Kerala Plus Two Business Studies Chapter Wise Questions and Answers Chapter 7 Directing
Plus Two Business Studies Directing One Mark Questions and Answers
Question 1.
“It is an important managerial function that initiates action” What this managerial function is called?
Answer:
Directing
Question 2.
Supervision is an element of ………………………….
(a) Staffing
(b) Directing
(c) Organizing
Answer:
(b) Directing
Question 3.
Overseeing the subordinates at work is called …………
Answer:
Supervision
Question 4.
Which among the following is an example of upward communication?
(a) Circular
(b) Complaints
(c) Memos
(d) Notices
Answer:
(b) Complaints
Question 5.
Which one of the following is not an element of direction?
(a) Motivation
(b) Communication
(c) Delegation
(d) Supervision
Answer:
(c) Delegation
Question 6.
Arrange the following elements in the correct sequence.
Receiver → Sender → Message → Decoding → Feedback → Encoding → Channel
Answer:
Sender → Message → Channel →Encoding → Receiver → Decoding → Feedback
Question 7.
The network of informal communication is called ………………
Answer:
Grapevine communication
Question 8.
Grapevine is
(a) Formal communication
(b) Barrier to communication
(c) Lateral communication
(d) Informal communication
Answer:
(d) Informal communication
Question 9.
Status comes under the following type of barriers.
(a) Semantic barrier
(b) Organisational barrier
(c) Non Semantic barrier
(d) Psychological barrier
Answer:
(b) Organisational barrier
Question 10.
Ability of a leader to look at things from others point of view is called ……………
Answer:
Empathy
Question 11.
The production manager and the marketing manager in KEL communicates directly. Identify the type of communication.
Answer:
Horizontal communication
Question 12.
“Translation of ideas into meaningful language by the sender” Identify this concept.
Answer:
Encoding
Question 13.
The process of converting the message into communication symbols is known as ……………….
Answer:
Encoding
Question 14.
The communication network in which all subordinates under a supervisor communicate through supervisor only is:
(a) Single chain
(b) Y pattern
(c) Wheel
(d) Freeflow
Answer:
(c) Wheel
Question 15.
People interpret the same message in different ways depending upon their attitude, experience, education… etc. This is an example of ……………..
(a) Status barrier
(b) Semantic barrier
(c) Channel barrier
(d) Organizational barrier
Answer:
(b) Semantic barrier
Question 16.
Horizontal and Diagonal communication reduces ………………. barrier in communication.
(a) Semantic Barrier
(b) Status Barrier
(c) Organization Barrier
(d) Overload Barrier
Answer:
(c) Organization Barrier
Question 17.
Which among the following is an example of downward communication?
a) Suggestions
b) Complaints
c) Requests
d) Orders
Answer:
(d) Orders
Question 18.
“Persons of lower status do not feel free to talk to superiors”. Identify the Communication Barrier.
(a) Semantic Barrier
(b) Status Barrier
(c) In attention Barrier
(d) Barrier in Superior
Answer:
(b) Status Barrier
Question 19.
The communication network in which all subordinates under a manager communicate through the manager only is:
(a) Wheel Pattern
(b) Chain Pattern
(c) Circular
(d) Free flow
Answer:
(a) Wheel Pattern
Question 20.
The highest level need in the need Hierarchy of Abraham Maslow:
(a) Safety needs
(b) Belongingness needs
(c) Self actualisation needs
(d) Prestige needs
Answer:
(c) Self actualisation needs
Question 21.
Two messages are given below.
- “You must complete the work before 2 pm tommorrow”, the Factory Manager said to the Factory Supervisor.
- “Increase the sales as there is huge stock in hand”, the production Manager said to the Marketing Manager.
Identify the flow of communication in the above situations.
Answer:
- Downward communication
- Horizontal communication
Question 22.
Correct the following diagram.

Answer:
Sender → Message → Encoding → Channel → Receiver → Decoding → Feedback
Question 23.

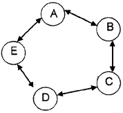
Identify the communication network.
Answer:
Wheel Pattern
Question 24.
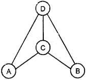
Observe the following diagram.

