Kerala Plus One Maths Model Question Paper 1 with Answers
| Board | SCERT |
| Class | Plus One |
| Subject | Maths |
| Category | Plus One Previous Year Question Papers |
Time Allowed: 2 1/2 hours
Cool off time: 15 Minutes
Maximum Marks: 80
General Instructions to Candidates :
- There is a ‘cool off time’ of 15 minutes in addition to the writing time.
- Use the ‘cool off time’ to get familiar with the questions and to plan your answers.
- Read instructions carefully.
- Read questions carefully before you answering.
- Calculations, figures and graphs should be shown in the answer sheet itself.
- Malayalam version of the questions is also provided.
- Give equations wherever necessary.
- Electronic devices except non programmable calculators are not allowed in the Examination Hall.
Answer any six questions from 1 to 7. Each carries 3 scores. (6 × 1 = 6)
Question 1.
Consider the Venn diagram given below:

a) Write A’, B’, (A∩B)’
b) Verify that(A∩B)’ = A’∪B’
Answer:
a) A’ = {5, 6, 7, 8, 9}; B’ = {1, 2, 7, 8, 9}
(A∩B)’ = {1, 2, 5, 6, 7, 8, 9}
b) A’∪B’ = {1, 2, 5, 6, 7, 8, 9}
Hence; (A∩B)’ = A’∪B’
Question 2.
For any triangle ABC, prove that
![]()
Answer:

Question 3.
Consider the complex numbers z = 3 +4i
a) Write the conjugate of z.
b) Verify that z\(\bar{z}\) = |z|2
Answer:
a) Conjugate of \(\bar{z}\) = 3 – 4i
b) z\(\bar{z}\) = (3 + 4i)(3 – 4i) = 9 – (-16) = 25
|z|2 = \(\sqrt{3^{2}+4^{2}}\) = 25 ⇒ z\(\bar{z}\) = |z|2
Question 4.
a) Solve the inequality -5 ≤ \(\left(\frac{5-3 x}{2}\right)\) ≤ 8
b) Represent the solution on a number line.
Answer:
-5 ≤ \(\left(\frac{5-3 x}{2}\right)\) ≤ 8
10 ≤ 5 – 3x ≤ 16 => -10 – 5 ≤ -3x ≤ 16 – 5

b)

Question 5.
4 cards are drawn from a well shuffled pack of 52 cards.
a) In how many ways can this be done?
b) In how many ways can this be done if all 4 cards are of the same colour?
Answer:
No. of ways = 52C4
No. of ways, all 4 are same colour
= 26C4 + 26C4 = 2 × 26C4
Question 6.
Consider the equation of the ellipse 9x2 + 4y2 =36. Find
a) Focii
b) Eccentricity
c) Length of latus rectum.
Answer:
a) Standard form of the ellipse is \(\frac{x^{2}}{4}+\frac{y^{2}}{9}\) = 1, the major axis is y axis.
⇒ a = 3, b = 2 ⇒ c = \(\sqrt{a^{2}-b^{2}}\) = \(\sqrt{9-4}\) = \(\sqrt{5}\)
Focii = (0, ±c) = (0, ±\(\sqrt{5}\))
b) Eccentricity = \(\frac{c}{a}=\frac{\sqrt{5}}{3}\)
c) Length of latus rectum \(\frac{2 b^{2}}{a}=\frac{2 \times 2^{2}}{3}=\frac{8}{3}\)
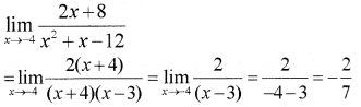
Question 7.
Evaluate \(\lim _{x \rightarrow-4} \frac{2 x+8}{x^{2}+x-12}\)
Answer:

Answer any eight questions 8 to 17. Each carries 4 scores each. (8 × 4 = 32)
Question 8.
Consider A = {x:x is an integer, 0 < x ≤ 3 }
a) Write A in roster form.
b) Write the power set of A.
c) The number of proper subsets of A.
d) Write the number of possible relation from A to A.
Answer:
a) A = {1, 2, 3}
b) P(A) = {Φ, {1}, {2}, {3}, {1, 2}, {1, 3}, {2, 3}, {1, 2, 3}}
c) Number of proper subset = 23 – 1 = 7
d) Number of relations = 23 × 3 = 512
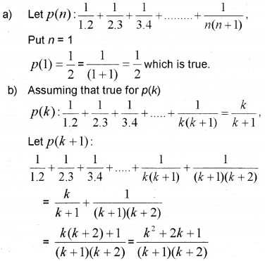
Question 9.
Consider the statement
![]()
a) Show that P(1) is true.
b) Prove that P(n) is true for all n∈N using the principle of Mathematical induction.
Answer:


Hence by using the principle of mathematical induction true for all n∈N.
Question 10.
Consider the complex number z
a) Write z in the form a + ib
b) Write z in polar form.
Answer:

Question 11.
Solve the following inequalities graphically
x – 2y ≤ 3; 3x + 4y ≥ 12; x ≥ 0; y ≥ 1
Answer:

Question 12.
a) How many 3 letter words with or without meaning can be formed using 26 letters in English alphabet, if no letter is repeated?
b) Find the number of permutation of letters of the word MATHEMATICS.
c) How many of them begin with the letter C?
Answer:
a) No. of words= 26P3 =15600
b) In the word MATHEMATICS, the letters M-2, A-2, T-2, H-1, E-1, 1-1, C-1, S-1 are repeated.
No. of permutation = \(\frac{11 !}{2 ! \times 2 ! \times 2 !}\)
If the words begin with C = \(\frac{10 !}{2 ! \times 2 ! \times 2 !}\)
Question 13.
Consider the figure given below. A(3, 0) and B (0, 2) are two points on axes. The line is perpendicular to AB.

a) Find the Slope of OP.
b) Find the coordinate of the point P.
Answer:

Question 14.
Equation of the parabola given in the picture is y2 = 8x

Find the focus and length of latus rectum of the parabola.
The latus rectum of the parabola is a chord to the circle centered at origin as shown in the figure. Find the equation of the circle.
Answer:
a) The equation parabola is y2 = 8x ⇒ a = 2
Length of latus rectum = 4a = 4 × 2 = 8
b) A and B are extremities of the latus rectum. Hence the coordinate of A is (a, -2a) = (2, -4) and that of B is (a, 2a) = (2, 4)
Therefore the radius of circle is the distance from A or B
Radius = \(\sqrt{(2-0)^{2}+(4-0)^{2}}\) = \(\sqrt{4+16}\) = \(\sqrt{20}\)
Equation of the circle is x2 + y2 = 20
Question 15.
Let L be the line x – 2y + 3 = 0
a) Find the equation of the line L1 which is parallel to L and passing through (1, -2).
b) Find the distance between L and L1.
c) Write the equation of another line L2 which is parallel to L, such that the distance from origin to L and L2 are the same.
Answer:
a) Slope of the line L is \(\frac{1}{2}\)
The slope of parallel line L1 is \(\frac{1}{2}\)
Therefore the equation of line L1
y-(-2) = \(\frac{1}{2}\)(x – 1) ⇒ 2(y + 2) = x – 1
⇒ 2y + 4 = x – 1 ⇒ x – 2y – 5 = 0
b) Distance between L and L1
\(\left|\frac{-5-3}{\sqrt{(1)^{2}+(-2)^{2}}}\right|=\frac{8}{\sqrt{5}}\)
c) The equation of the line L2 will be on the other side of the origin. So the equation of L2 can be obtained by changing the sign of constant term in the equation of L.
⇒ x – 2y – 3 = 0
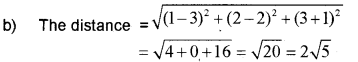
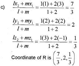
Question 16.
Consider a point A (3, 2, -1) in space
a) Write the octant in which A belongs to
b) If B (1, 2, 3) is another point in Space, find the distance between A and B.
c) Find the coordinate of the point R which divides AB in the ratio 1 : 2 internally.
Answer:
a) 5th octant.


