Plus Two Chemistry Notes Chapter 7 The p Block Elements is part of Plus Two Chemistry Notes. Here we have given Plus Two Chemistry Notes Chapter 7 The p Block Elements.
| Board | SCERT, Kerala |
| Text Book | NCERT Based |
| Class | Plus Two |
| Subject | Chemistry Notes |
| Chapter | Chapter 7 |
| Chapter Name | The p Block Elements |
| Category | Plus Two Kerala |
Kerala Plus Two Chemistry Notes Chapter 7 The p Block Elements
The p-Block – Elements of group 13 to 18 of the periodic table. The outer electronic configuration of a p-block element is ns2np1-6.
Anomalous behaviour of the first element of a group: This is due to
- Small in size
- High electronegativity,
- High ionisation enthalpy and
- Non-availability of d – orbitals.
Diagonal Relationship:
In some cases, the first element of a group resembles diagonally with the element of the next group and of the next period.
Group 15 – Elements – Nitrogen Family:
Elements are – N, P, As, Sb, Bi
N2 comprises 78% by volume of the atmosphere. N and P are essential constituents of animals and plants. N – Present in proteins, P – Present in bones.
Characteristics:
1. Atomic radii increases with increase in Atomic Number.
2. Ionisation Enthalpy decreases down the group due to gradual increase in atomic size. Because of the extra stable half-filled p orbitals electronic configuration and smaller size, the ionisation enthalpy is less than that of group 14 elements in the corresponding periods.
3. Electronegativity decreases down the group.
Physical Properties:
All are polyatomic, metallic character increases from N to Bi, density increases from N to Bi, M.P. and B.P. increases down the group, except N all other elements show allotropy.
Chemical Properties:
Oxidisation states and trends in chemical reactivity:
The common oxidation states of 15 group elements are (-3), (+3) and (+5). The stability of +5 oxidisation state decreases and that of +3 state increases down the group due to inert pair effect. Nitrogen exhibits +1, +2, +4 oxidation states also when it react with O2.
The maximum covalence of N restricted to 4 since only 4 orbitals (one S and three P) are available for bonding.
Anomalous Properties of Nitrogen:
It is due to its small size, high electronegativity, high ionisation enthalpy and non-availability of ‘d’ orbitals. Nitrogen has unique ability to form pπ – pπ multiple bond. It cannot form dπ – pπ bond. P and A scan form dπ – dπ bond.
(i) Reactivity towards hydrogen:
EH3 hydrides, the central atom is sp3 hybridised, molecules assume trigonal pyramidal geometry with a lone pair on the central atom. Stability-decreases from NH3 to BiH3.
This is because, down the group the E-H bond dissociation enthalpy decreases due to increase in size of the central atom. Consequently, reducing character increases from NH3 to BiH3. The basicity decreases in the order NH3 > PH3 > AsH3 > SbH3> BiH3.
As the electronegativity of the central atom decreases on moving down the group, the bond pair-bond pair repulsion decreases. Hence the bond angle decreases in the order NH3 > PH3 > AsH3.
(ii) Reactivity towards oxygen:
They form E2O3 & E2O5 type oxides. The oxide in the higher oxidisation state of the element is more acidic than that in lower oxidation state.
(iii) Reactivity towards halogens:
They form EX3 and EX5 type halides. Nitrogen does not form pentahalide due to non-availability of d-orbital.
(iv) Reactivity towards Metals:
They react with some metals exhibiting – 3 oxidation state, e.g. Calcium nitrate (Ca3N2), Calcium phosphide (Ca3P2), Sodium arsenide (Na3As2).
Dinitrogen (N2):
It is produced commercially by the liquefaction and fractional distillation of air.
In laboratory, N2 is prepared by
NH4Cl(aq) + NaNO2(aq) → N2(g) + 2 H2O(l)+ NaCl(aq)
![]()
Properties:
Colourless, odourless, non-toxic gas; inert at room temperature because of high bond enthalpy of N ≡ N.
Uses:
Manufacture of NH3, liquid N2 is used as refrigerant to preserve biological materials, food items and in cryosurgery.
Ammonia:
Laboratory preparation:
2NH4Cl + Ca(OH)2 → 2NH3 + 2H2O + CaCl2
(NH4)2SO4 + 2NaOH → 2NH3 + 2H2O + Na2SO4
Industrial (large scale) preparation by Haber’s process:
N2(g) + 3H(g) ⇌ NH3(g); ΔfHⒽ = -46.1 kJ/mol-1 Catalyst used earlier- spongy iron with molybdenum promoter. Catalyst used now – iron oxide with small amounts of K2O and Al2O3.
High pressure and low temperature will favour the formation of NH3 as the forward reaction is exothermic and is accompanied by decrease in number of moles (Le Chatelier’s principle). Hence, a pressure of 200 × 105 Pa (about 200 atm) and a temperature of ~ 700 K are employed to increase the yield of NH3.
Properties:
Colourless, pungent smelling gas, trigonal pyramidal geometry, highly soluble in water.
NH3(g) + H2O(l) \(\rightleftharpoons\) NH+4(aq) + OH–(aq)
Lewis base – due to the presence of a lone pair of electrons on N. It can form complex compounds with metal ions. This finds application in the detection of
Cu2+ and Ag+.
Uses:
To produce various nitrogeneous fertilizers, manufacture of inorganic nitrogen compounds (e.g. HNO3), liquid NH3 is used as a refrigerant.
Oxides of Nitrogen:
- Dinitrogen oxide (N2O) or laughing gas – Oxdation state (+1) – Colourless gas, neutral.
- Nitrogen monoxide(NO) – Oxdation state (+2) colourless gas, neutral.
- Dinitrogen Trioxide(N2O3) – Oxdation state (+3), blue solid, acidic in nature.
- Nitrogen dioxide(NO2) – Oxdation state (+4) brown gas, acidic. It contains odd number of valence electrons. On dimerisation, it is converted to stable N2O4 molecule with even number of electrons.
- Dinitrogen tetroxide(N2O4) – Dimer of NO2 – Oxdation state (+4), colourless solid/liquid, acidic.
- Dinitrogen pentoxide (N2O5) – Oxdation state (+5), colourless solid, acidic.

