Kerala Plus One Zoology Previous Year Question Paper March 2017 with Answers
| Board | SCERT |
| Class | Plus One |
| Subject | Zoology |
| Category | Plus One Previous Year Question Papers |
Time : 1 Hours
Cool off time : 10 Minutes
Maximum : 30 Scores
General Instructions to Candidates
- There is a ‘cool off time’ of 10 minutes each for Botany and Zoology in addition to the writing time of 1 hour each. Further there is ‘5 minutes’ ‘Preparatory Time’ at the end of the Botany Examination and before the commencement of Zoology Examination.
- Your are not allowed to write your answers nor to discuss anything with others during the ‘cool off time’ and ‘Preparatory time’.
- Use the ‘cool off time’ to get familiar with the questions and to plan your answers.
- Read questions carefully before answering.
- All questions are compulsory and only internal choice is allowed.
- When you select a question, all the sub questions must be answered from the same question itself.
- Calculations, figures and graphs should be shown in the answer sheet itself.
- Malayalam version of the questions is also provided.
- Give equations wherever necessary.
- Electronic devices except non programmable calculators are not allowed in the Examination Hall.
Question 1.
Select the correct sequence of taxonomic hierarchy.
a. Kingdom – Phylum – Class – Order – Genus – Family -Species.
b. Kingdom – Phylum – Order – Class – Family- Genus – Species
c. Kingdom – Phylum – Class – Order- Family – Genus – Species
d. Kingdom – Class – Phylum – Family Order- Species – Genus
Question 2.
In cockroach spiracles are present in
a. Alimentary canal
b. Tracheal system
c. Malpighian tubules
d. Reproductive system
Question 3.
Complete the given branching diagram based on connective tissue.

Question 4.
Match the items in columns B and C with A.

Features of different phyla / class are given below. Identify the phylum / class and give examples of each group.
a. Body is covered by scales, heart is three or four chambered. They respire through lungs.
b. They are exclusively marine, commonly called sea walnuts and show biolumi-nescence.
c. Body is divided into proboscis, collar and trunk.They have open circulatory system and presence of proboscis gland.
Question 5.
Among the different phyla of animals ….. have pseudocoelom.
Question 6.
Categorize the following animals under ra dial symmetry and bilateral symmetry.
![]()
Question 7.
Differentiate the process of inspiration and expiration.
Question 8.
a. Observe the diagram and label A and B.

b. Dental formula of permanent teeth in man is ………….

Question 9.
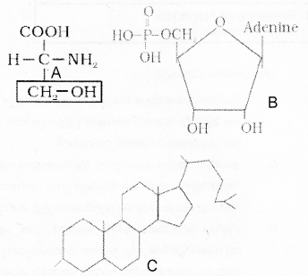
Identify the given biomolecules

Question 10.
Select the wrongly matched pair from the following:
Question 11.
Complete the following chart showing struc ture of myosin filament and it’s protein based on the hints given in the brackets.(Light meromyosin, Actin, Tropomyosin, Meromy osin).

Question 12.
Answer the following :
a. Cerebral hemispheres of human brain are connected by ………………..
- Association area
- Corpus callosum
- Corpora quadrigemina
- Pons varoli
b. Observe the diagram and label A, B, C, and D.

Question 13.
Complete the table

Question 14.
a. Select the correct statement regard¬ing the ECG of man.
- P – wave represents auricular re-polarization.
- P- wave represents ventricular re-polarization.
- P- wave represents auricular de-polarization.
- P – wave represents ventricular de-polarization.
b. Observe the diagram and label A, B, C and D

Question 15.
Prepare two matching pairs from the given list of animals and excretory organs.
