Kerala Plus One Physics Chapter Wise Questions and Answers Chapter 2 Units and Measurement
Plus One Physics Units and Measurement One Mark Questions and Answers
Question 1.
How many seconds are there in a light fermi?
(a) 10-15
(b) 3.0 × 108
(c) 3.33 × 10-24
(d) 3.3 × 10-7
Answer:
(c) 3.33 × 10-24
One light fermi is time taken by light to travel a distance of 1 fermi ie. 10-15m
1 light fermi = \(\frac{10^{-15}}{3 \times 10^{8}}\) = 3.33 × 10-24s.
Question 2.
Which of the following pairs have same dimensional formula for both the quantities?
- Kinetic energy and torque
- Resistance and Inductance
- Young’s modulus and pressure
(a) (1)only
(b) (2) only
(c) (1) and (3) only
(d) All of three
Answer:
(c) (1) and (3) only
Question 3.
Give four dimensionless physical quantities.
Answer:
Angle, Poisson’s ratio, strain, specific gravity.
Question 4.
The dimensions of plank constant are the same as those of______.
Answer:
Angular momentum
Question 5.
A physical quantity P = \(\frac{\sqrt{a b c^{2}}}{d^{3}}\) measuring a, b, c and d separately with the percentage error of 2% , 3%, 2% and 1% respectively. Minimum amount of error is contributed by the measurement of
(a) b
(b) a
(c) d
(d) c
Answer:
(b) a
P = \(\frac{\sqrt{a b c^{2}}}{d^{3}}\)

The minimum amount of error is contributed by the measurement of a.
Question 6.
The number of significant figures in 11.118 × 10-6 is
(a) 3
(b) 6
(c) 5
(d) 4
Answer:
As per rules, number of significant figures in 11.118 × 10-6 is 5.
Question 7.
What is the number of significant figures in 0.06070?
Answer:
4.
Question 8.
If f = x2, What is the relative error in f?
Answer:
\(\frac{2 \Delta x}{x}\).
Question 9.
Which of the following measurement is more accu¬rate?
(i) 7000m
(ii) 7 × 102m
(iii) 7 × 103m
Answer:
(i) 7000 m
Question 10.
Which of the following measurements is most, accurate?
(a) 5.0 cm
(b) 0.005 cm
(c) 5.00 cm
Answer:
(c) Is most accurate because it has three significant figures. Greater is number of significant figures, more accurate is the measurement.
(a) has 2 significant figures
(b) has 1 significant figure.
Question 11.
Name three physical quantities having same dimension.
Answer:
Work, Energy, and Torque.
Plus One Physics Units and Measurement Tw0 Mark Questions and Answers
Question 1.
Using dimensional analysis derive the relation F = ma. Where the symbols have the usual meaning.
Answer:
Force on a body depends on mass(m), acceleration (a) an
F α maabtc
M1L1T-2 = Ma(LT-2)bTc
M1L1T-2 = MaLbT-2a+c
Equating the powers, we get a = 1 ,b = 1, -2b + c = -2, c = 0
F = m1a1t0 = ma.
Question 2.
Use your definition to explain how simple harmonic motion can be represented by the equation y = a sin ωt
(a) Show that the above equation is dimensionally correct
Answer:
Y = a sin ωt
sin ωt has no dimensions. Hence we get L = L
Hence this equation is dimensionaly correct.

Question 3.
Fill in the blanks.
- The curved surface area of a solid cylinder of radius 2 cm and height 20 cm is_____m2 (Write answer in 3 significant digits)
- Im = ______ ly
Answer:
1. Curved area = 2πl
= 2 × 3.14 (2 × 102) × 20 × 102
= 2.51 × 10-6m2
2. l ly= 9.46 × 1015 m
lm = \(\frac{l \mathrm{ly}}{9.46 \times 10^{15}}\) ≈ 10-6ly.
Question 4.
- Give a physical quantity with a unit and no dimension.
- Arrange the following in the descending order.
1 light year, 1 parsec, 1 astronomical unit
Answer:
- Angle has no dimension. But it has unit.
- 1 parsec, 1 light year, 1 astronomical unit.
Question 5.
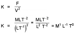
Magnitude of force F experienced by a certain object moving with speed V is given by F = KV2. Where K is a constant. Find the dimensions of K.
Answer:
F = KV2

