Kerala Plus One Maths Chapter Wise Previous Questions Chapter 13 Limits and Derivatives
Plus One Maths Limits and Derivatives 3 Marks Important Questions
Question 1.
Find the derivative of y = tan x from first principles. (MARCH-2010)
Answer:

Question 2.
Choose the most appropriate answer from those given in the bracket (IMP-2010)

Answer:

Question 3.

(IMP-2010)
Answer:

Question 4.
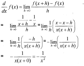
Using the first principle of derivatives, find the derivatives of \(\frac { 1 }{ x }\) (MARCH-2011)
Answer:

Question 5.
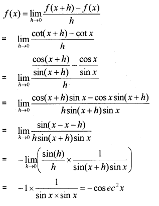
Using the quotient rule find the derivative mof f(x) = cot x (MARCH-2011)
Answer:

Question 6.
Find the derivatives of the following: (MARCH-2011)

Answer:

Question 7.
Prove that (MARCH-2012)

Answer:

Question 8.
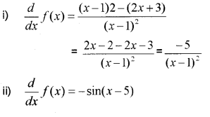
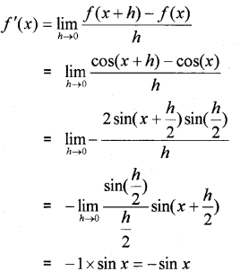
Find the derivative of y = cotx from first principles. (MARCH-2012)
Answer:

Question 9.
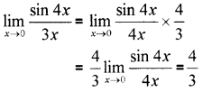
i) The value of \(\lim _{x \rightarrow 0} \frac{\sin x}{x}\) (MARCH-2013)
ii) Evaluate \(\lim _{x \rightarrow 0} \frac{\sin 4 x}{3 x}\)
Answer:
i) 1
ii)

Question 10.
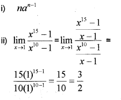
i) The value of \(\lim _{x \rightarrow a} \frac{x^{n}-a^{n}}{x-a}\) (MARCH-2013)
ii) Evaluate \lim _{x \rightarrow 1} \frac{x^{15}-1}{x^{10}-1}
Answer:

Question 11.
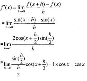
Find the derivative of f(x) = sin x from the first principle. (MARCH-2013)
Answer:

Question 12.
Find the derivative of \(\frac{x+\cos x}{\tan x}\) (MARCH-2014)
Answer:

Question 13.
Find the derivatives of f(x) = sinx using the first principle. (MARCH-2014)
Answer:

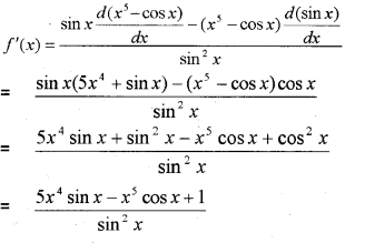
Question 14.
Find the derivative of \(\frac{x^{5}-\cos x}{\sin x}\) using the quotient rule. (MARCH-2014)
Answer:

Question 15.
Using the first principle, find the derivative of cosx . (IMP-2011)
Answer:

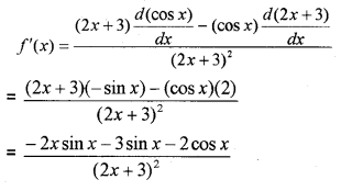
Question 16.
Find the derivative of \(\frac{\cos x}{2 x+3}\) (IMP-2012)
Answer:

Plus One Maths Limits and Derivatives 4 Marks Important Questions
Question 1.
Evaluate (MARCH-2010)

Answer:

Question 2.
(MARCH-2011)
Answer:

Question 3.
Compute the derivative of sec x with respect to x from first principle. (IMP-2010)
Answer:

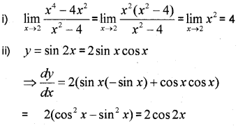
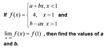
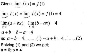
Question 4.
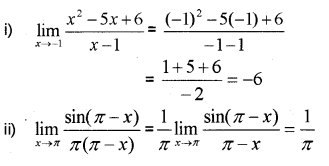
Find \(\lim _{x \rightarrow 2} \frac{x^{4}-4 x^{2}}{x^{2}-4}\) (IMP-2011)
ii) If y = sin 2x .Prove that \(\frac{d y}{d x}=\) = 2cos2x
Answer:

Question 5.

