x} \cos x d x\)
Put sin x = t ⇒ cos xdx = dt
When x = 0 ⇒ t = sin0 = 0,


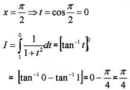
Put tan x = t ⇒ sec2 xdx = dt
When x = 0 ⇒ t = tan 0 = 0,

Question 5.
(i) If f (x) is an odd function, then \(\int_{-a}^{a} f(x)\) = ?
(a) 0
(b) 1
(c) 2\(\int_{0}^{a} f(x)\) dx
(d) 2a
Evaluate
(ii) \(\int_{-\pi / 2}^{\pi / 2} \sin ^{99} x \cdot \cos ^{100} x d x\)
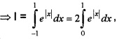
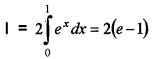
(iii) \(\int_{-1}^{1} e^{|x|} d x\)
Answer:
(i) (a) 0.
(ii) Here, f(x) = sin99x.cos100x .then,
f(-x) = sin99(- x).cos100(- x) = – sin99 x. cos100 x = -f(x)
∴ odd function ⇒ \(\int_{-\pi / 2}^{\pi / 2} \sin ^{99} x \cdot \cos ^{100} x d x=0\).
(iii) Here, f(x) = e|x|, f(-x) = e|-x| = e|x| = f(x)
∴ even function.

we have |x| = x, 0 ≤ x ≤ 1

Question 6.
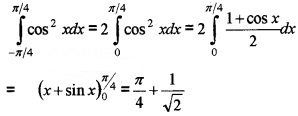
- Show that cos2 x is an even function. (1)
- Evaluate \(\int_{-\pi / 4}^{\pi / 4} \cos ^{2} x d x\) (2)
Answer:
1. Let f(x) = cos2x ⇒ f(-x) = cos2 (-x) = cos2 x = f(x) even.
2.

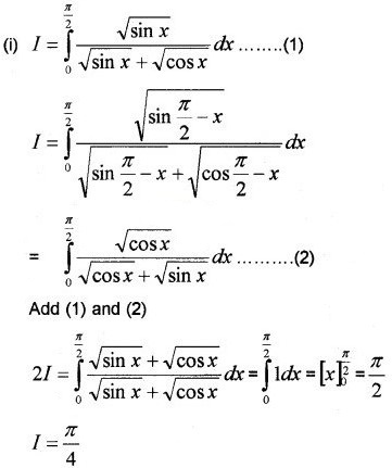
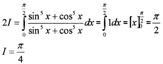
Question 7.
Find the following integrals.

Answer:


Question 8.
Find the following integrals.

Answer:


Add (1) and (2)




Question 9.
Find the following integrals.
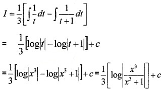
- \(\int \frac{1}{3+\cos x} d x\)
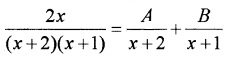
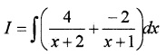
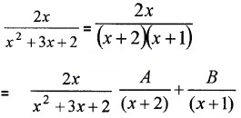
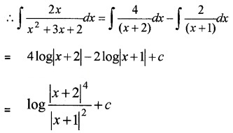
- \(\int \frac{2 x}{x^{2}+3 x+2} d x\)
Answer:
1. \(\int \frac{1}{3+\cos x} d x\)
Put t = tanx/2 ⇒ dt = 1/2 sec2 x/2 dx

2. \(\int \frac{2 x}{x^{2}+3 x+2} d x\) = \(\int \frac{2 x}{(x+2)(x+1)} d x\)

2x = A(x + 1) + B (x + 2)
when x = -1, -2 = B ; B = -2
when x = -2, -4 = -A ; A = 4

= 4log(x + 2) – 2log (x + 1) + C.
Plus Two Maths Integrals Four Mark Questions and Answers
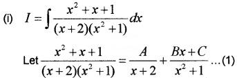
Question 1.
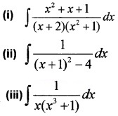
Find the following integrals.

Answer:

x2 + x +1 = A(x2 + 1) + (Bx + C)(x + 2)
Put x = -2 ⇒ 4 – 2 + 1 = 5A ⇒ A = \(\frac{3}{5}\)
Equating the coefficients of x2
⇒ 1 = A + B ⇒ B = 1 – \(\frac{3}{5}\) = \(\frac{2}{5}\)
Equating the constants
⇒ 1 = A + 2C ⇒ 2C = 1 – \(\frac{3}{5}\) = \(\frac{2}{5}\) ⇒ C = \(\frac{1}{5}\)


⇒ 1 = A(x – 1) + B(x + 3)
Put x = 1 ⇒ 1 = 2A ⇒ A = \(\frac{1}{2}\)
Put x = -3 ⇒ 1 = -4B ⇒ B = – \(\frac{1}{4}\)


Equating the constants; ⇒ 1 = A
Equating the coefficients if t;
⇒ 0 = A + B ⇒ B = -1

Question 2.
Find the following integrals.
- ∫ e2x sin3xdx
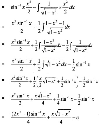
- ∫ x sin-1xdx
Answer:
1. I = ∫e2x sin3xdx = ∫ sin 3x × e2xdx


2. ∫ x sin-1xdx = ∫ sin-1x × xdx

Question 3.
(i) Which of the following is the value of \(\int \frac{d x}{\sqrt{a^{2}-x^{2}}}\)? (1)

(ii) Evaluate \(\int \frac{2 x}{x^{2}+3 x+2} d x\) (3)
Answer:
(i) [sin-1\(\frac{x}{a}\) + c]
(ii)

⇒ 2x = A(x + 1) + B(x + 2) ⇒
Put x = -2 and x = -1, we get A = 4, B = -2

Question 4.
- Choose the correct answer from the bracket.
∫ex dx = — (e2x + c, e-x + c, e2x + c) (1) - Evaluate: ∫ ex sin x dx
Answer:
1. ex + c
2. I = ∫ex sinxdx = sinx.ex – ∫cos x.exdx
= sin x.ex – (cos x.ex – ∫(- sin x).ex dx)
= sinx.ex – cosxex – ∫sinx.exdx
= sin x.ex – cos xex – I
2I = sin x.ex – cos xex
I = \(\frac{1}{2}\)ex(sinx – cosx) + c.
Question 5.
(i) f(x)∫g(x) dx – ∫(f'(x)∫g(x) dx)dx (1)
(a) ∫f'(x)g{x)dx
(b) ∫f(x)g'(x)dx
(c) ∫\(\frac{f(x)}{g(x)}\)dx
(d) ∫f(x)g(x)dx
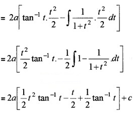
(ii) Integrate sin-1\(\sqrt{\frac{x}{a+x}}\)dx w.r.to x. (3)
Answer:
(i) (d) ∫f(x)g(x)dx
(ii) ∫sin-1\(\sqrt{\frac{x}{a+x}}\)dx,
Put x = a tan2θ, θ = tan-1\(\sqrt{\frac{x}{a}}\)
⇒ dx = 2a tanθ sec2θ dθ
I = ∫sin-1\(\left(\frac{\tan \theta}{\sec \theta}\right)\) 2a tanθ sec2θ dθ
= ∫sin-1(sinθ)2a tanθ sec2θ dθ
= 2a∫θ tanθ sec2θ dθ
Put tanθ = t, θ = tan-1 t ⇒ sec2θ dθ = dt
= 2a ∫ tan-1 t (t) dθ

= a[tan2θ.θ – tanθ + θ] + c
= a[θ(1 + tan2θ) – tanθ] + c

Question 6.
Match the following. (4)

Answer:

Question 7.
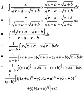
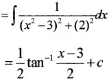
Evaluate \(\int \frac{x}{\sqrt{x+a}+\sqrt{x+b}} d x\)?
Answer:

Question 8.
Match the following.

Answer:
1.