Question 17.
a) Write the contrapositive of the statement.
p : If a triangle is equilateral, then it is isosceles.
b) Verify by method of contradiction:
‘\(\sqrt{3}\) is irrational’
Answer:
a) If a triangle is not isosceles, then it is not equilateral.
b) Assume that \(\sqrt{3}\) is rational. Then \(\sqrt{3}\) can be written in the form \(\sqrt{3}\) = \(\frac{p}{q}\), where p and q are integers without common factors.
Squaring; 3 = \(\frac{p^{2}}{q^{2}}\) ⇒ 3q2 = p2 ….(1)
⇒ 3 divides p2 ⇒ 3 divides p
Therefore, p = 3k for some integer k.
⇒ p2 = 9k2
(1) ⇒ 3q2 – 9k2 ⇒ q2 =3k2
⇒ 3 divides q2 ⇒ 3 divides q Hence p and q have common factor 3, which contradicts our assumption. Therefore, \(\sqrt{3}\) is irrational.
Answer any 5 questions from 18 to 24. Each carries 6 scores. (5 × 6 =30)
Question 18.
a) If A = {a, b} write A × A × A.
b) If R = {(x, x3):x is a prime number less than 10}. Write R in roster form.
c) Find the domain and range of the function f(x) = 2 + \(\sqrt{x-1}\)
Answer:
a) A × A × A = {(a, a, a),(a, a, b),(a, b, a), (a, b, b), (b, a, a),(b, a, b),(b, b, a),(b, b, b)}
b) R = {(2, 8), (3, 27), (5, 125), (7, 343)}
c) domain = [1, ∞)
Range = [2, ∞)
Question 19.
a) The minute hand of a watch is 3cm long. How far does its tip move in 40 minutes? (Use π = 3.14)
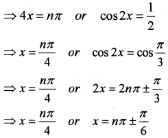
b) Solve the trigonometric equation
sin2x – sin4x + sin6x = 0.
Answer:
The distance = l = rθ = 3 × \(\frac{40}{60}\)2π = 4π
= 4 × 3.14 = 12.56cm
b) sin 2x + sin 6x – sin 4x = 0
⇒ 2sin 4x cos2x – sin 4x = 0
⇒ sin 4x(2cos 2x – 1) = 0
⇒ sin4x = 0 or (2cos 2x – 1) = 0

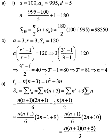
Question 20.
a) Find the sum of all 3 digit numbers which are multiple of 5.
b) How many terms of the GP 3, 32, 33,…. are needed to give the sum 120?
c) Find the sum of the first n terms of the series whose nth terms is n(n + 3).
Answer:

Question 21.
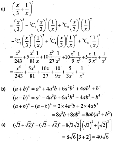
a) Expand using binomial theorem, \(\left(\frac{x}{3}+\frac{1}{x}\right)^{5}\)
b) Find (a + b)4 – (a – b)4.
c) Hence find (\(\sqrt{3}\) + \(\sqrt{2}\))4 – (\(\sqrt{3}\) – \(\sqrt{2}\))4
Answer:

Question 22.
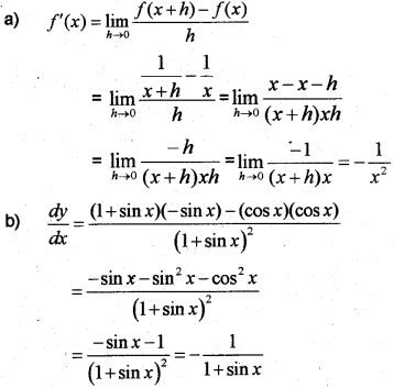
a) Find the derivative of y = \(\frac{1}{x}\) from the first principal.
b) Differentiate f(x) = \(\frac{\cos x}{1+\sin x}\) with respect to x.
Answer:

Question 23.
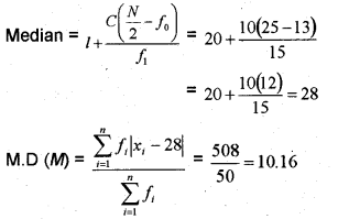
Calculate the mean deviation about median for the following data:

Answer:


Question 24.
Consider a bag containing 3 red balls and 2 black balls which are identical. 2 balls are drawn simultaneously at random from the bag.
a) Write the sample space of the random experiment.
b) Write the event.
A: Both balls are red.
B: One is red and one is black.
c) Show that A and B are mutually excusive.
d) Find P(A) and P(B).
Answer:
a) S = {R1R2, R1R3, R2R3, B1B2, R1B1, R1B2, R2B1, R3B1, R3B2}
b) A = {R1R2, R1R3, R2R3}
B = {R1B1, R1B2, R2B1, R2B2,R3B1, R3B2}
c) A∩B = Φ
Therefore A and B are mutually exclusive events.
d) P(A) = \(\frac{3}{10}\); P(B) = \(\frac{6}{10}\) = \(\frac{3}{5}\)