- Identify the type of communication depicted in the diagram.
- If all the persons can communicate with one another, what should the pattern be called?
Answer:
- Circle pattern
- Free flow
Question 25.
Sometimes emotions or state of mind stand in way of effective communication. Name the type of barriers cited above.
Answer:
Psychological barriers
Question 26.
Sometimes subordinates may feel reluctant to transit correct information to the superiors. The subordinate most often held back the unpleasant facts or may not report the true facts.
- Identify the type of communication barrier referred to this context.
Answer:
1. Status barrier
Question 27.
There are some basic needs of an individual like need for food, clothing and shelter in the Maslow’s Need Hierarchy Theory. These needs are called:
(a) Esteem needs
(b) Social needs
(c) Physiological needs
(d) Safety needs
Answer:
(c) Physiological needs
Question 28.
The motivation theory which classifies needs in hierarchical order is developed by …………………
a) Fred Luthans
b) Scott
c) Abraham Maslow
d) Peter F. Drucker
Answer:
(c) Abraham Maslow
Question 29.
Arrange the following human desires in the hierarchy as suggested by Abraham Maslow.
- Pension for old age
- Feeling of self-confidence
- Need to belong to a group
- Need for food
- Need for realization of goals in life
Answer:
- Safety need
- Esteem need
- Social need
- Physiological need
- Self actualisation need
Question 30.
Arrange the following desires of a human being in the hierarchy as suggested by Abraham H Maslow.
- Friendship
- Life ambitious
- Status
- Food
- Job security
Answer:

Question 31.
Distinguish between financial & non-financial incentives.
- Commission
- Bonus
- Perquisites
- Promotion
- Recognition
- Sharing of profit
- Participation in decision making
- Retirement benefits
Answer:
| Monetary incentives | Non-monetary incentives |
| 1. Commission | 4. Promotion |
| 2. Bonus | 5. Recognition |
| 3. Perquisites | 7. Participation in decision making |
| 6. Sharing of profit | |
| 8. Retirement benefits |
Question 32.
Take his own decisions and compel others to follow it. Which type of leadership style is mentioned here?
Answer:
Autocratic style
Question 33.
Give freedom to the subordinates to take part in decision making process is …………………
Answer:
Laissez-faire style
Question 34.
A communication network which allows a subordinate to communicate with his immediate superior and superior of his immediate superior is called ………………..
(a) Freeflow
(b) Inverted V
(c) Circle
(d) Wheel
Answer:
(b) Inverted V
Question 35.
Distinguish the following channels as formal & informal.
- Gossip network
- Circle network
- Probability network
- Wheel network
- Free flow
- Single strand network
- Cluster network
Answer:
| Formal Network | Formal Network |
| 2. Circle network | 1. Gossip network |
| 4. Wheel network | 3. Probability network |
| 5. Free flow | 6. Single strand network |
| 7. Cluster network |
Plus Two Business Studies Directing Two Mark Questions and Answers
Question 1.
Draw a diagram showing the elements of direction.
Answer:

Question 2.
What is directing?
Answer:
Directing refers to the process of instructing, guiding, counselling, motivating and leading people in the organisation to achieve its objectives.
Question 3.
Enumerate any two features of directing.
Answer:
Features
- Directing initiate action
- Directing takes place at every level of management
- Directing is a continuous process
- Directing flows from top to bottom
Question 4.
Explain the term Motivation.
Answer:
Motivation:
Motivation is the process of stimulating people to action to accomplish desired goals. Motivation depends upon satisfying needs of people.
Question 5.
In Maslow’s need hierarchy identify the needs which can be satisfied with financial incentives and also those which can be satisfied with non-financial incentives?
Answer:
Needs which can be satisfied with financial incentives are physiological needs, safety needs and social needs. Needs satisfied by non-financial incentives are esteem needs and self actualization needs.
Question 6.
What is incentive?
Answer:
An incentive is something which induces an individual to respond in a desired manner.
Question 7.
Define leadership.
Answer:
Leadership:
Leadership can be defined as the process of influencing the behaviour of employees at work towards the accomplishment of organisational objectives.
Plus Two Business Studies Directing Three Mark Questions and Answers
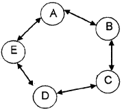
Question 1.
The diagram of the communication network system adopted by Sahara Ltd is as follows.
Answer:
1)

2)

3)

