Plus Two Maths Chapter Wise Previous Questions Chapter 4 Determinants are part of Plus Two Maths Chapter Wise Previous Year Questions and Answers. Here we have given Plus Two Maths Chapter Wise Previous Chapter 4 Determinants.
Kerala Plus Two Maths Chapter Wise Previous Questions Chapter 4 Determinants
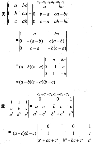
Plus Two Maths Determinants 3 Marks Important Questions
Question 1.
Prove that \(\begin{array}{|lll|}
1 ! & 2 ! & 3 ! \\
2 ! & 3 ! & 4 ! \\
3 ! & 4 ! & 5 !
\end{array}\) (March – 2015)
Answer:

Question 2.
Using properties of determinants prove the following. (March – 2010; Christmas -2017)
Answer:



Plus Two Maths Determinants 4 Marks Important Questions
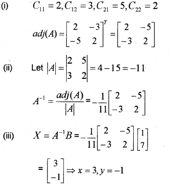
Question 1.
Consider the matrix \(A=\left[\begin{array}{ll}
2 & 5 \\
3 & 2
\end{array}\right]\)
(i) Find adj (A)
(ii) Find A1
(iii) Using A-1 solve the system of linear equations 2x + 5y = 13x + 2y = 7 (March – 2010)
Answer:

Plus Two Maths Determinants 6 Marks Important Questions
Question 1.
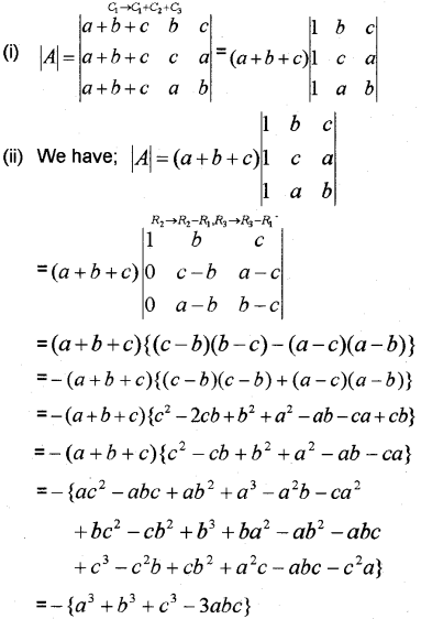
Consider the matrix \(A=\left[\begin{array}{lll}
a & b & c \\
b & c & a \\
c & a & b
\end{array}\right]\)
(i) Using the column operat,on
C1 → C1 + C2 + C3,
show that \(|A|=(a+b+c)\left|\begin{array}{ccc}
1 & b & c \\
1 & c & a \\
1 & a & b
\end{array}\right|\)
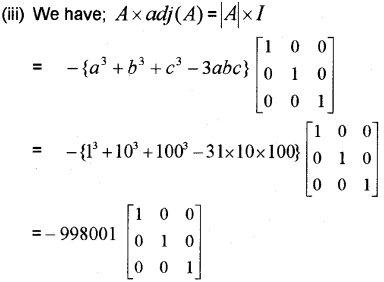
(ii) Show that |A| = – (a3 + b3 + e3 — 3abc)
(iii) Find A x adj(A) if a = 1,b = 10,c = 100 (May – 2010)
Answer:


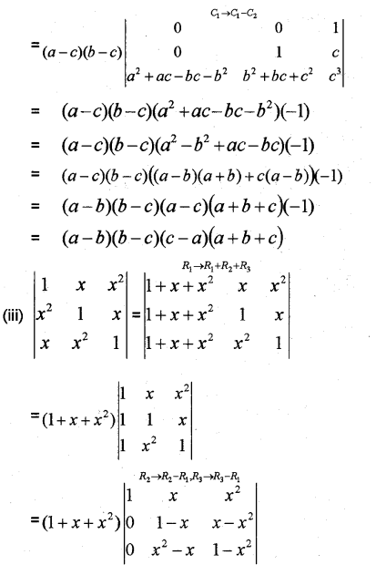
Question 2.
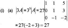
(i) (a) If \(A=\left[\begin{array}{ccc}
1 & 1 & 5 \\
0 & 1 & 3 \\
0 & -1 & -2
\end{array}\right]\)
What is the value of |3A|?
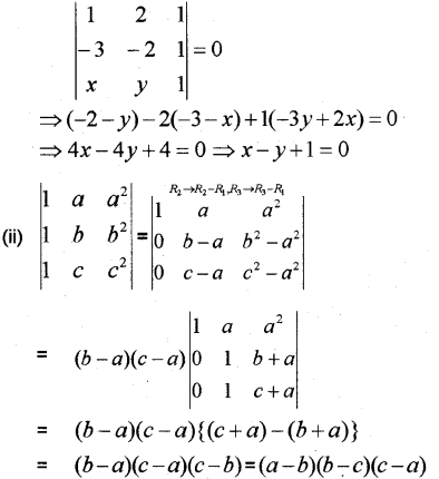
(b) Find the equation of the line joining the points (1,2) and (-3,-2) using determinants.
(ii) Show that \(\left|\begin{array}{lll}
1 & a & a^{2} \\
1 & b & b^{2} \\
1 & c & c^{2}
\end{array}\right|=(a-b)(b-c)(c-a)\)
Answer:

(b) Let (x,y) be the coordinate of any point on The line, then (1,2), (-3, -2) and (x, y) are collinear.
Hence the area formed will be zero.

Question 3.
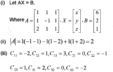
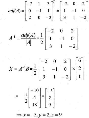
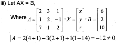
Consider the following system of linear equations; x + y + z = 6, x – y + z = 2, 2x + y + z = 1
(i) Express this system of equations in the Standard form AXB
(ii) Prove that A is non-singular.
(iii) Find the value of x, y and z satisfying the above equation. (May – 2011)
Answer:


Question 4.
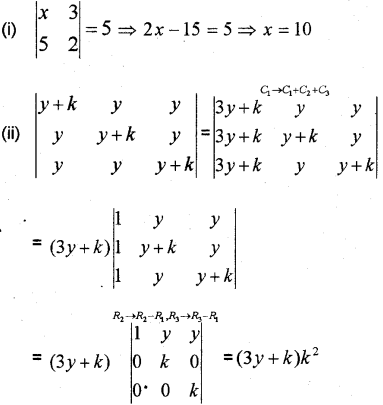
(i) lf \(\left|\begin{array}{ll}
x & 3 \\
5 & 2
\end{array}\right|=5\), then x = ………..
(ii) Prove that
\(\left|\begin{array}{ccc}
y+k & y & y \\
y & y+k & y \\
y & y & y+k
\end{array}\right|=k^{2}(3 y+k)\)
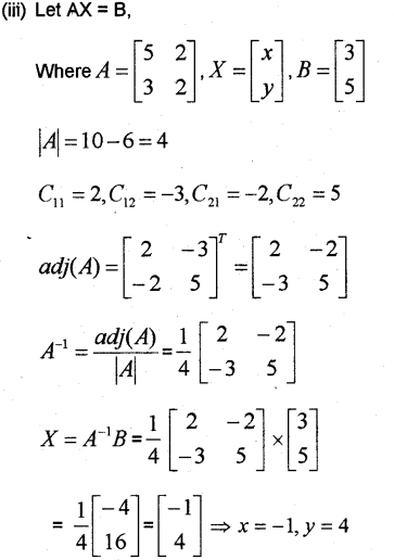
(iii) Solve the following system of linear Equations, using matrix method; 5x + 2y = 3, 3x + 2y = 5 (March – 2012)
Answer:


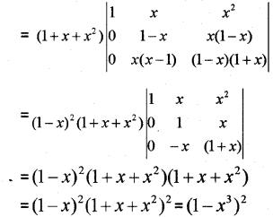
Question 5.
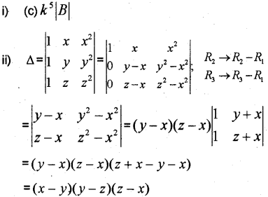
(i) Let B is a square matrix of order 5, then |kB| is equal to ………..
(a) |B|
(b) k|B|
(c) k5|B|
(d) 5|B|
(ii) Prove that \(\left|\begin{array}{lll}
1 & x & x^{2} \\
1 & y & y^{2} \\
1 & z & z^{2}
\end{array}\right|=(x-y)(y-z)(z-x)\)
(iii) Check the consistency of the following equations; 2x + 3y + z = 6, x + 2y – z = 2, 7x + y + 2z =10 (May – 2012)
Answer:


Therefore the system is consistent and has unique solutions.
Question 6.
(i) Find the values of x in which \(\left|\begin{array}{ll}
3 & x \\
x & 1
\end{array}\right|=\left|\begin{array}{ll}
3 & 2 \\
4 & 1
\end{array}\right|\)
(ii) Using the property of determinants, show that the points A(a,b + c), B(b,c + a), C(c,a + b) are collinear.
(iii) Examine the consistency of system of following equations: 5x – 6y + 4z = 15, 7x + y – 3z = 19, 2x + y + 6z = 46 (EDUMATE – 2017; March – 2013)
Answer:

Since, the system is consistent and has unique solutions.
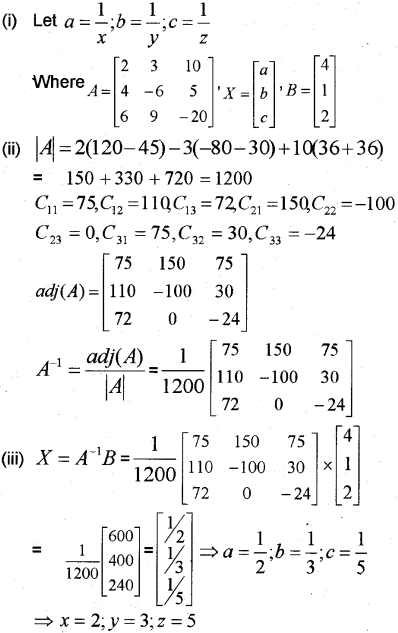
Question 7.
Consider a system of linear equations which is given below;
\(\begin{array}{l}
\frac{2}{x}+\frac{3}{y}+\frac{10}{z}=4 ; \frac{4}{x}-\frac{6}{y}+\frac{5}{z}=1 \\
\frac{6}{x}+\frac{9}{y}-\frac{20}{z}=2
\end{array}\)
(i) Express the above equation in the matrix form AX = B.
(ii) Find A-1, the inverse of A.
(iii) Find x,y and z. (May – 2013)
Answer:

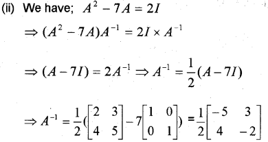
Question 8.
Consider the matrices \(A=\left[\begin{array}{ll}
2 & 3 \\
4 & 5
\end{array}\right]\)
(i) Find A2 – 7A – 21 = 0
(ii) Hence find A-1
(iii) Solve the following system of equations using matrix method 2x + 3y = 4; 4x + 5y = 6 (March – 2014)
Answer:


(iii) The given system of equations can be converted into matrix form AX = B

Question 9.
(i) Let A be a square matrix of order 2 x 2 then |KA| is equal to
(a) K|A|
(b) K2|A|
(c) K3|A|
(d) 2K|A|
(ii) Prove that
\(\left|\begin{array}{ccc}
\mathbf{a}-\mathbf{b}-\mathbf{c} & \mathbf{2 a} & 2 \mathbf{a} \\
2 \mathrm{~b} & \mathrm{~b}-\mathrm{c}-\mathrm{a} & 2 \mathrm{~b} \\
2 \mathrm{c} & 2 \mathrm{c} & \mathrm{c}-\mathrm{a}-\mathrm{b}
\end{array}\right|=(\mathrm{a}+\mathrm{b}+\mathrm{c})^{3}\)
(iii) Examine the consistency of the system of Equations. 5x + 3y = 5; 2x + 6y = 8 (May- 2014)
Answer:

(iii) The given system of equation can be written in matrix form as

solution exist and hence it is consistent.
Question 10.
(a) Choose the correct statement related to the matnces \(A=\left[\begin{array}{ll}
1 & 0 \\
0 & 1
\end{array}\right], B=\left[\begin{array}{ll}
0 & 1 \\
1 & 0
\end{array}\right]\)
\(\begin{array}{l}
\text { (i) } A^{3}=A, B^{3} \neq B \\
\text { (ii) } A^{3} \neq A, B^{3}=B \\
\text { (iii) } A^{3}=A, B^{3}=B \\
\text { (iv) } A^{3} \neq A, B^{3} \neq B
\end{array}\)
(b) lf \(M=\left[\begin{array}{ll}
7 & 5 \\
2 & 3
\end{array}\right]\) then verity the equation M2 – 10M + 11 I2 = O
(c) Inverse of the matrix \(\left[\begin{array}{lll}
0 & 1 & 2 \\
0 & 1 & 1 \\
1 & 0 & 2
\end{array}\right]\) (March – 2015)
Answer:


Question 11.
Solve the system of Linear equations x + 2y + z = 8; 2x + y – z = 1; x – y + z = 2 (March – 2015)
Answer:

Question 12.
(a) If \(\left|\begin{array}{ll}
x & 1 \\
1 & x
\end{array}\right|=15\) then find the value of X.
(b)Solve the following system of equations 3x – 2y + 3z = ?, 2x + y – z = 1 4x – 3y + 2z = 4 (May – 2015)
Answer:


Question 13.
(i)The value of the determinant \(\left|\begin{array}{ccc}
1 & 1 & 1 \\
1 & -1 & -1 \\
1 & 1 & -1
\end{array}\right|\) is
(a) -4
(b) 0
(c) 1
(d) 4
(ii) Using matrix method, solve the system of linear equations x + y + 2z = 4; 2x – y + 3z = 9; 3x – y – z = 2 (May – 2016)
Answer:
(i) (d) 4
(ii) Express the given equation in the matrix form as AX = B

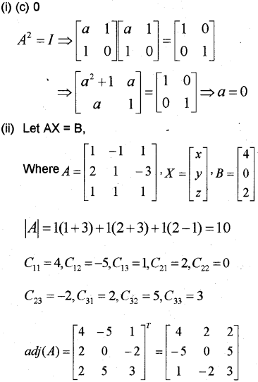
Question 14.
(i) If \(A=\left[\begin{array}{ll}
a & 1 \\
1 & 0
\end{array}\right]\) is such that A2 = I then a equals
(a) 1
(b) -1
(c) 0
(d) 2
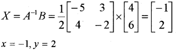
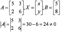
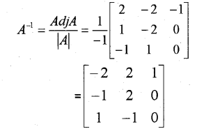
(ii)Solve the system of equations x – y + z = 4; 2x + y – 3z = 0; x + y + z = 2 Using matrix method. (March – 2017)
Answer:


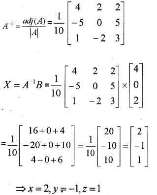
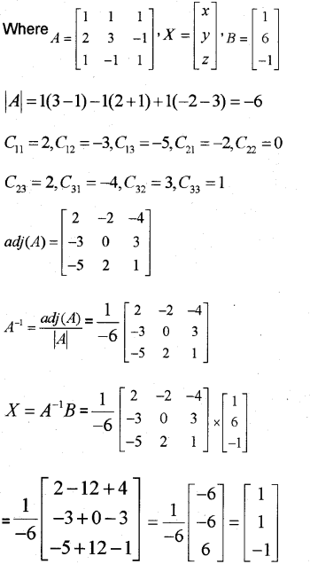
Question 15.
(i) IfA is a 2 x 2 matrix with |A| = 5, then |adjA| is
(a) 5
(b) 25
(c) 1/5
(d) 1/25
(ii) Solve the system of equations using matrix method.
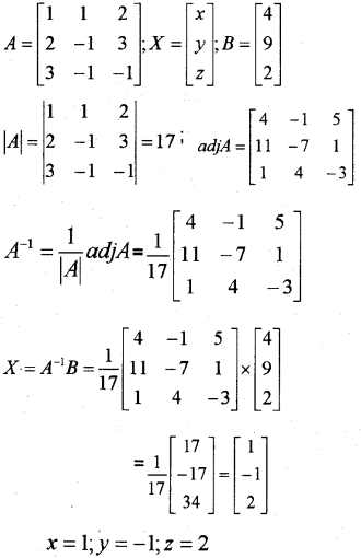
x + y + z = 1; 2x + 3y – z = 6; x – y + z = -1 (May – 2017)
Answer:
(i) (a) 5
(ii) LetA X=B,

![]()
We hope the Plus Two Maths Chapter Wise Previous Questions Chapter 4 Determinants help you. If you have any query regarding Kerala Plus Two Maths Chapter Wise Previous Questions Chapter 4 Determinants, drop a comment below and we will get back to you at the earliest.