Nitric Acid:
It is the most important oxoacid of N.
Laboratory preparation:
KNO3/NaNO3 + H2SO4(conc.) → KHSO4/NaHSO4 + HNO3
Industrial preparation – Ostwald’s process:
(1) NH3 oxidised to NO by air.

(2) NO is converted to NO2
2NO(g) + O2(g) ⇄ 2NO2(g)
(3) NO2 dissolved in water to give HNO3
3NO2(g) + H2O(l) → 2HNO3 (aq) + NO(g)
Properties:
Colourless liquid, strong acid in aqueous solution. Concentrated HNO3 is a strong oxidising agent and attacks most metals except noble metals like Au and Pt. The products of oxidation depend upon the concentration of the acid, temperature and the nature of the material undergoing oxidation, e.g.
- 3Cu + 8HNO3(dilute) → 3Cu(NO3)2 + 2NO + 4H2O
- Cu + 4HNO3(conc.) → CuCu(NO3)2 + 2NO2 + 2H2O
- 4Zn + 10HNO3(dilute) → 4Zn(NO3)2 + 5H2O + N2O
- Zn + 4HNO3(conc.) → Zn(NO3)2 + 2H2O + 2N2O
Some metals (e.g., Cr, Al) do not dissolve in concentrated nitric acid because of the formation of a passive film of oxide on the surface.
Structure:
In the gaseous state, HNO3 exists as a planar molecule.

Uses:
Manufacture ammonium nitrate (fertilizer), preparation of explosives, preparation of nitroglycerine, pickling of stainless steel, etching of metals, oxidiser in rocket fuels.
Phosphorus:
Allotropic forms – White P, red P and black P

White Phosphorus:
Transient white waxy solid, poisonous, insoluble in water, soluble in CS2, glows in dark (chemiluminescence), kept underwater, less stable and therefore more reactive than other solid phases under normal conditions because of angular strain in discrete tetrahedral P4 molecules (angle 60°), readily catches fire in air and gives dense while fumes of P4O10.
P4 + 5O2 → P4O10
Red Phosphorus:
Obtained by heating white P at 573 K in an inert atm for several days, possesses iron grey lustre, odourless, non-poisonous, less reactive than white P, does not glow in dark, polymeric consisting of chains of P4 tetrahedra.