2. ∫sec x(sec x + tan x)dx = ∫(sec2 x + sec x. tan x)dx
= tanx + secx + c.
3. ∫e3xdx = \(\frac{e^{3 x}}{3}\) + c.
4. ∫(sin x + cos x)dx = sin x – cosx + c.
Question 9.
Consider the integral I = \(\int \frac{x \sin ^{-1} x}{\sqrt{1-x^{2}}} d x\)?
- What substitution can be given for simplifying the above integral? (1)
- Express I in terms of the above substitution. (1)
- Evaluate I. (2)
Answer:
1. Substitute sin-1 x = t.
2. We have, sin-1 x = t ⇒ x = sint
Differentiating w.r.t. x; we get,
\(\frac{1}{\sqrt{1-x^{2}}}\)dx = dt
∴ I = ∫t sin t dt.
3. I = ∫t sin t dt = t.(-cost) -∫(-cost)dt = -t cost + sint + c
= -sin-1 x. cos (sin-1 x) + sin(sin-1 x) + c
x – sin-1 x.cos(sin-1 x) + c.
Question 10.
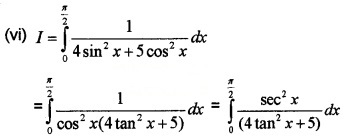
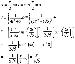
Evaluate \(\int_{0}^{\pi / 4} \log (\tan x) d x\).
Answer:

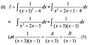
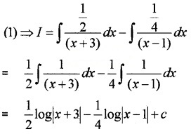
Question 11.
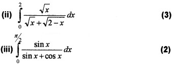
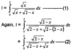
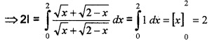
Find the following integrals.
- \(\int \frac{\sec ^{2} x}{\cos e c^{2} x} d x\) (2)
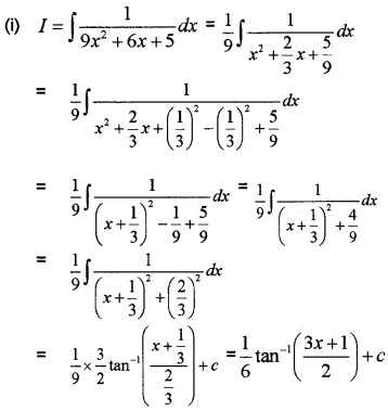
- \(\int \frac{1}{x^{2}-6 x+13} d x\) (2)
Answer:
1. \(\int \frac{\sec ^{2} x}{\cos e c^{2} x} d x\) = \(\int \frac{\sin ^{2} x}{\cos ^{2} x} d x\) = ∫tan2 xdx
= ∫(sec2x – 1)dx = tanx – x + c.
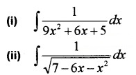
2. \(\int \frac{1}{x^{2}-6 x+13} d x\)

Question 12.
Match the following. Justify your answer.

Answer:

Question 13.
(i) ∫sin2x dx = ? (1)
(a) 2 cos x + c
(b) -2 sin x + c
(c) \(\frac{\cos 2 x}{2}\) + c
(d) \(-\frac{\cos 2 x}{2}\) + c
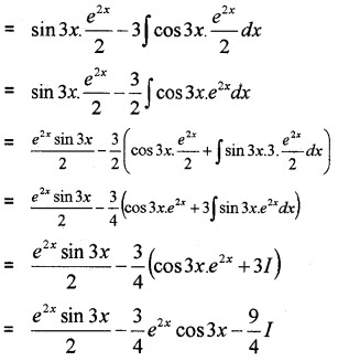
(ii) Evaluate ∫ex sin 2x dx (3)
Answer:
(i) (d) \(-\frac{\cos 2 x}{2}\) + c.
(ii) Consider I = ∫ex sin 2x dx
= ∫sin 2x. exdx = sinx.ex – 2∫cos 2x. exdx
= sin 2x.ex – 2 (cos 2x.ex + 2∫sin 2x. exdx)
= sin 2x. ex – 2 cos 2x ex – 4 ∫sin 2x. exdx
= sin 2x. ex – 2 cos 2x ex – 4I
5 I = sin 2x. ex – 2 cos 2x ex
I = \(\frac{e^{x}}{5}\) (sin 2x – 2 cos 2x).
Question 14.
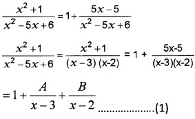
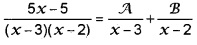
- Resolve \(\frac{x^{2}+1}{x^{2}-5 x+6}\) into partial fractions. (2)
- Hence evaluate ∫\(\frac{x^{2}+1}{x^{2}-5 x+6}\). (2)
Answer:
1.