Question 6.
What is the maximum percentage error in the measurement of kinetic energy if percentage errors in mass and speed are 2% and 3% respectively?
Answer:
E = \(\frac{1}{2}\)v2
![]()
% error in KE = % error in mass + 2 × % error in speed
= 2% + 2 × 3% = 8%.
Question 7.
Solve the following with regard to significant figures.
- 5.8 + 0.125
- 3.9 × 105 – 2.5 × 104
Answer:
1. 5.8 + 0.125 = 5.925
Rounding to first decimal point, we get 5.9
2. 3.9 × 105 – 2.5 × 104
= 3.5 × 105 – 0.25 × 104
= 3.65 × 105
Rounding to first decimal place, we get 3.6 × 105.
Question 8.
What is maximum fractional error in
i) (a + b)
ii) a – b
iii) ab
iv) \(\frac{a}{b}\)
Given ∆ a and ∆ b are absolute errors in measurements a and b.
Answer:

Question 9.
- What is the fractional error in an? (Given absolute error in a is ∆ a)
- What is absolute error in the measurements according to least count?
- 3.0 kg
- 25 s
- 5.62 cm
Answer:
1. n\(\frac{\Delta a}{a}\)
2. The measurements according to least count:
- 0.1 kg
- 1 s
- 0.01 cm
Plus One Physics Units and Measurement Three Mark Questions and Answers
Question 1.
A stone is thrown upwards from the ground with a velocity ‘u’.
- What is the maximum height attained by the stone?
- Check the correctness of the equation obtained in (a) using the method of dimensional analysis.
Answer:
1. H = \(\frac{u^{2}}{2 g}\) ___(1)
u = u, v = o, a = -g, h = ?
We can find maximum height using the equation
u2 = u2 + 2as
0 = u2 + 2 × -g × H
2gh = u2
H = \(\frac{u^{2}}{2 g}\)
2. Dimension of H = L
Dimension of u = (LT-1)
Dimensions of time (t) = T
Dimension of g = (LT-2)
substituting these values in eq(1) we get
L = \(\frac{\left(L T^{-1}\right)^{2}}{\left(L T^{-2}\right)}\)
L = L.
Question 2.
Derive an empirical relationship for the force experienced on the car in terms of mass of the car m, velocity v, and radius of the track r using dimensional analysis.
Answer:
Centripetal force may depends on mass (m),radius(r) and velocity(v)
F α marbvc
M1L1T-2 = MaLb(LT-1)c
M1L1T-2 = MaLbLcT-c
M1L1T-2 = MaLb+cT-c
Equating we get a = 1, b + c = 1, c = 2, b = -1
Substituting these values in eq(1),we get
F = \(\frac{M V^{2}}{r}\).
Question 3.
Dimensional formula of a physical quantity indicate how many times fundamental quantity is involved in the measurement of the quantity.
- What is the dimensional formula of coefficient of viscosity?
- Write any two drawbacks of dimensional analysis.
Answer:
1. F = ηA\(\frac{d V}{d x}\)

