Plus Two Maths Chapter Wise Previous Questions Chapter 2 Inverse Trigonometric Functions are part of Plus Two Maths Chapter Wise Previous Year Questions and Answers. Here we have given Plus Two Maths Chapter Wise Previous Chapter 2 Inverse Trigonometric Functions.
Kerala Plus Two Maths Chapter Wise Previous Questions Chapter 2 Inverse Trigonometric Functions
Plus Two Maths Inverse Trigonometric Functions 3 Marks Important Questions
Question 1.
(i) Find the principal value of \(\cos ^{-1}\left(\frac{\sqrt{3}}{2}\right)\)
(ii) Prove that \(2 \sin ^{-1}\left(\frac{3}{5}\right)=\tan ^{-1}\left(\frac{24}{7}\right)\) (March – 2010)
Answer:

Question 2.
Prove \(2 \tan ^{-1} \frac{1}{2}+\tan ^{-1} \frac{1}{7}=\tan ^{-1} \frac{31}{17}\) (March – 2015; March – 2016)
Answer:

Plus Two Maths Inverse Trigonometric Functions 4 Marks Important Questions
Question 1.
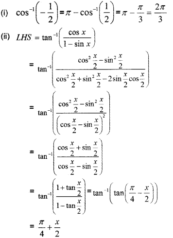
(i) Find the principal value of \(\cos ^{-1}\left(-\frac{1}{2}\right)\)
(ii) Show that \(\left(\frac{\cos x}{1-\sin x}\right)=\frac{\pi}{4}+\frac{x}{2}\) (March-2011)
Answer:

Question 2.
(i) The principal value of \(\cos ^{-1}\left(-\frac{1}{2}\right)\)
(ii)Expresstan \(\tan ^{-1}\left(\frac{\cos x}{1-\sin x}\right)\) in the simplest Form. (May – 2012)
Answer:

Question 3.
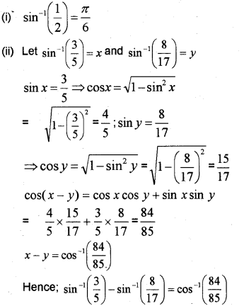
(i) Write the principal value of \(\sin ^{-1}\left(\frac{1}{2}\right)\)
(ii) Show that \(\sin ^{-1}\left(\frac{3}{5}\right)-\sin ^{-1}\left(\frac{8}{17}\right)=\cos ^{-1}\left(\frac{84}{85}\right)\) (March – 2013, Onam – 2017)
Answer:

Question 4.
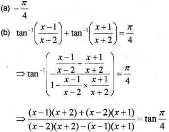
(a) The principal value of tan’1 (-1) is \(\left[\frac{\pi}{4},-\frac{\pi}{4}, \quad \pi-\frac{\pi}{4}, \quad \pi+\frac{\pi}{4}\right]\)
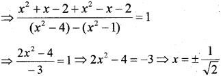
(b) If \(\tan ^{-1}\left(\frac{x-1}{x-2}\right)+\tan ^{-1}\left(\frac{x+1}{x+2}\right)=\frac{\pi}{4}\) then find the value of x. (May 2014)
Answer:


Plus Two Maths Inverse Trigonometric Functions 6 Marks Important Questions
Question 1.
Match the following. (1 + 1 + 1 + 3 = 6) (May 2010)

Answer:

Question 2.
(i) Give an expression for tan(x + y)
(ii) Prove that xy < 1, \(\tan ^{-1} x+\tan ^{-1} y=\tan ^{-1}\left(\frac{x+y}{1-x y}\right)\)
(iii) Using the above result prove that \(\tan ^{-1} \frac{1}{2}+\tan ^{-1} \frac{1}{3}=\frac{\pi}{4}\) (May 2011)
Answer:

Question 3.
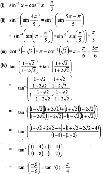
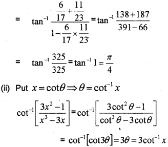
(i) Show that \(\tan ^{-1} \frac{1}{5}+\tan ^{-1} \frac{1}{7}+\tan ^{-1} \frac{1}{3}+\tan ^{-1} \frac{1}{8}=\frac{\pi}{4}\)
(ii) Given that \(\cot 3 \theta=\frac{3 \cot ^{2} \theta-1}{\cot ^{3} \theta-3 \cot \theta}\), Show that \(\cot ^{-1} \frac{3 x^{2}-1}{x^{3}-3 x}, \quad|x|<\sqrt{3}$ is $3 \cot ^{1} x\) (May 2013 )
Answer:


We hope the Plus Two Maths Chapter Wise Previous Questions Chapter 2 Inverse Trigonometric Functions help you. If you have any query regarding Kerala Plus Two Maths Chapter Wise Previous Questions Chapter 2 Inverse Trigonometric Functions, drop a comment below and we will get back to you at the earliest.