2.
![]()
5x – 5 = A(x – 2) + B(x – 3)
x = 2, 5 = -B, B = -5
x = 3, 10 = A, A = 10
(1) ⇒ I = ∫ 1dx + ∫\(\frac{10}{x-3}\) dx – ∫\(\frac{5}{x-2}\) dx
= x + 10log(x – 3) – 5log(x – 2) + c.
Question 15.
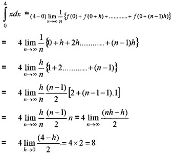
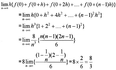
Evaluate \(\int_{0}^{4}\) xdx as a limit of sum.
Answer:
By definition,
\(\int_{a}^{b}\) f(x) dx =
(b – a)\(\lim _{n \rightarrow \infty} \frac{1}{n}\){f(a) + f(a + h) +…….+f(a + {n – 1)h)}
Here, a = 0, b = 4, f(x) = x, h = \(\frac{4-0}{n}=\frac{4}{n}\) ⇒ nh = 4

Question 16.
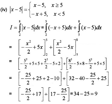
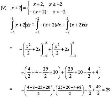
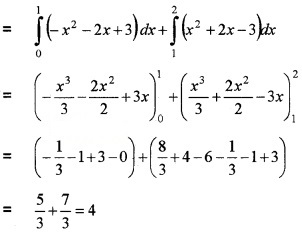
- Define the real valued function f(x) = |x2 + 2x – 3| (2)
- Evaluate \(\int_{0}^{2}\)|x2 + 2x – 3|dx. (2)
Answer:
1. f(x) = |x2 + 2x – 3| = |(x – 1) (x + 3)|
We have;

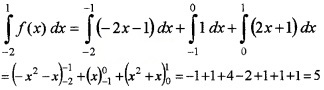
2. I = \(\int_{0}^{2}\)|x2 + 2x – 3|dx

Question 17.
Consider the function f(x) = |x|+|x + 1|
- Define the function f (x) in the interval [-2, 1]. (2)
- Find the integral \(\int_{-2}^{1}\) f(x) dx (2)
Answer:
1. Given, f(x) = |x|+|x + 1|.
We have,

Combining these two functions, we get the function f(x).

2.

Question 18.
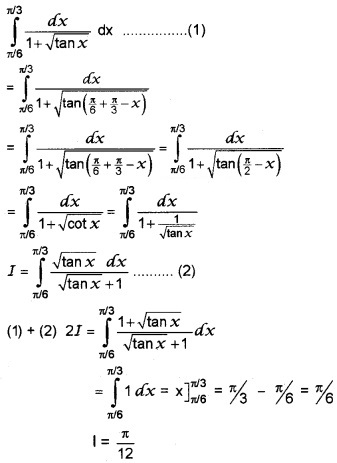
Evaluate \(\int_{\sqrt{6}}^{\sqrt{3}} \frac{d x}{1+\sqrt{\tan x}} d x\). (4)
Answer:

Plus Two Maths Integrals Six Mark Questions and Answers
Question 1.
(i) Fill in the blanks. (3)
(a) ∫ tan xdx = —
(b) ∫ cos xdx = —
(c) ∫\(\frac{1}{x}\)dx = —
(ii) Evaluate ∫sin3 xcos2 xdx (3)
Answer:
(i) (a) log|secx| + c
(b) sinx + c
(c) log|x| + c.
(ii) ∫sin3 xcos2 xdx = ∫sin2 xcos2 x sin xdx
= ∫(1 – cos2 x)cos2 x sin xdx
Put cos x = t ⇒ – sin xdx = dt
∴ ∫(1 – cos2 x)cos2 xsin xdx = -∫(1 – t2 )t2dt
= ∫(t4 – t2)dt = \(\frac{t^{5}}{5}-\frac{t^{3}}{3}\) + c
= \(\frac{\cos ^{5} x}{5}-\frac{\cos ^{3} x}{3}\) + c.
Question 2.
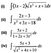
Find the following integrals.

Answer:
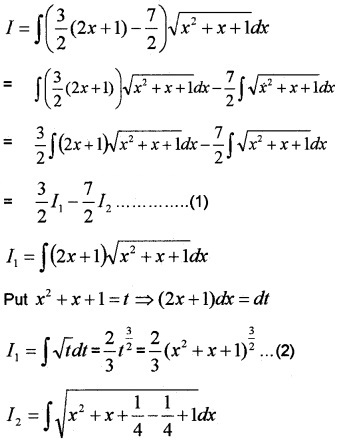
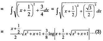
(i) I = ∫(3x – 2)\(\sqrt{x^{2}+x+1} d x\)
Let 3x – 2 = A(2x + 1) + B
⇒ 3 = 2 A ⇒ A = \(\frac{3}{2}\)
⇒ -2 = A + B ⇒ -2 = \(\frac{3}{2}\) + B
⇒ B = -2 – \(\frac{3}{2}\) = – \(\frac{7}{2}\)


Using (2) and (3) in (1) we have;

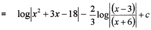
(ii) I = \(\int \frac{2 x-3}{x^{2}+3 x-18} d x\)
Let 2x – 3 = A(2x + 3) + B
⇒ 2 = 2A ⇒ A = 1
⇒ -3 = 3A + B ⇒ -3 = 3 + B ⇒ B = -6


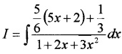
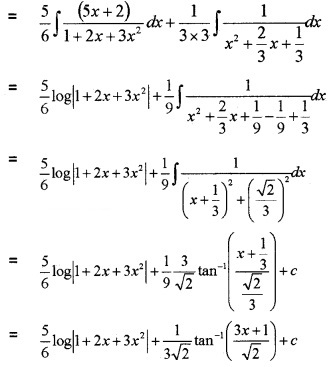
(iii) I = \(\int \frac{5 x+2}{1+2 x+3 x^{2}} d x\)
Let 5x + 2 = A{6x + 2) + B
⇒ 5 = 6 A ⇒ A = \(\frac{5}{6}\)
⇒ 2 = 2A + B ⇒ 2 = \(\frac{5}{3}\) + B ⇒ 2 – \(\frac{5}{3}\) = \(\frac{1}{3}\)


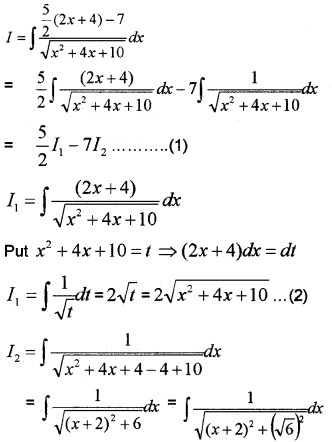
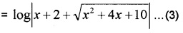
(iv) I = \(\int \frac{5 x+3}{\sqrt{x^{2}+4 x+10}} d x\)
Let 5x + 3 = A(2x + 4) + B
⇒ 5 = 2A ⇒ A = \(\frac{5}{2}\)
⇒ 3 = 4A + B ⇒ 3 = 10 + B ⇒ B = -7

![]()
Using (2) and (3) in (1) we have;