2. The method of dimensional analysis has the following drawbacks:
- It gives no information about the dimensionless constant involved in the equation.
- The method is not applicable to equations involv¬ing trigonometric and exponential functions.
- This method cannot be employed to derive the • exact form of the relationship if it contains sum
of two, or more terms. - If the given physical quantity depends on more than three unknown quantities, the method fails.
Question 4.
Principle of homogeneity is based on the fact that two quantities of same nature can be added.
- What do you mean by principle of homogeneity?
- Velocity V depends on the time t as V = at2 + bt + c. Find dimension of constants a, b, and c.
Answer:
1. For the correctness of an equation, the dimensions on either side must be the same. This is known as the principle of homogeneity of dimensions.
2. V = at2 + bt + c
M0L1T-1 = aT2 + bT + c
According to principle of homogenity, we get
aT2 = M0L1T-1
a = \(\frac{\mathrm{M}^{0} \mathrm{L}^{1} \mathrm{T}^{-1}}{\mathrm{T}^{2}}\)
= M0L1T-3.
Question 5.
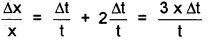
If x = a + bt + ct2 where x is in meter and t in second.
- Find the dimensional formula of ‘b’.
- If error in the measurement of time is 2%. What will be the error in x?
Answer:
1. According to principle of homogeneity, the dimensions of both sides must be same.
ie. L = a + bT + cT2
ie : L = bT, b = L/T
2.
![]()
% error in x = 3 × %. error in ‘t’ = 3 × 2% = 6%.
Question 6.
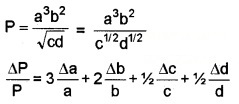
A physical quantity P is related to four observables a, b, c as P = \(\frac{a^{3} b^{2}}{\sqrt{c d}}\). The % error in the measurement of a, b, c, and d are 1%, 3%, 4%, 2% are respectively.
- What do you mean by error in a measurement?
- What is the % error in the measurement of P?
Answer:
1. The result of every measurement by any measuring instrument contains some uncertainty. This uncertainty is called error.
2.

% error in
P = 3 × 1 + 2 × 3 + 1/2 × 4 + 1/2 × 2
= 3 + 6 + 2+ 1
P = 12%
Question 7.
Rahul measured the height of Ramesh in different trials as 1.67m, 1.65m 1.64m, and 1.63m.
- Find the mean absolute error?
- Find the percentage error?
Answer:
1. Arithametic mean,

