Kerala Plus One Maths Chapter Wise Questions and Answers Chapter 13 Limits and Derivatives
Plus One Maths Limits and Derivatives Three Mark Questions and Answers
Question 1.
Evaluate the following: (3 score each)

Answer:



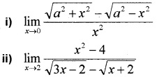
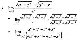
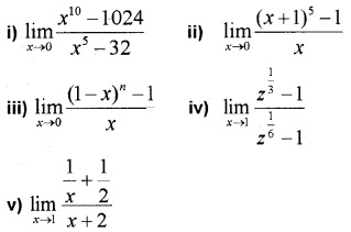
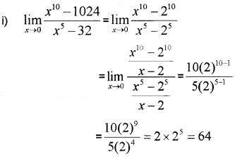
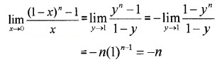
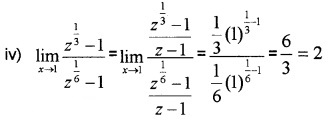
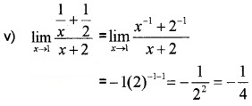
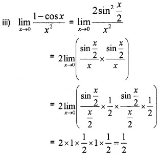
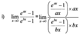
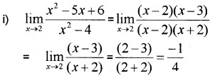
Question 2.
Evaluate the following: (3 score each)

Answer:

ii) Put x + 1 = y, x → 0, y → 1

iii) Put 1 – x = y, x → 0, y → 1



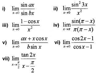
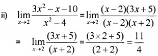
Question 3.
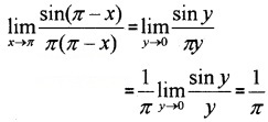
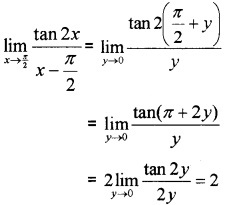
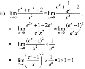
Evaluate the following: (3 score each)

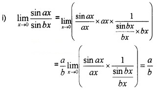
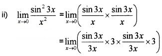
Answer:


= 1 × 3 × 1 × 3 = 9

iv) Put π – x = y, x → π, y → 0



vii) Put x – \(\frac{\pi}{2}\) = y, x → \(\frac{\pi}{2}\), y → 0

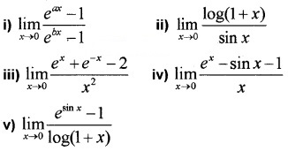
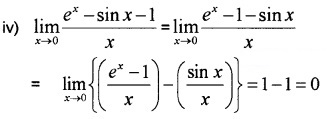
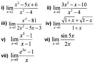
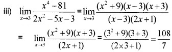
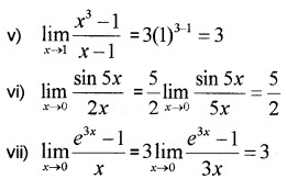
Question 4.
Evaluate the following: (3 score each)

Answer:






= \(\frac{1}{1}\) × 1 = 1.
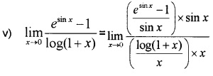
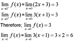
Question 5.
Find \(\lim _{x \rightarrow 0} f(x)\) and \(\lim _{x \rightarrow 1}\) f(x) where
f(x) = \(\left\{\begin{array}{cc}{2 x+3,} & {x \leq 0} \\{3(x+1),} & {x>0} \end{array}\right.\).
Answer:

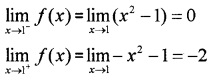
Question 6.
Find \(\lim _{x \rightarrow 1}\)f(x) where f(x) = \(\left\{\begin{array}{cc}
{x^{2}-1,} & {x \leq 1} \\{-x^{2}-1,} & {x>1}\end{array}\right.\).
Answer:

Therefore; \(\lim _{x \rightarrow 1^{-}}\)f(x) ≠ \(\lim _{x \rightarrow 1^{-}}\)f(x)
Hence \(\lim _{x \rightarrow 1^{-}}\)f(x) does not exist.
Question 7.
Evaluate

Answer:

Plus One Maths Limits and Derivatives Practice Problems Questions and Answers
Question 1.
Evaluate the following:(2 score each)

Answer:





Question 2.
Find the derivatives of the following: (2 score each)
- y = (x – d)(x – b)
- y = (ax2 + b)2
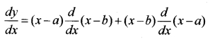
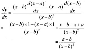
- y = \(\frac{x-a}{x-b}\)
- y = x-3(5 + 3x)
Answer:
1.

= (x – a) × 1 + (x – b) × 1
= x – a + x – b = 2x – a – b
2. y = a2x4 + b2 + 2abx2
\(\frac{d y}{d x}\) = 4a2x3 + 4abx.
3.

4. y = 5x-3 + 3x-2
\(\frac{d y}{d x}\) = 5(-3)x-3-1 + 3(-2)x-2-1
= -15x-4 – 6x-3
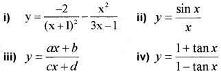
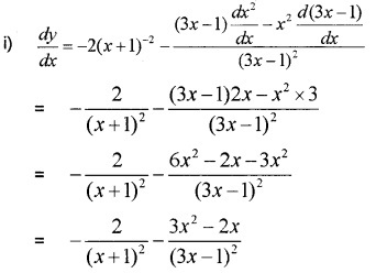
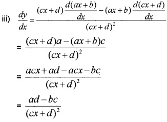
Question 3.
Find the derivatives of the following: (3 score each)

Answer:




Question 4.
If xy = c2 , prove that x2 \(\frac{d y}{d x}\) + c2 = 0.
Answer:
xy = c2 ⇒ y = \(\frac{c^{2}}{x}\)
Differentiating with respect to x;

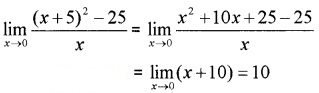
Question 5.
Evaluate: \(\lim _{x \rightarrow 0} \frac{(x+5)^{2}-25}{x}\).
Answer:

Question 6.
Find the derivative of f(x) = x sin x.
Answer:
f'(x) = x × cosx + sin x × 1 = xcosx + sinx.
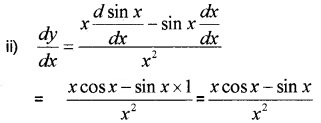
Question 7.
Find the derivative of f(x) = \(\frac{\sin x}{x}\).
Answer:

Question 8.
Evaluate \(\lim _{x \rightarrow 0} \frac{\sin a x}{b x}\).
Answer:
