Plus Two Maths Chapter Wise Previous Questions Chapter 3 Matrices are part of Plus Two Maths Chapter Wise Previous Year Questions and Answers. Here we have given Plus Two Maths Chapter Wise Previous Chapter 3 Matrices.
Kerala Plus Two Maths Chapter Wise Previous Questions Chapter 3 Matrices
Plus Two Maths Matrices 3 Marks Important Questions
Question 1.
Write A as the sum of a symmetric and a skew-symmetric matrix. \(A=\left[\begin{array}{ccc}
1 & 4 & -1 \\
2 & 5 & 4 \\
-1 & -6 & 3
\end{array}\right]\) (March – 2010)
Answer:

Question 2.
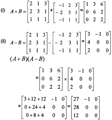
Consider the matrices
\(A=\left[\begin{array}{lll}
2 & 1 & 3 \\
2 & 3 & 1 \\
1 & 1 & 1
\end{array}\right] \text { and } B=\left[\begin{array}{ccc}
-1 & 2 & 3 \\
-2 & 3 & 1 \\
-1 & 1 & 1
\end{array}\right]\)
(i) Find A+B
(ii) Find (A + B) (A-B) (May -2010)
Answer:

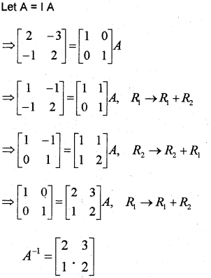
Question 3.
Given \(P=\left[\begin{array}{cc}
2 & -3 \\
-1 & 2
\end{array}\right]\) Find the inverse of P by elementary row operation. (March 2011)
Answer:

Question 4.
Let \(A=\left[\begin{array}{lll}
3 & 6 & 5 \\
6 & 7 & 8
\end{array}\right] \text { and } C=\left[\begin{array}{ccc}
1 & 2 & -3 \\
4 & 5 & 6
\end{array}\right]\)
(i) Find 2A
(ii) Find the matrix B such that 2A + B = 3C (May 2011)
Answer:

Question 5.
Let \(A=\left[\begin{array}{cc}
2 & 4 \\
-1 & 1
\end{array}\right]\)
(i) Apply elementary transformation R → R R1/2 in the matrix A.
(ii) Find the inverse of A by the elementary transformation. (May 2011)
Answer:

Question 6.
Consider the matrix \(A=\left[\begin{array}{cc}
3 & 1 \\
-1 & 2
\end{array}\right]\)
(i) Find A2
(ii) Find ksothat A2 = kA – 7I (March – 2012)
Answer:

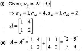
Question 7.
Consider a 2×2 matrix
\(A=\left[a_{i j}\right]$ where $a_{i j}=|2 i-3 j|\)
(i) Write A
(ii) Find A + AT (March – 2012)
Answer:

Question 8.
If \(A=\left[\begin{array}{cc}
3 & 1 \\
-1 & 2
\end{array}\right]\) then
(i) Find A2
(ii) Hence show that A2 – 5A + 7I = 0. (March 2013)
Answer:

Question 9.
If a matrix \(A=\left[\begin{array}{ll}3 x & x \\ -x & 2 x\end{array}\right]\) is a solution of the equation x2 – 5x + 7 = 0, find any one value of X. (May 2013)
Answer:

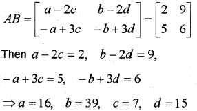
Question 10.
Consider the matrices \(A=\left[\begin{array}{cc}1 & -2 \\ -1 & 3\end{array}\right]$ and $B=\left[\begin{array}{ll}a & b \\ c & d\end{array}\right]$\) \(A B=\left[\begin{array}{ll}2 & 9 \\ 5 & 6\end{array}\right]\), find the values of a,b,c,d (March – 2014)
Answer:

Question 11.
Consider a 2 x 2 matrix A=[aij] Where \(a_{i j}=\frac{(i+2 j)^{2}}{2}\)
(i) Write A
(ii) Find A + AT (March – 2014)
Answer:

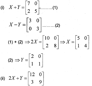
Question 12.
If X + Y = \(\left[\begin{array}{ll}7 & 0 \\ 2 & 5\end{array}\right]\) and X – Y = \(\left[\begin{array}{ll}3 & 0 \\ 0 & 3\end{array}\right]\) then
(i) Find X and Y.
(ii) Find 2X + Y. (May – 2014)
Answer:

Question 13.
i) If A, B are symmetric matrices of same order then AB – BA is always a ………….
A) Skew-Symmetric matrix
B) Symmetric matrix
C) Identity matrix
D) Zero matrix
(ii) For the matrix \(A=\left[\begin{array}{ll}2 & 4 \\ 5 & 6\end{array}\right]\), verify that A + AT is a symmetric matrix. (March – 2015)
Answer:

Question 14.
Consider the matrix \(A=\left[\begin{array}{ll}3 & -2 \\ 4 & -2\end{array}\right]\)
(i) Find A2
(ii) Find k so that A2 = kA – 21 (May – 2015)
Answer:

Plus Two Maths Matrices 4 Marks Important Questions
Question 1.
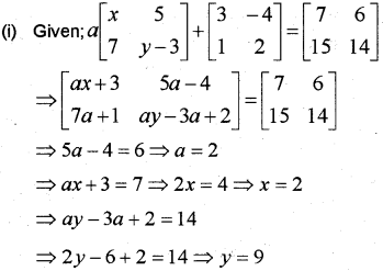
(i) Find the value of x and y from the equations \(a\left[\begin{array}{cc}x & 5 \\ 7 & y-3\end{array}\right]+\left[\begin{array}{cc}3 & -4 \\ 1 & 2\end{array}\right]=\left[\begin{array}{cc}7 & 6 \\ 15 & 14\end{array}\right]\)
(ii) Given \(A=\left[\begin{array}{cc}1 & 2 \\ 3 & -1 \\ 4 & 2\end{array}\right], B=\left[\begin{array}{ccc}-1 & 4 & -5 \\ 2 & 1 & 0\end{array}\right]\) Show that AB ≠ BA (March – 2011)
Answer:


Question 2.
(i) Find a, b matrix \(\left[\begin{array}{ccc}0 & 3 & a \\ b & 0 & -2 \\ 5 & 2 & 0\end{array}\right]\) is skew symmetric matrix.
(ii) Express \(A=\left[\begin{array}{ccc}7 & 3 & -5 \\ 0 & 1 & 5 \\ -2 & 7 & 3\end{array}\right]\) sum of a symmetric and a skew symmetric matrix. (May – 2012)
Answer:

Question 3.
Consider the matrices \(A=\left[\begin{array}{cc}2 & -6 \\ 1 & 2\end{array}\right]$ and $A+3 B=\left[\begin{array}{cc}5 & -3 \\ -2 & -1\end{array}\right]\)
(i) Find matrix B
(il) Find matrix AB.
(iii) Find the transpose of B. (May – 2013)
Answer:

Question 4.
(i) The value of k such that matrix \(\left[\begin{array}{cc} 1 & k \\ -k & 1 \end{array}\right]\) is symmetric if
(a) 0
(b) 1
(c) – 1
(d) 2
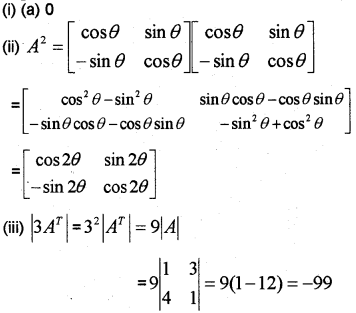
(ii) If \(A=\left[\begin{array}{cc}
\cos \theta & \sin \theta \\
-\sin \theta & \cos \theta
\end{array}\right]\) then prove that \(A^{2}=\left[\begin{array}{cc}
\cos 2 \theta & \sin 2 \theta \\
-\sin 2 \theta & \cos 2 \theta
\end{array}\right]\)
\(\text { (iii) if } A=\left[\begin{array}{ll}
1 & 3 \\
4 & 1
\end{array}\right], \text { then find }\left|3 A^{T}\right|\) (March – 2017)
Answer:

Plus Two Maths Matrices 6 Marks Important Questions
Question 1.
Let A be a matrix of order 3 x 3 whose elements are given by aij = 21 – j
(i) Obtain the matrix A.
(ii) Find AT Also express A as the sum of symmetric and skew-symmetric matrix. (March – 2010)
Answer:

Question 2.
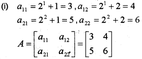
Consider a 2 x 2 matrix \(A=\left[a_{\theta}\right]\) with aij = 2i + j
(i) Construct A.
(ii) Find A + AT, A – AT
(iii) Express A as sum of a symmetric and skew-symmetric matrix. (May -2015)
Answer:


Question 3.
(i) \(A=\left[\begin{array}{ll}
0 & 1 \\
0 & 0
\end{array}\right], B=\left[\begin{array}{ll}
1 & 0 \\
0 & 0
\end{array}\right]\) then BA = _____
\(\begin{array}{l}
\text { (a) }\left[\begin{array}{ll}
1 & 0 \\
0 & 1
\end{array}\right] & \text { (b) }\left[\begin{array}{ll}
0 & 1 \\
1 & 0
\end{array}\right] \\
\text { (c) }\left[\begin{array}{ll}
0 & 1 \\
0 & 0
\end{array}\right] & \text { (d) }\left[\begin{array}{ll}
0 & 0 \\
0 & 0
\end{array}\right]
\end{array}\)
(ii) Write \(A=\left[\begin{array}{cc}
3 & 5 \\
1 & -1
\end{array}\right]\) as the sum of a symmetric and a skew symmetric matrix.
(iii) Find the inverse of \(A=\left[\begin{array}{ll}
2 & -6 \\
1 & -2
\end{array}\right]\) (March 2016)
Answer:


Question 4.
(i) If the matrix A is both symmetric and skew-symmetric, then A is a
(a) diagonal matrix
(b) zero matrix
(c) square matrix
(d) scalar matrix
(ii) If \(A=\left[\begin{array}{cc}
1 & 3 \\
-2 & 4
\end{array}\right]\), then show that
(iii) Hence find A-1 (May 2016)
Answer:


Question 5.
(i) The number of all possible 2 x 2 matrices with entries O or 1 is
(a) 8
(b) 9
(c) 16
(d) 25
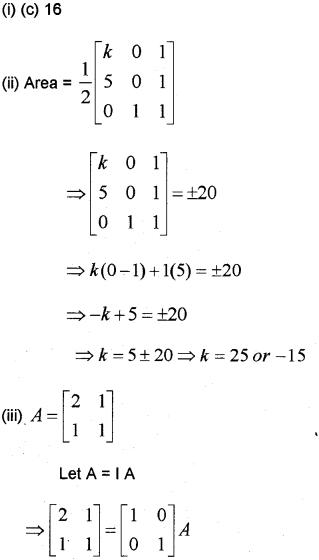
(ii) If the area of a triangle whose vertices are (k,0), (5,0), (0,1) is 10 square units the find k.
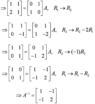
(iii) Using elementary transformations find the inverse of the matrix \(\left[\begin{array}{ll}
2 & 1 \\
1 & 1
\end{array}\right]\) (May 2017)
Answer:


We hope the Plus Two Maths Chapter Wise Previous Questions Chapter 3 Matrices help you. If you have any query regarding Kerala Plus Two Maths Chapter Wise Previous Questions Chapter 3 Matrices, drop a comment below and we will get back to you at the earliest.