amean = 1.645m = 1.65
absolute error,
∆a1 = amean – a1
∆a1 = 1.65 – 1.67 = -0.02
∆a2 = 1.65 – 1.65 = 0
∆a3 = 1.65 – 1.64 = 0.01
∆a4 = 1.65 – 1.63 = 0.02
Mean absolute error
![]()
= 0.012
2. percentage error = \(\frac{\Delta \mathrm{a}_{\text {mean }}}{\mathrm{a}_{\text {mean }}}\) × 100
= \(\frac{0.012}{1.65}\) × 100
= 0.75%.
Question 8.
In a particular experiment Ramu used the relation F = AB + (P + Q) Y to calculate force.
- Which principle is used to check the correctness of the equation (1)
- If the dimensional formula of Y is M0L1T-1, then find the dimensional formula of P
Answer:
1. Principle of homogenity
2. F = AB + (P+Q)Y
F = AB + PY + QY
MLT-2 = AB + PY+ QY
According to principle of homogeneity
MLT-2 = PY
M1L1T-2 = P M0L1T-1
ie. P = \(\frac{M^{\prime} L^{1} T^{-2}}{M^{0} L^{1} T^{-1}}\) = M1T-3
Question 9.
- Which of the following is precise
- A vernier calliperse with 40 divisions on sliding scale
- An optical instrument that can measure length of the order of wavelength of light.
- Is it possible to increase the accuracy of screw gauge by increasing the number of divisions on the head scale?
Answer:
1. (i) L.C of vernier caliperse = \(\frac{1}{40}\) = 0.025mm
= 0.025 × 10-3m
= 2.5 × 10-5m.
(ii) L.C of optical instrument = 6000A°
= 6000 × 10-10m
(Taking λ of visible light = 6000°A)= 6 × 10-7m
2. Yes. Because L.C proportional to number of division on the headscale. So with the increase in number of divisions, the least count will increase. This leads to increase the accuracy of above screw guage.
Plus One Physics Units and Measurement Four Mark Questions and Answers
Question 1.
In an experiment with common balance the mass of a body is found to 2.52g, 2.53g, 2,51g, 2.49g and 2.54g in successive measurements. Calculate
- The mean value of the body
- Mean absolute error
- Percentage error
Answer:
1. Mean value, Mmean
= \(\frac{2.52+2.53+2.51+2.49+2.54}{5}\)
= 2.5g
2. Absolute error,
Absolute error ∆m1 = |2.52 – 2.52| = 0
∆m2 = |2.52 – 2.53| = 0.01
∆m3 = |2.52 – 2.51| = 0.01
∆m4 = |2.52 – 2.49| = 0.03
∆m5 = |2.52 – 2.54| = 0.02
∴ Mean absolute error
\(\frac{0+0.01+0.01+0.03+0.02}{5}\)
∆mmean = 0.014g
3. Percentage error = \(\frac{\Delta \mathrm{m}_{\text {mean }}}{\mathrm{m}_{\text {mean }}}\) × 100
= \(\frac{0.014}{2.52}\) × 100 = 0.556.
Question 2.
While discussing the period of a pendulam, one of the student argued that period depends on the mass of the bob.
- What is your opinion?
- How will you prove your argument dimensionally?
Answer:
- Period is independent of mass of the bob
- The principle of homogeneity of dimensions also helps to derive a relationship between the different physical quantities involved; This method is known as dimensional analysis.
The period of the simple pendulum may possibly depend upon:
- The mass of the bob, m
- The length of the pendulum, I
- Acceleration due to gravity, g
- The angle of swing, q
Let us write the equation for the time period as t = k ma lb gc qd
where, k is a constant having no dimensions; a, b, care to be found out.
The dimensions of, t = T1
Dimensions of. m = M1
Dimensions of, l = L1
Dimensions of, g = L1T-2
Angle q has no dimensions (since, q = arc/radius = L/L)
Equating the dimensions of both sides of the equation, we get,
T1 = MaLb (L1T-2)c
ie. T1 = MaLb+c+ T-2c.
The dimensions of the terms on both sides must be the same. Equating the powers of M, L and T.
a = 0; b + c = 0; -2c = 1
∴ c = –\(\frac{1}{2}\), b = – c = \(\frac{1}{2}\)
Hence, the equation becomes,
t = kl1/2g-1/2
ie, t = k\(\sqrt{1 / g}\)
Experimentally, the value of k is found to be 2p.
Plus One Physics Units and Measurement Five Mark Questions and Answers
Question 1.
In an experiment with a common balance the mass of a ring found to be 2.52g, 2.5g, 2,51g, 2.49g and 2.54g in successive measurements. Calculate
- The mean value of the mass of the ring
- The absolute error in each measurement
- Mean absolute error
- Relative error
- Percentage error
Answer:
1. The mean value of the mass of the ring.
Mmean = \(\frac{2.52+2.53+2.51+2.49+2.54}{5}\) = 2.52g.
2. The absolute error in each measurement.
∆m1 = Mmean – m1 = 2.52 – 2.52 = 0.00
∆m2 = Mmean – m2 = 2.52 – 2.53 = -0.01
∆m5 = Mmean – m5 = 2.52 – 2.54 = -0.02
3. mean absolute error = |∆m1| + |∆m2|………..+|∆m5|
= 0.014
4. Relative error = δm = \(\frac{\Delta \mathrm{m}_{\text {mean }}}{\mathrm{m}_{\text {mean }}}=\frac{.014}{2.52}\) = 0.00555
5. Percentage error δm × 100 = 0.555%.
Plus One Physics Units and Measurement NCERT Questions and Answers
Question 1.
Fill in the blanks:
- The volume of a cube of side 1 cm is equal to______m3.
- The surface area of a solid cylinder of radius 2.0 cm and height 10.0cm is equal to____(mm)2.
- A vehicle moving with a speed of 18km h-1 covers_____m in 1s.
- The relative density of lead is 11.3.Its density is_____g cm-3or_____kgm-3.
Answer:
1. V = (1 cm)3
= (10-2m)3
= 10-6m3
So, answer is 10-6.
2. Surface area = 2 πrh + 2 × πr2
= 2πr(h + r)
= 2 × \(\frac{22}{7}\) × 2 × 10(10 × 10 + 2 × 10)mm2
= 1 .5 × 104mm2
So, answer is 1.5 × 104
3. 18kmh-1 = \(\frac{18 \times 1000}{3600}\)ms-1
= 5ms-1
So, answer is 5.
4. 11.3, 11.3 × 103 or 1.13 × 104.
Question 2.
Fill in the blanks by suitable conversion of units:
- 1 kgm2s-2 = _____g cm2s-2
- 1 m =_____1 y
- 3.0 ms2 =______kmh-2
- G = 6.67 × 10-11 Nm2 (kg)-2 =_____(cm)3s-2g-1
Answer:
- 107
- 10-16
- 3.888 × 104
- 6.67 × 10-8
Question 3.
A calorie is a unit of heat or energy and it equals about 4.2 J, where 1 J = 1 kgm2S-2. Suppose we employ a system of units in which the unit of mass equals α kg, the unit of length equals β metere, the unit of time is second, show that a calorie has a magnitude 4.2 α-1 β-2 γ2 in terms of the new units.
Answer:
1 cal = 4.2kg m2s-2
| SI | New system |
| n1 = 4.2 | n2 = ? |
| M1 = 1 kg | M2 = α kg |
| L1 = 1m | L2 = β meter |
| T1 = 1s | T2 = γ second |
Dimensional formula of energy is [ML2T-2]. Comparing with [MaLbTc], we find that
a = 1, b = 2, c = -2