Black Phosphorus:
Obtained when red P is heated under high pressure, two forms α – black phosphorus (formed when red P is heated in a sealed tube at 803 K) and β – black phosphorus (prepared by heating white P at 473 K under high pressure).
Phosphine (PH3):
Prepared by the reaction of calcium phosphide with water or dilute HCl.
Ca3P2 + 6H2O → 3Ca(OH)2 + 2PH3
Ca3P2 + 6HCl → 3CaCl2 + 2PH3
Laboratory preparation:
By heating white P with concentrated NaOH solution in an inert atmosphere of CO2.
P4 + 3NaOH + 3H2O → PH3 + 3NaH2PO2
Properties:
Colourless gas with a rotten fishy smell, highly poisonous, weakly basic, the structure is similar to NH3 and gives phosphonium compounds with
acids. PH3 + HBr → PH4Br
Uses: in Holme’s signals, in smoke screens.
Phosphorus Halides:
It forms two types of halids PX3 and PX5 (X = F, Cl, Br)
Phosphorus Trichloride (PCl3):
Obtained by passing dry Cl2 overheated white P.
P4 + 6Cl2 → 4PCl3
Or, by the action of thionyl chloride on white P,
P4 + 8SOCl2 → 4PCl3 + 4SO2 + 2S2Cl2
Properties
Colourless oily liquid, hydrolyses in the presence of moisture giving fumes of HCl.
P4 + 3H2O → H3PO3 + 3HCl
It has pyrimidal shape and P is sp3 hybridised.

Phosphorus Pentachloride (PCl5):
Preparation:
White P4 + 10Cl2(dry) → 4PCl5
Properties:
yellowish white powder. In moist air it hydrolysed giving POCl3 and finally gets converted to phosphoric acid (H3PO4)
PCl5 + H2O → POCl3 + 2HCl
POCl3 + 3 H2O → H3PO4 + 3 HCl
In gaseous and liquid phases, the shape of the molecule is trigonal bipyramidal. There are two types of P-Cl bonds, equatorial bond and axial bond. Axial bonds are longer than equitorial bonds due to more repulsion. In solid state it exits as ionic solid, [PCl4]+[PCl6]–.
Oxoacids of Phosphorus:
- Hypophosphorous/Phosphinic acid(H3PO2) – Monobasic
- Orthophosphorous/Phosphonic acid(H3PO3) – Dibasic
- Pyrophosphorous acid(H4P2O5) – Dibasic
- Hypophosphoric acid(H4P2O6) – Tetrabasic
- Orthophosphoric acid(H3PO4) – Tribasic
- Pyrophosphoric acid(H4P2O7) – Tetrabasic
- Metaphosphoric acid(HPO3)n – Tribasic
The p-H bonds are not ionisable and have no role in basicity. Only those H atoms in P-OH form are ionisable and cause basicity.
These acids in +3 oxidation state of P tend to disproportionate to higher and lower oxidation states, e.g. Orthophosphorous acid on heating disproportionates to give orthophosphoric acid (P in +5 state) and phosphine
![]()
The acids with P-H bond .have strong reducing property, e.g. H3PO2. It reduces AgNO3 to Ag.
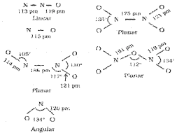
Structure of Oxoacids:

Group 16 Elements (Chalcogens):
O, S, Se, Te and Po.
1. Occurrence:
O2 – Most abundant element on earth crust (46.6%), dry air contains 21% by volume. S – Present as sulphates, sulphides (e.g. CaSO4, PbS, ZnS). Se &Te-in metal selenides and tellurides, Po-radio active, formed by the decay of thorium and uranium minerals.
2. 6 General electronic configuration-ns2np4. In group:
Atomic and ionic radii increases, ionisation enthalpy, electron gain enthalpy and electronegativity decreases – O has the highest electronegativity next to F.
3. Physical Properties:
O is a diatomic gas, non metal. S-solid, non-metal. Se and Te are metalloids. Po-radioactive metal.
4. Chemical Properties:
Oxidation states and trends in chemical activity – exhibits variable oxidation states, stability of -2 oxidation state decreases down the group. O-shows +2 in OF2, -1 in peroxides and – 2 in other compounds. Other elements show +2, +4, +6 states.
5. Anomolous Behaviour of Oxygen:
It is due to small size high electronegativity, non availability of d-orbital and high polarising power.
(i) Reactivity with Hydrogen:
group 16 elements form H2E type hydrids (E = O, S, Se, Te, Po). Their acidic character increases from H2O to H2Te due to decrease in H-E bond dissociation enthalpy. All hydride except H2O posses reducing property. Reducing nature increases from H2S to H2Te.
Due to small size and high electro naegativity of oxygen, H2O molecules are highly associated through hydrogen bonding resulting in its liquid state and high boiling point.
While, due to large size and low electronegativity of S association through hydrogen bonding is hot possible in H2S. Hence it exists as a gas and has low boiling point than H2O.
(ii) Reactivity with Oxygen:
They form EO2 & EO3 type oxides. Ozone, O3 and SO2 are gases. Both type of oxides are acidic in nature.
(iii) Reactivity Towards the Halogens:
They form EX2, EX4 and EX6 type halides. The stability of halides decrease in the order F– > Cl– > Br > l–
Dioxygen (O2):
Preparation:
(i) Heating KClO3, KMnO4, KNO3 etc.
![]()
(ii) Thermal decomposition of metal oxides.
2Ag2O → 4Ag + O2
2PbO2 H → 2PbO + O2
(iii) Decomposition of H202
2H2O2 → 2H2O + O2.
Large scale preparation:
Electrolysis of water, O2 liberated at anode.
Properties:
Colourless, odourless gas; paramagnetic, directly reacts with nearly all metals except Au and Pt.
Simple Oxides:
Binary compound of O with another element, e.g. MgO, Al2O3. Basic oxide – oxide that combine with water give a base. e.g. MgO. Acidic oxide – oxide that combine with water to give acid, e.g. SO2, CO2.
SO2 + H2O → H2SO3
In general, metallic oxides are basic and non-metallic oxides are acidic.
Ozone (O3):
Allotropic form of O, too reactive, prepared by passing a slow dry stream of O2 through a silent electrical discharge.
3O2 → 2O3
ΔH = +142 kJ mol-1
Properties:
Pure O3 is a pale blue gas, dark blue liquid and violet-black solid, thermodynamically unstable compared to O2.
Oxidising property:
Due to the ease with which it liberates atoms of nascent oxygen 03 acts as a powerful oxidising agent.
O3 → O2 + [O]
e.g. It oxidises lead sulphide to lead sulphate.
PbS(s) + 4O3(g) → PbSO4(s) + 4O2(g)
Estimation of O3:
When O3 reacts with excess of Kl solution buffered with a borate buffer (pH 9.2), l2 is liberated which can be titrated against a standard solution of sodium thiosulphate.
2l–(aq) + H2O(l) + O3(g) → 2OH–(aq) + l2(s) + O2(g)
Uses:
As a germicide, disinfectant and for sterilising water; for bleaching oils, ivory, starch etc. as oxidising agent in the manufacture of KMnO4.
Sulfur-allotropic Forms:
Rhombic Sulphur (α – Sulphur):
yellow, insoluble in water, dissolve to some extent in benzene and alcohol, readily soluble in CS2.
Monoclinic Sulphur (β – Sulphur):
Soluble in CS2, needle shaped crystals.
Structure:
They exists as S8 molecules, the S8 ring is puckered and has a crown shape. The cylco-S6 ring adopts a chair form.