Question 2.
“Informal communication is also known as grapevine communication”. Explain.
Answer:
Informal Communication:
Communication that takes place without following the formal lines of communication is said to be informal communication. It results from the social interaction among the members.
It satisfies the social needs of members in the organisation. The network of informal communication is known as Grapevine. It is so called because the origin and direction of flow of communication cannot be easily traced out.
Plus Two Business Studies Directing Four Mark Questions and Answers
Question 1.
“Managerial functions cannot be carried out without an efficient system of communication.”
- Do you agree?
- Give any three reasons in support of your answer.
Answer:
1. Yes. Communication is one of the most important function of management.
2. Importance of Communication:
- Acts as basis of co-ordination: Communication acts as the basis of co-ordination.
- Helps in smooth working of an enterprise: It is only communication, which makes smooth working of an enterprise possible.
- Acts as basis of decision making: Comm Plication provides needed information for decision making.
- Increases managerial efficiency: Communication lubricates the entire organisation and keeps the organisation at work with efficiency.
Question 2.
Give the communication process.
Answer:
Grapevine communication
Question 3.
- What is grapevine communication?
- How is both useful and a cause for disturbance in an organization?
Answer:
1. grapevine communication:
The network or pathway of Informal communication is known as grapevine communication. Because the origin and direction of flow of the informal mes-sages cannot be easily traced.
2. useful and a cause for disturbance in an organization:
a. Advantages of Informal Communication:
- Employees can develop friendly relationship.
- It is very flexible and faster than formal communication.
- Employees attitudes, reactions, etc. to the plans and policies can be easily ascertained.
- It reduces tension in employer-employee relations.
- It can be used in conveying certain information which cannot be passed through official channel.
- Special efforts and expenses are not necessary for informal communication.
b. Disadvantages of Informal Communication:
- It tends to carry inaccurate information.
- Its origin cannot be traced and responsibility cannot be fixed.
- It is unsystematic and cannot be relied upon.
- It leads to leakage of confidential information.
- It often carries rumours and misunderstanding.
Plus Two Business Studies Directing Five Mark Questions and Answers
Question 1.
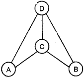
Explain the ‘communication network’.
Answer:
Communication network:
It refers to the pattern through which members of workgroups communicate.
The pattern through which communication flows within the organization is generally indicated through a communication network. Some of the communication networks are:

1. Single Chain:
This network exists between a supervisor and his subordinates. Here communication flows from every superior to his subordinate through single chain.

2. Wheel:
In wheel network, all subordinates under one superior communicate through him only. The subordinates are not allowed to communicate among themselves.

3. Circular:
In circular network, the communication moves in a circle. Each person can communicate with his adjoining two persons.

4. Free flow:
In this network, each person can communicate with others freely.

5. Inverted V:
In this network, a subordinate is allowed to communicate with his immediate superior as well as his superior’s superior.

Question 2.
Match the following:
| A | B |
| Informal communication | Grapevine communication |
| Wheel pattern | Quality of a leader |
| Empathy | Stimulating people |
| Physiological need | Communication network |
| Motivation | Food, Cloth, etc. |
Answer:
| A | B |
| Informal communication | Grapevine communication |
| Wheel pattern | Communication network |
| Empathy | Quality of a leader |
| Physiological need | Food, Cloth, etc. |
| Motivation | Stimulating people |
Question 3.
Discuss the steps involved in the process of communication.
Answer:
Elements of Communication Process
- Sender: The sender is the person who sends message or idea to the receiver.
- Message: Message is the subject matter of communication.
- Encoding: It is converting the message into communication symbols such as words, pictures, etc.
- Media: It is the path through which encoded message is transmitted to receiver.
- Decoding: It is the process of converting encoded symbols of the sender.
- Receiver: Receiver is the person who receives the message.
- Feedback: It includes all those actions of receiver indicating that he has received and understood message of sender.
- Noise: Noise means some obstruction or hindrance to communication.
Question 4.
Re-arrange the following needs in the order of Abraham Maslow’s Need Hierarchy Theory of Human Needs.

Answer:

Question 5.
Mr.Valsalan, a manager of Shatu Ltd, traces out the needs of the employees in the organization which are as follows.
- Security in old age, state of illness.
- Dignity, self respect
- Protection against fire and accidents
- Better clothing and shelter
- Economic security
- Self-fulfillment
- Love and affection, friendship
Arrange the needs under the framework of Abraham Maslow’s theory. Prepare a chart based on it.
Answer:
| a) Physiological needs | Better clothing and shelter |
| b) Security needs/ Safety needs | Security in old age, state of illness Protection against fire and accidents |
| c) Social needs/ Love needs | Love and affection, friendship |
| d) Esteem needs | Dignity, self respect |
| e) Self actualisation needs | Self fulfilment |
Question 6.
- The function of a lower level manager by which he oversee the working of employees and control their activities is called …………………
- What is its need?
Answer:
1. Supervision
2. Importance of supervision:
- A good supervisor acts as a guide, friend and philosopher to the workers.,
- Supervisor acts as a link between workers and management. It helps to avoid misunderstandings and conflicts among the management and workers.
- Supervisor provides good On the Job training to the workers and employees.
- A supervisor with good leadership qualities can build up high morale among workers.
- A good supervisor analyses the work performed and gives feedback to the workers.
- Supervisors help to maintains harmony among workers.
Question 7.
Explain Maslow’s Need Hierarchy Theory of Motivation.
Answer:
Maslow’s Need Hierarchy Theory of Motivation:
Abraham Maslow’s Need Hierarchy Theory is considered fundamental to understanding of motivation. His theory was based on human needs. Various human needs are:
1. Physiological Needs:
These are the basic needs which include food, clothes, hunger, thirst, shelter, sleep and sex. If physiological needs are not satisfied, the higher level needs will not be emerged.
2. Safety/Security Needs:
These needs provide security and protection from physical and emotional harm. These needs include job security, stability of income, pension plans, etc.
3. Social Needs:
These needs refer to affection, sense of belongingness, acceptance and friendship. Informal organisation helps to satisfy the social needs of an individual.
4. Esteem Needs:
These include factors such as self-respect, autonomy status, recognition and attention.
5. Self Actualisation Needs:
It is the highest level of need in the hierarchy. Self actualisation is the need to maximise one’s potential, whatever it may be. These needs include growth, self-fulfilment and achievement of goals.

Question 8.
Explain the importance of communication in a business organisation.
Answer:
Importance of Communication:
1. Acts as basis of co-ordination: Communication acts as the basis of co-ordination.
2. Helps in smooth working of an enterprise: It is only communication, which makes smooth working of an enterprise possible.
3. Acts as basis of decision making: Comm Plication provides needed irftormation for decision making.
4. Increases managerial efficiency: Communication lubricates the entire organisation and keeps the organisation at work with efficiency.
5. Promotes co-operation and industrial peace: Communication promotes co-operation and mutual understanding between the management and workers.
6. Establishes effective leadership: Commu-nication is the basis of leadership. Effective communication helps to influence subordinates.
7. Boosts morale and provides motivation: An efficient system of communication enables management to motivate, influence and satisfy the subordinates. It helps to boost morale of employees and managers.
Question 9.
Explain various communication networks.
Answer:
Communication network:
It refers to the pattern through which members of work groups communicate.
The pattern through which communication flows within the organisation is generally indicated through communication network. Some of the communication networks are:

1. Single Chain:
This network exists between a supervisor and his subordinates. Here communication flows from every superior to his subordinate through single chain.

2. Wheel:
In wheel network, all subordinates under one superior communicate through him only. The subordinates are not allowed to communicate among themselves.

3. Circular:
In circular network, the communication moves in a circle. Each person can communicate with his adjoining two persons.

4. Free flow:
In this network, each person can communicate with others freely.

5. Inverted V:
In this network, a subordinate is allowed to communicate with his immediate superior as well as his superior’s superior.

Question 10.
Explain the forms of communication
Answer:
Communication may be classified as follows