Question 4.
Which of the following is the most precise device for measuring length?
- A vernier callipers with 20 divisions on the sliding scale.
- A screw guage of pitch 1 mm and 100 divisions on the circular scale
- An optical instrument that can measure length to within a wavelength of light?
Answer:
The most precise device is one whose least count is the least.
1. Least count = 1SD – 1 VD = 1 SD – \(\frac{19}{20}\) SD

2. Least count

3. Wavelength = 10-5 cm = 0.00001 cm
Clearly, the optical instrument is the most precise.
Question 5.
State the number of significant figures in the following:
- 0.007m2
- 2.64 × 1024kg
- 0.2370gcm3
- 6.320 J
- 6.032 Nm-2
- 0.0006032 m2
Answer:
- 1
- 3
- 4
- 4
- 4
- 4
Question 6.
The length, breadth, and thickness of a rectangular sheet of metal are 4.234m, 1.005m and 2.01cm respectively. Give the area and volume of the sheet to correct significant figures.
Answer:
Area of the sheet = 2(l × b + b × t + t × l)
= 2(4.234 × 1.005 + 1.005 × 0.0201 + 0.0201 × 4.234)m2
= 2 (4.255 + 0.0202 + 0.0851)m2
= 2 × 4.3603m2
= 8.7206m2
= 8.72m2
Volume = lbt
4.234 × 1.005 × 0.0201m3
= 0.0855m3
Question 7.
A Physical qunatity P is related to four observables a, b, c and d as follows:
P = \(\frac{\mathrm{a}^{3} \mathrm{b}^{2}}{\sqrt{\mathrm{c}} \mathrm{d}}\). The percentage errors of measurement in a, b,c, and d are 1 %, 3%, 4% and 2% respectively. What is the percentage error in the quantity P? If the value of P calculated using the above relation turns out to be 3.763, to what value should you round off the result?
Answer:
P = \(\frac{\mathrm{a}^{3} \mathrm{b}^{2}}{\sqrt{\mathrm{c}} \mathrm{d}}\)

% error in P = 3% + 6% + 2%+2% = 13%
3.763 should be rounded off to 3.8.
Question 8.
A famous relation in physics relates ‘moving mass’ m to the ‘rest mass’ m0 of a particle in terms of its speed v and the speed of light c. (This relation first arose as a consequence of special relativity due to Albert Einstein). Boy recalls the relation almost correctly but forgets where to put the constant c. He writes:
\(\frac{m_{0}}{\left(1-v^{2}\right)^{1 / 2}}\)
Guess where to put the missing e.
Answer:
From the given equation, \(\frac{m_{0}}{m}=\sqrt{1-v^{2}}\)
Since left hand side is dimensionless therefore right hand side should be also dimensionless.

The correct formula is m = m0 \((\sqrt{1-\frac{v^{2}}{c^{2}}})^{-1 / 2}\).