Sulphur Dioxide (SO2):
Preparation:
1. Burning of S in air
S(s) + O2(g) → SO2(g)
2. Treating sulphite with diluted H2SO4.
SO32- + 2H+ → H2O + SO2
Properties:
Colourless gas with pungent smell, highly soluble water, when passed through water forms sulphurous acid.
SO2(g) + H2O(l) → H2SO3(aq)
React with NaOH:
2NaOH + SO2 → Na2SO3 + H2O
Other reactions:
3SO2 + Cl2 → SO2Cl2
![]()
Users:
In pertroleum refining and sugar industry, in bleaching wool and silk, in manufacturing H2SO4.
Oxoacids of Sulphur:
Sulphur forms a number of oxoacids such as H2SO3, H2SO4, H2S2O3, H2S2O7
Manufacture of Sulphuric Acid:
Sulphuricacid is known as king of chemicals. It is manufactured by Contact Process.
Steps Involved:
(i) Burning of S or Sulphide ores in air to form SO2
(ii) Conversion of SO2 to SO3 by the reaction with O2 in presence of V2O5 catalyst.
![]()
ΔH = -196.6 KJ mol-1
Low temperature (720 K) and high pressure (2 bar) are the favourable conditions for maximum yield.
(iii) Absorption of SO3 in H2SO4 to give oleum (H2S2O7)
SO3 + H2SO4 → H2S2O8
Dilution of oleum with water gives H2SO4 of desired concentration. H2S2O7 + H2O → 2 H2SO4
Properties:
Colourless, oily liquid, dissolves in water with the evolution of large quantity of heat, dibasic acid, in aqueous solution, it ionises in two steps:
H2SO4(aq) + H2O(l) → H3O+(aq) + HSO4– (aq)
HSO4–(aq) + H2O(l) → H3O+(aq) + SO42-(aq)
Concentrated H2SO4 is a strong dehydrating agent.
Uses:
Manufacture of fertilisers; petroleum refining; manufacture of pigments, paints, dyestuff; detergent industry; storage batteries; laboratory reagent
Group 17 Elements (Halogens): F, Cl, Br, I and At (radioactive), highly reactive non-metallic elements.
1-6 Occurrence:
F-in fluorides (CaF2, Na3AIF6). Seawater contains chlorides, bromides and iodides of Na & K, electronic configuration – ns²np5, in a group from top to bottom atomic and ionic radii increases, ionisation enthalpy decreases.
Electron gain enthalpy – halogen have maximum negative electron gain enethalpy. Cl has highest electron gain enthalpy. Electronegativity decreases down the group. F is the most electronegative element in the periodic table.
Physical Properties:
F2, Cl2 – gases, Br2 – liquid and l2 – solid. F2 and Cl2 react with water Br2 and l2 sparingly soluble in water.
Oxidation States and Trends in Chemical Reactivity:
All the halogens exhibit-1 oxdn. state. But, Cl, Br and I exhibit +1, +3, +5 and +7 also. They react with metals and non-metals to form halides. The reactivity of the halogens decreases down the group.
Anomalous Behaviour of Fluorine:
It is due to smaller in size, high electronegativity, low F-F bond dissociation enthalpy and non-availability of d-orbitals, due to which it cannot expand its octet. It exhibits only-1 oxidation state.
(i) Reactivity Towards Hydrogen:
All form hydrogen halides (HX) which dissolve in water to form hydrohalic acids. The acidic strength of acids:
HF < HCl < HBr < Hl .The stability of halides decreases down the group due to decrease in (H-X) dissociation enthalpy in the order: H-F > H-Cl > H-Br > H-l.
(ii) Reactivity Towards Oxygen:
They form many oxides but most of them are unstable. Fluorine form OF2 and O2F2. Chlorine form oxides Cl2O, ClO2, Cl2O6 and Cl2O7, which are highly reactive oxidising agents, ClO2 is used as a bleaching agent for paper pulp, textiles.
(iii) Reactivity Towards Metals:
Metal halides are formed,
e.g. Mg(s) + Br2(l) → MgBr2(s)
(iv) Reactivity of Halogens Towards Other Halogens:
Halogens combine amongst themselves to form a number of compounds known as interhalogens. Five types: XX’, XX3, XX’5, XX’7 where X is a halogen of larger size and X’ of smaller size.
Chlorine:
Preparation:
(i) By heating manganese dioxide with concentrated HCl.
MnO2 + 4HCl → MnCl2 + 2H2O + Cl2
(ii) By the action of HCl on KMnO4.
2KMnO4 + 16HCl → 2KCl + 2MnCl2 + 8H2O + 5Cl2
Manufacture:
(i) Deacon’s Process – By oxidation of HCl gas by atm oxygen in the presence of CuCl2 at 723K.
![]()
(ii) Electrolytic process
(liberated at anode)
Properties:
Greenish yellow gas with pungent and suffocating odour, reacts with metal, and non metals

With excess NH3, Cl2 gives N2 and NH4Cl whereas with excess Cl2, NH3 gives NCl3 (explosive) and HCl.

With cold and dilute alkalies chlorine produces a mixture of chloride and hypochlorite but with hot and concentrated alkalies it gives chloride and chlorate.