Question 11.
“Leadership is considered as the most important element of the directing function of the management.” In the light of this statement, explain the importance of leadership.
Answer:
Importance of Leadership:
- A leader inspires, supports and influences the behaviour of subordinates to achieve the organisational objective.
- Effective leadership helps to achieve a harmonious relation between the management and subordinates.
- Leadership helps to create job satisfaction among employees by providing good working condition.
- A good leader persuades the people to accept and carry out the desired change.
- A leader handles conflicts effectively.
- Leader provides training to their subordinates.
- Effective leadership helps to increase efficiency and productivity.
Question 12.
“To be successful as a manager one must be a good leader”. Outline the qualities of a good leader in the light of the above statement.
Answer:
Qualities of Good Leader:
- Physical Features: Physical features like height, weight, health, appearance determine the physical personality of a leader.
- Knowledge: A good leader should have required knowledge and competence.
- Honesty: A leader should possess high level of honesty.
- Initiative: A leader should have courage and initiative.
- Communication Skills: A leader should have the capacity to clearly explain the ideas.
- Motivation Skills: The leader should have the ability to motivate the subordinates by satisfying their needs.
- Self Confidence: A leader should have high level of self confidence.
Question 13.
What are the points to be kept in mind while communicating a message?
Answer:
Measures to overcome barriers to communication:
- The entire problem to be communicated should be studied in depth, analysed and stated in such a manner that it is clearly conveyed to subordinates.
- Communication must be according to the education and understanding levels of subordinates.
- Before communicating.the message, it is better to consult with others.
- The contents of the message, tone, language used, etc. are important aspects of effective communication.
- While conveying message to others, it is better to know the interests and needs of the receiver.
- Ensure proper feedback.
- Manager should be a good listener.
Plus Two Business Studies Directing Eight Mark Questions and Answers
Question 1.
Mr. Radha Krishnan, the personal manager of an organisation recently conducted a survey among the employees of his organisation to identify theirdesires and needs. The needs and desires of the employees identified by him are listed below.
- Love and affection
- Accepted by one peer’s
- Self fulfilment
- Better clothing and shelter
- Economic stability
- Security in old age
- Protection against accidents
- Dignity
- Arrange these needs and desires under the frame-work of Maslow’s theory.
- What are the important features of this theory?
Answer:
1. Maslow’s Need Hierarchy Theory of Motivation:
Abraham Maslow’s Need Hierarchy Theory is considered fundamental to understanding of motivation. His theory was based on human needs. Various human needs are:
1. Physiological Needs:
These are the basic needs which include food, clothes, hunger, thirst, shelter, sleep and sex. If physiological needs are not satisfied, the higher level needs will not be emerged.
2. Safety/Security Needs:
These needs provide security and protection from physical and emotional harm. These needs include job security, stability of income, pension plans, etc.
3. Social Needs:
These needs refer to affection, sense of belongingness, acceptance and friendship. Informal organisation helps to satisfy the social needs of an individual.
4. Esteem Needs:
These include factors such as self-respect, autonomy status, recognition and attention.
5. Self Actualisation Needs:
It is the highest level of need in the hierarchy. Self actualisation is the need to maximise one’s potential, whatever it may be. These needs include growth, self-fulfilment and achievement of goals.

2. important features of this theory:
1. Physiological needs – Better clothing and shelter Economic stability
2. Safety needs – Security in old age Protection against accidents
3. Social needs – Love and affection Accepted by one peer’s
4. Esteem needs – Dignity
5. Self actualisation – Self fulfilment needs
Question 2.
“Direction is the heart of management”.
- Do you agree?
- Give reasons in support of your answer.
Answer:
1. Directing:
Directing refers to the process of instructing, guiding, counselling, motivating and leading people in the organisation to achieve its objectives.
2. Importance of Directing:
- Directing helps to initiate action by people in the organisation towards attainment of desired objectives.
- Directing integrates employees’ efforts in the organisation in such a way that every individual effort , contributes to the organizational performance.
- Directing guides employees to fully realise their potential and capabilities by motivating and providing effective leadership.
- Directing facilitates introduction of needed changes in the organization.
- Effective directing helps to bring stability and balance in the organization.
Question 3.
“Supervision is needed in all organizations so as to get the best out of the employees”
- Do you agree?
- Explain.
Answer:
1. Supervision:
Supervision means overseeing the subordinates at work. Supervision is instructing, guiding and controlling the workforce with a view to seethatthey are working according to plans, policies, programmes and instructions.
2. Importance of Supervision:
- A good supervisor acts as a guide, friend and philosopher to the workers.,
- Supervisor acts as a link between workers and management. It helps to avoid misunderstandings and conflicts among the management and workers.
- Supervisor provides good On the Job training to the workers and employees.
- A supervisor with good leadership qualities can build up high morale among workers.
- A good supervisor analyses the work performed and gives feedback to the workers.
- Supervisors help to maintains harmony among workers.
Question 4.
“Motivation means a process of stimulating people to action to accomplish desired goals.”
- Do you agree with this statement?
- Explain.
Answer:
1. Motivation:
Motivation is the process of stimulating people to action to accomplish desired goals. Motivation depends upon satisfying needs of people.
2. Importance of Motivation:
- Motivation helps to improve performance levels of employees as well as the organisation.
- Motivation helps to change negative attitudes of employee to positive attitudes.
- Motivation helps to reduce employee turnover.
- Motivation helps to reduce absenteeism in the organisation.
- Motivation helps managers to introduce changes smoothly.