Question 3.
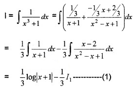
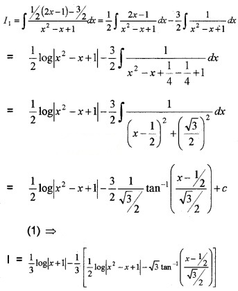
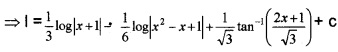
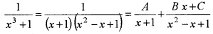
Consider the expression \(\frac{1}{x^{3}-1}\)
- Split it into partial fraction. (2)
- Evaluate ∫ \(\frac{1}{x^{3}-1}\) dx (4)
Answer:
1.
![]()
1 = A (x2 + x + 1) + (Bx + c)(x + 1),
Put x = -1 ⇒ 1 = A(1 + 1 + 1) ⇒ A= \(\frac{1}{3}\)
Equating like terms.
0 = A + B ⇒ B = – \(\frac{1}{3}\), 1 = A + C ⇒ C = \(\frac{2}{3}\)

2.

Put, x – 2 = D (2x – 1) + E ,
1 = 2 D ⇒ D = \(\frac{1}{2}\),
-2 = -D + E ⇒ E = –\(\frac{3}{2}\)


Question 4.
(i) Match the following (4)

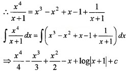
(ii) Consider the function f(x) = \(\frac{x^{4}}{x+1}\) Evaluate ∫f(x)dx (2)
Answer:
(i)

(ii) Here the numerator is of degree 4 and denominator of degree 1. So to make it a proper fraction we have to divide Nr by Dr.

Question 5.
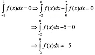
- Evaluate the as \(\int_{0}^{2}\)x2dx the limit of a sum. (3)
- Hence evaluate \(\int_{-2}^{2}\)x2dx (1)
- If \(\int_{0}^{2}\) f(x)dx = 5 and \(\int_{-2}^{2}\) f(x)dx = 0, then \(\int_{-2}^{0}\) f(x)dx = …….. (2)
Answer:
1. Here the function is f(x) = x2, a = 0, b = 2 and h = \(\frac{b-a}{n}=\frac{2}{n}\)
\(\int_{0}^{2}\)x2dx =

2. \(\int_{-2}^{2}\) x2dx = 2 \(\int_{0}^{2}\)x2dx = \(\frac{16}{3}\)
3.

Question 6.
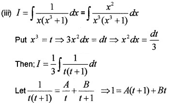
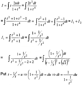
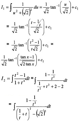
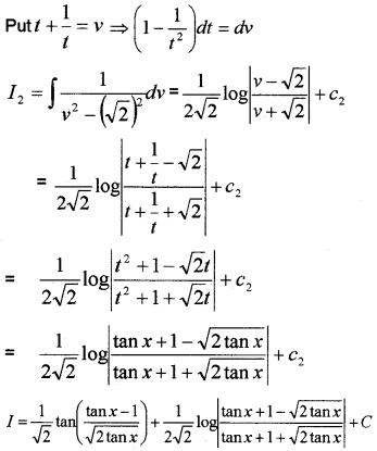
Find ∫\(\sqrt{\tan x}\)xdx.
Answer:
Given;
I = ∫\(\sqrt{\tan x}\)xdx,
Put tanx = t2 ⇒ sec2xdx = 2tdt ⇒ dx = \(\frac{2 t d t}{1+t^{4}}\)



Question 7.
(i) Match the following. (2)

(ii) Integrate \(\frac{\sec ^{2} x}{5 \tan ^{2} x-12 \tan x+14}\) w.r.to x. (4)
Answer:
(i)



Question 8.
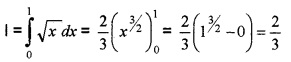
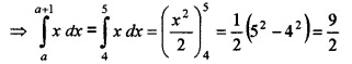
- Evaluate \(\int_{0}^{1} \sqrt{x} d x\) (1)
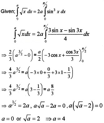
- If \(\int_{0}^{a} \sqrt{x} d x=2 a \int_{0}^{\pi / 2} \sin ^{3} x d x\), find the value of a. (3)
- Hence find \(\int_{a}^{a+1}\)x dx. (2)
Answer:
1.

