Plus One Maths Notes Chapter 15 Statisticsis part of Plus One Maths Notes. Here we have given Kerala Plus One Maths Notes Chapter 15 Statistics.
| Board | SCERT, Kerala |
| Text Book | NCERT Based |
| Class | Plus One |
| Subject | Maths Notes |
| Chapter | Chapter 15 |
| Chapter Name | Statistics |
| Category | Plus One Kerala |
Kerala Plus One Maths Notes Chapter 15 Statistics
Statistics deals with data collected for specific purposes and making decisions about the data by analyzing and interpreting it.
I. Measure of Dispersion
This gives a measure of the dispersion of the observation around the measure of central tendency of the data collected.
1. Range = Maximum value – Minimum value.
2. Mean Deviation.

Where,
xi – observations
a – Any measure of central tendency.

Grouped data:
i. Discrete frequency distribution.
ii. Continuous frequency distribution.

Where,
xi – Observations/midpoints of class intervals
a – Any measure of central tendency.

Median class is the class in which the \(\left(\frac{N}{2}\right)^{t h}\) observation lies.

l – The lower limit of the median class.
f0 – Cumulative frequency of the class preceding the median class.
f1 – Frequency of the median class.
C – Width of the class interval.

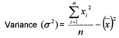
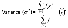
3. Variance and Standard Deviations.
Standard Deviation (σ) = √Variance
Ungrouped data:

Where, xi – observations
\(\bar{x}\) – Mean
n – number of observations
Grouped data:
i) Discrete frequency distribution.
ii) Continuous frequency distribution.

Where,
xi – Observations/mid points of class intervals.
\(\bar{x}\) – Mean
fi – Frequency.
Short cut method of finding variance and standard deviation:
Let A be the assumed mean and the scale be reduced to \(\frac{1}{h}\) times (h being the width of class intervals). Let the new value be yi and prepare the required tables using yi. i.e; yi = \(\frac{x_{i}-A}{h}\)
Find the variance and standard deviation of yi using the above-mentioned method, let it

II. Coefficient of Variation
![]()
The distribution having greater CV has more variability around the central value than the distribution having a smaller value of the CV.
Less the CV more consistent is the data.
For distributions with equal means, the distribution with lesser standard deviation is more consistent or less scattered.
We hope the Plus One Maths Notes Chapter 15 Statistics help you. If you have any query regarding Kerala Plus One Maths Notes Chapter 15 Statistics, drop a comment below and we will get back to you at the earliest.