Plus Two Chemistry Notes Chapter 8 The d and f Block Elements is part of Plus Two Chemistry Notes. Here we have given Plus Two Chemistry Notes Chapter 8 The d and f Block Elements.
| Board | SCERT, Kerala |
| Text Book | NCERT Based |
| Class | Plus Two |
| Subject | Chemistry Notes |
| Chapter | Chapter 8 |
| Chapter Name | The d and f Block Elements |
| Category | Plus Two Kerala |
Kerala Plus Two Chemistry Notes Chapter 8 The d and f Block Elements
The d-block (Transition elements) – elements of the groups 3 – 12 in which the d-orbitals are progressively filled. The f-block (Inner transition elements) – elements in which the 4f and 5f orbitals are progressively filled.
The Transition Elements (d-block):
Their position is in between more electropositive s-block and more electronegative p-block elements.
General Electronic Configuration:
(n -1) d1-10ns1-2
The transition metals are classified as,
- 3d series – 1st transition series (Sc – Zn)
- 4d series – 2nd transition series (Y – Cd)
- 5d series – 3rd transition series (La, Hg – Hg)
- 6d series – 4th transition series (Ac, Rf – Cn)
Pseudo transition elements – Zn, Cd and Hg are not regarded as transition elements because their orbitals are completely filled in the ground state as well as in their common oxidation states, [(n – 1)d10ns2]. But they included in transition series due to some similarity to transition metals.
General Properties of Transition Elements:
1. Physical Properties:
High tensile strength, ductility malleability, high thermal and electrical conductivity and metallic lustre, very much hard and low volatile (except Zn, Cd and Hg), high mp (due to interatomic metallic bonding) and bp.
2. Variation in Atomic and Ionic Sizes:
Decreases with increasing atomic number because the new electron enters a d-orbital with low shielding power.
3. Ionisation Enthalpies:
Due to an increase in nuclear charge which accompanies the filling of the inner d-orbitals, there is an increase in ionisation enthalpy along the series.
First ionisation potential/enthalpy of the 5d series are higher than those of the 3d and 4d metals. This is due to lanthanoid contraction caused by poor shielding of the 4f electrons.
4. Oxidation State:
Transition elements shows various oxidation states which aries due to incomplete filling of d-orbital. The elements which give the greatest number of oxidation state occur in or near the middle of the series, e.g. Mn (+2 to +7)
5. Trends in the M2+/M Standard Electrode Potential:
The general trend towards less negative E° values across the series is related to the general increase in the sum of the first and second ionisation enthalpies.
6. Trends in Stability of Higher Oxidation State:
In halides, the ability of fluorine to stabilise the highest oxdn. state is due to either higher lattice energy or higher bond enthalpy. The stability of Cu2+(aq) rather than Cu+(aq) is due to the much more negative ΔhydH° of Cu2+(aq) than Cu+(aq).
7. Chemical Reactivity:
Many of them are sufficiently electropositive to dissolve in mineral acids, a few are unaffected by simple acids. The metals of the first series are relatively more reactive and are oxidised by 1M H+ (except Cu).
8. Magnetic Properties:
(a) Diamagnetism:
Due to paired electrons, they are weakly repelled by applied magnetic field.
(b) Paramagnetism:
Due to presence of unpaired electrons paramagnetic substances are weakely attracted by applied magnetic field.
(c) Ferromagnetic:
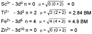
Extreme form of paramagnetism, very strongly attracted by magnetic field. For transition elements, the magnetic moment is determined by the number of unpaired electrons and is calculated by spin-only formula,
\(\mu=\sqrt{n(n+2)}\)
where n is the number of unpaired electrons. The unit is Bohr magneton (BM). e.g.

9. Formation of Coloured Ions:
Most of the transition metal ions are coloured due to d-d transition of electrons. When an electron from a lower energy d orbital is excited to a higher energy d orbital, the energy of excitation corresponds to the frequency of light absorbed. The colour observed corresponds to the complementary colour of the light absorbed,
Example:
- Sc3+(3d°), Ti4+ (3d°), Zn2+ (3d10) – Colourless
- Ti3+ (3d1) – Purple
- Mn2+ (3d5) – Pink
- Fe2+ (3d6) – Yellow
- Fe3+ (3d5) – Green.
10. Formation of Complex Compounds:
They can form a large number of complex compounds due to the comparatively smaller sizes of the metal ions, their high ionic changes and the availability of d- orbital for bond formation.
(a) Catalytic Properties:
It is due to their ability to adopt multiple oxidation states and to form complexes, eg: V2O5 (Contact process), Fe (Haber’s process), Ni/Pt/Pd (Hydrogenation of hydrocarbon), TiCl4 & Al(C2H5)3 (Zeigler – Natta catalyst – polymerisation of ethene and propene).
11. Formation of Interstitial Compounds:
They are formed when small atoms like H, C or N are trapped inside the crystal lattices of metals. They hey are non-stoichiometric and are neither ionic nor covalent.
Characteristics – high m.p, very hard, retain metallic conductivity, chemically inert.
12. Alloy Formation:
Due to similar radii, they form alloys very easily.
Some Important Compounds of Transition Elements:
(a) Potassium Dichromate (K2Cr2O7):
Obtained by the fusion of chromite ore (K2Cr2O4 with Na/K2CO3 in pressure of air.
4FeCr2O4 + 8Na2CO3 + 7O2 → 8Na2CrO4 + 2Fe2O3 + 8CO2
The yellow solution of sodium chromate is filtered and acidified with H2SO4 to give orange sodium di chromate.
2Na2CrO4 + 2H+ → Na2Cr2O7 + H2O
Na2Cr2O7 is converted into K2Cr2O7 by adding KCl.
Na2Cr2O7 + 2KCl → K2Cr2O7 + 2NaCl
The chromate and dichromate are interconvertible in aqueous solution depending upon PH of the solution.
2CrO42- + 2H+ → Cr2O22- + H2O
CrO72- + 2OH– → 2CrO42- + H2O