With dry slaked lime, it gives bleaching powder.
2Ca(OH)2 + 2Cl2 → Ca(OCl)2 + CaCl2 + 2H2OCl2 is a powerful bleaching agent.
Cl2 + H2O → 2HCl + [O]
Coloured substance + [0] → colourless substance
Uses:
For bleaching wood pulp, cotton and textiles; for the preparation of insectiside, pesticides and other organic solvents, e.g. CHCl3, DDT, BHC etc.
Hydrogen Chloride (HCl):
Preparation:

HCl gas is dried by passing through a cone. H2SO4.
Properties :
Colourless and pungent-smelling gas, soluble in water and ionises as follows:
HCl + H2O → H3O+ + Cl–
It reacts with NH3 to give white fumes of NH4Cl.
NH3 + HCl → NH4Cl
It decomposes salt of weaker acids.
Na2CO3 + 2HCl → 2NaCl + H2O + CO2
NaHCO3 + HCl → NaCl + H2O + CO2
Uses: manufacture of Cl2, NH4Cl and glucose; for extracting glue.
Oxoacids of Halogen:
Due to high electronegativity and smaller in size fluorine forms only one oxoacid, HOF known as fluoric acid or hypofluorous acid.
Some oxoacids of Chlorine:
- Hypochlorous acid: HOCl (Cl in +1 state)
- Chlorous acid: HClO2 (Cl in +3 state)
- Chloricacid: HClO3 (Cl in +5 state)
- Perchloric acid: HClO4(Cl in +7 state).
Interhalogen Compounds:
Two different halogens react to form interhalogen compounds, e.g. ClF, ClF3, BrF5, IF7
Preparation:
By the direct combination of halogens.

Properties:
Covalent molecules, diamagnetic, volatile solids or liquids at 25°C except ClF which is a gas. They are more reactive than halogens because X-X bond is weaker than X-X bond. Due to electronegativity difference the X – X bond is polarised, hence it is reactive.
Their stability increases as the size difference of the halogens increases due to increase in the polarity of the bond. e.g. IF3 is more stable than ClF3.
Group 18 Elements (Noble Gases):
He, Ne, Ar, Kr, Xe and Rn (radioactive). Except He all other noble gas have 8 electrons in the valence shell. Due stable electronic configuration all these are gases and chemically unreactive, (exeption – Kr, Xe, Rn)
Occurrence:
All except Rn occur in the atmosphere. The main source of He-natural gas. Rn- obtained as a decay of product of Radium.
Electronic Configuration-ns²np6 (except He-1s² ), ionisation enthalpy-high due to stable electronic configuration-it decreases down the group, atomic radii-increases down the group, electron gain enthalpy-almost zero since no tendency to accept an electron.
Physical Properties:
Monoatomic, colourless, odourless and tasteless gases, sparingly soluble in water, very low melting and boiling points because the only type of interatomic interaction in these elements is weak dispersion forces.
Chemical Properties:
Least reactive due to stable electronic configuration, high ionisation enthalpy and more positive electron gain enthalpy.
N. Bartlett prepared Xe+PtF6 by mixing PtF6 and Xe.
(a) Xenon – Fluorine Compounds:
Xe forms three binary fluorides XeF2, XeF4 and XeF6 by the direct reaction of Xe with F2.

XeF4– also prepared by reaction with O2F2 and XeF4. XeF4 + O2F2 → XeF6 + O2
Structure:
(a) XeF2 – sp3d hybridisation -linear
XeF4 – sp3d2 hybridisation – square planar
XeF6 – sp3d3 hybridisation – distorted octahedral

(b) Xenon-Oxygen Compounds:
XeO3: Prepared by hydrolysis of XeF4 and XeF6.
6XeF4 + 12H2O → 4Xe + 2XeO3 + 24HF + 3O2
XeF6 + 3H2O → XeO3 + 6HF.
XeOF4–prepared by partial hydrolysis of XeF6.
XeF6 + H2O → XeOF4 + 2HCl
Structure:
XeO3 – sp3 hybridisation – Pyramidal
XeOF3 – sp3d2 hybridisation – Square pyramidal

Uses of Noble Gases:
1. He – for filling airships, aeroplane tyres, in gas-cooled nuclear reactors, for providing an inert atmosphere in the welding of metals and alloys.
2. Ne – for filling discharge tubes and fluorescent bulb for advertisement purpose, in botanical gardens and greenhouses.
3. Ar – to provide inert atmosphere in high-temperature metallurgical processes, for filling electric bulbs, for handling air-sensitive substances in laboratory.
4. Xe and Kr – in light bulbs designed for special purposes.
We hope the Plus Two Chemistry Notes Chapter 7 The p Block Elements help you. If you have any query regarding Plus Two Chemistry Notes Chapter 7 The p Block Elements, drop a comment below and we will get back to you at the earliest.