(IMP-2011)
Answer:

Question 6.
Find the derivative of y = cosec x from first principle. (IMP-2012)
Answer:

Question 7.
Find the derivative of y = cosec x from first principle. (IMP-2012)
Answer:

Question 8.
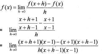
Find the derivative of \(\frac{x+1}{x-1}\) from first principle (IMP-2013)
Answer:


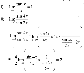
Question 9.
i) The value of \(\lim _{x \rightarrow 0} \frac{\sin 5 x}{5 x}\) (MARCH-2014)
ii) Evaluate \(\lim _{x \rightarrow 0} \frac{\sin a x}{\sin b x}, a, b \neq 0\)
Answer:
i) 1
ii)

Plus One Maths Limits and Derivatives 6 Marks Important Questions
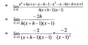
Question 1.
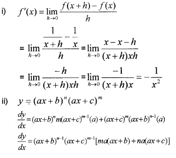
Find the derivative of \(\frac{1}{x}\) from first principle. (IMP-2010)
Find the derivative of
(ax + b)n (ax + c)m
Answer:

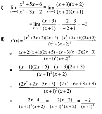
Question 2.
i) Find \(\lim _{x \rightarrow-2} \frac{x^{2}+5 x+6}{x^{2}+3 x+2}\) (IMP-2011)
ii) Find f ‘(x) given f(x) = \(\frac{x^{2}+5 x+6}{x^{2}+3 x+2}\)
Answer:

Question 3.
i) Evaluate \(\lim _{x \rightarrow 3}\left(\frac{x^{3}-27}{x^{2}-9}\right)\) (MARCH-2012)
ii) Evaluate \(\lim _{x \rightarrow 0} \frac{\tan x-\sin x}{\sin ^{3} x}\)
Answer:

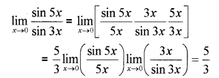
Question 4.
i) Evaluate \(\lim _{x \rightarrow 0} \frac{\sin 5 x}{\sin 3 x}\) (MARCH-2013)
ii) Find the derivate of y = cosx from the first principle.
Answer:
i)

ii)

Question 5.
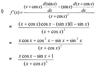
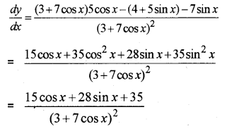
i) Find the derivative of \(\frac{\sin x}{x+\cos x}\) (MARCH-2014)
ii) Match the following:

Answer:


Question 6.
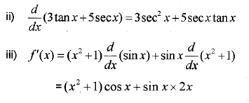
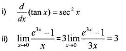
i) \(\frac{d}{d x}(\tan x)\) = ……… (IMP-2014)
ii) Find the derivative of 3 tan x + 5 sec x
iii) Find the derivative of /(x) = (x² + 1)sinx
Answer:


Question 7.
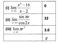
i) Match the following (MARCH-2015)

ii) Find the derivative of tanx using first principle.
Answer:


Question 8.
i) Match the following: (MARCH-2015)

ii)

Answer:

Question 9.

iii) Using first principles, find the derivative of cos x. (IMP-2015)
Answer:

iii)

Question 10.
i) Derivative of x² – 2 at x = 10 is (IMP-2016)
a) 10
b) 20
c) -10
d) -20

Answer:

Question 11.
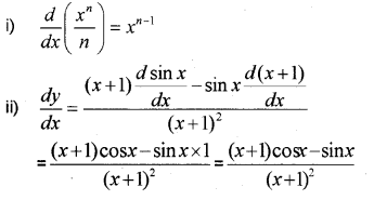
i) \(\frac{d}{d x}\left(\frac{x^{n}}{n}\right)\) = ………… (MARCH-2016)
ii) Differentiate \(y=\frac{\sin x}{x+1}\) with respect to x
iii) Use first principles, find the derivative of cosx.
Answer:

iii)

Question 12.
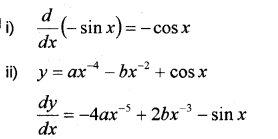
i) \(\frac{d}{d x}(-\sin x)\) = ………….. (MARCH-2016)
ii) Find\(\frac{d y}{d x}\) if \(y=\frac{a}{x^{4}}-\frac{b}{x^{2}}+\cos x\) where a, b are constants.
iii) Using first principles, find the derivative of sinx.
Answer:

iii)

Question 14.

iii) Using the first principle, find the derivative of cosx (MAY-2017)
Answer:

iii)

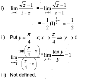
Question 15.

(MARCH-2017)
Answer:
i) cos x
ii)

iii)

Question 16.
i) \(\lim _{x \rightarrow 0} \frac{e^{\sin x}-1}{x}=\) …….(MARCH-2017)
a) 0
b) 1
c) 2
d) 3
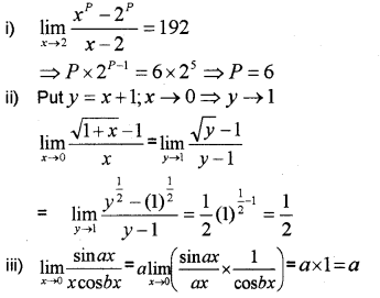
ii) Find
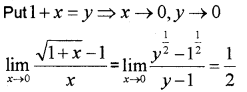
\(\lim _{x \rightarrow 0} \frac{\sqrt{1+x}-1}{x}\)
iii) Find the derivative of f(x) = sin x by using first principal.
Answer:
i) b) 1
ii)

iii)

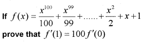
Plus One Maths Chapter Wise Previous Questions and Answer