Uses:
K2/Na2Cr2O7-strong oxidising agents. Na2Cr2O7 used in organic chemistry due to its greater solubility. K2Cr2O7 is used as primary standard in volumetric analysis. Oxidising action in acidic.
solution:
Cr2O22- + 14H+ + 6e– → 2Cr3+ + 7H2O
e.g. It oxidises l– to l2, S2- to S, Sn2+ to Sn4+ and Fe2+ to Fe3+
(b) Pottassium Permanganate (KMnO4):
Preparation:
By the fusion of pyrolusite ore (MnO2) with KOH and oxidising agent like KNO3to give dark green K2MnO4 which disproportionates in a neutral or acidic solution to give KMnO4.
2MnO2 + 4KOH + O2 → 2K2MnO4 + 2H2O
3MnO42- + 4H+ → 2MnO4– + MnO2 + H2O
Commercial preparation:
By the electrolytic oxidation of MnO42- ion (Manganate ion).
![]()
Laboratory preparation:
By oxidising Mn2+ salt using peroxodisulphate.
2Mn2+ + 5S2O82- + 8H2O → 2MnO4– + 10SO42- + 16H–
Properties:
Dark purple colour, isostructural with KClO4, on heating decomposes at 513 K
(2KMnO4 → K2MnO4 + MnO2 + O2).
It has temperature dependent paramagnetism. Manganate ion – green, paramagnetic (one unpaired electron). Permanganate ion – purple, diamagnetic. The manganate and permanganate ions are tetrahedral.

Acidified permanganate solution oxidises oxalates to CO2, Fe2+ to Fe3+, NO2– to N03–, I– to I2, S2- to S, SO32- to SO42-.
Uses:
In analytical chemistry; in organic chemistry as oxidising agent; for bleaching wool, cotton, silk and other textile fibres; fordecolourisation of oils.
The Inner Transition Elements (f-block):
It consist of the two series, lanthanoids (the 14 elements following La) and actinoids (the 14 elements following Ac).
The Lanthanoids:
1. General Electronic Configuration:
(n – 2) f1-14(n-1)d0-1ns2
2. Atomic and Ionic Sizes:
There is a regular (steady) decrease in the size of atoms/ions with increase in atomic number as we move across from La to Lu. This slow decrease in size is known as lanthanoid contraction.
(a) Cause of Lanthanoid Contraction:
The 4f electrones constitute inner shells and are ineffective in screening the nuclear charge. Consequently, the attraction of the nucleus for the electrones in the outer most shell increases with increase in atomic number and the electron cloud shrinks. As a result, the size of the lanthanoids decreases.
Consequences:
(a) Similarity of second and third transition series:
The atomic radii of 2nd row transition series are almost similar to those of third row transition series. Zrand Hf have almost similar radii. This makes it difficult to separate the elements in the pure state.
(b) Variation in the basic strength of hydroxides:
The size of M3+ ion decreases and covalent character M-OH increases. OH– ions are not easily released. Hence the basic strength of oxides and hydroxides decrease from lanthanum to lutetium.
3. Oxidation States:
They display variable oxidation state. The most stable oxidaiton state is +3. They also show +2 and +4 oxidaiton states.
4. General Characteristics:
Due to f-f transition, they form coloured ions. They form carbides when heated with carbon, liberates H2 from dilute acids, form halides, oxides and hydroxides, form alloys, e.g. Misch metal.
Actinoids:
14 elements from Th to Lr, radio active, most of the elements are man made.
1. Electronic configuration-similar to Lanthanoids, but the last electron is filled in 5f – orbital.
2. Ionic Sizes:
The gradual decrease in the size of the atoms or ions across the series (actinoid contraction). It is greater because of poor shielding by 5f electrons.
3. Oxidation States:
Common +3 oxidation state, also show +4, +5, +6, +7. But +3 and +4 ions tend to hydrolyse.
4. General Characteristics and Comparison with Lanthanoids:
Highly reactive metals. HCl acid attacks all metals, alkalies have no action, magnetic properties are more complex than those of lanthanoids.
Application of d- and f-block Elements:
Iron and steels-most important construction materials, TiO- used in pigment industry, MnO2 – used in dry battery cells. Battery industry also requires Zn and Ni/Cd. Cu, Ag and Au – coinage metals.
Metals and metal compounds – essential catalysts.
PdCl2 – used in Wacker Process
AgBr -used in photography.
We hope the Plus Two Chemistry Notes Chapter 8 The d and f Block Elements help you. If you have any query regarding Plus Two Chemistry Notes Chapter 8 The d and f Block Elements, drop a comment below and we will get back to you at the earliest.