2. Given;

3. When a = 0

When a = 4

Question 9.
(i) Let f (x) be a function, then \(\int_{0}^{a}\) f(x) dx = ? (1)
(a) 2 \(\int_{0}^{a}\) f(x – a) dx
(b) \(\int_{0}^{a}\) f(a – x) dx
(c) f(a)
(d) 2\(\int_{0}^{a}\) f(a – x) dx
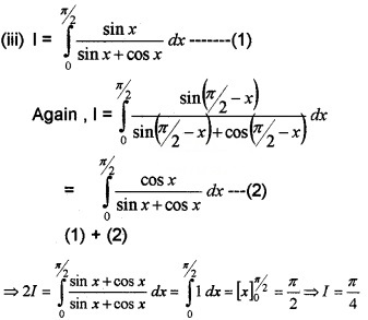
Evaluate

Answer:
(i) (b) \(\int_{0}^{a}\) f(a – x) dx
(ii)

(1) + (2)

⇒ I = 1.

Question 10.
Find the following integrals.
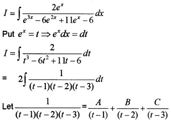
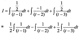
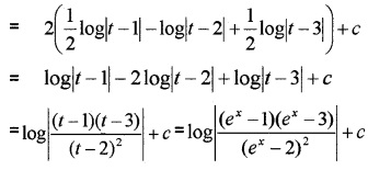
- ∫\(\frac{2 e^{x}}{e^{3 x}-6 e^{2 x}+11 e^{x}-6} d x\)
- ∫\(\frac{(3 \sin x-2) \cos x}{5-\cos ^{2} x-4 \sin x} d x\)
Answer:
1.

⇒ 1 = A(t – 2)(t – 3) + B(t – 1)(t – 3) + C(t – 1)(t – 2)
Put t = 1 ⇒ 1 = A(-1)(-2) ⇒ A = \(\frac{1}{2}\)
Put t = 2 ⇒ 1 = B(1)(-1) ⇒ B = -1
Put t = 3 ⇒ 1 = B(2)(1) ⇒ B = \(\frac{1}{2}\)


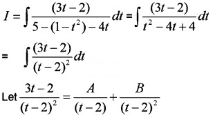
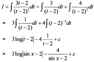
2. I = ∫\(\frac{(3 \sin x-2) \cos x}{5-\cos ^{2} x-4 \sin x} d x\)dx
Put sin x = t ⇒ cosxdx = dt

⇒ 3t – 2 = A(t – 2) + B
Equating the coefficients if t; ⇒ 3 = A
Equating the constants
⇒ -2 = -2A + B ⇒ -2 = -6 + B ⇒ B = 4

Question 11.
- Find ∫\(\frac{1}{x^{2}+a^{2}}\)dx (1)
- Show that 3x + 1 = \(\frac{3}{4}\)(4x – 2) + \(\frac{5}{2}\) (2)
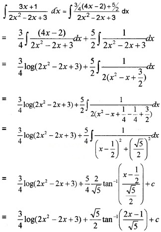
- Evaluate \(\int \frac{3 x+1}{2 x^{2}-2 x+3} d x\) (3)
Answer:
1. ∫\(\frac{1}{x^{2}+a^{2}}\)dx = 1/a tan-1 x/a + c.
2. 3x + 1 = A \(\frac{d}{d x}\)(2x2 – 2x + 3) + B
= A(4x – 2) + B
3 = 4A; A = 3/4
1 = -2A + B
1 = -3/2 + B, B = 1 + 3/2 = 5/2
∴ 3x + 1 = 3/4(4x – 2) + 5/2
3.

We hope the given Plus Two Maths Chapter Wise Questions and Answers Chapter 7 Integrals will help you. If you have any query regarding Plus Two Maths Chapter Wise Questions and Answers Chapter 7 Integrals, drop a comment below and we will get back to you at the earliest.