Kerala Plus One Maths Chapter Wise Previous Questions Chapter 12 Introduction to Three Dimensional Geometry
Plus One Maths Three Dimensional Geometry 3 Marks Important Questions
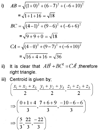
Question 1.
Consider the triangle with vertices (0,7,- 10), (1,6,- 6) and (4,9,- 6) (MARCH-2010)
i) Find the sides AB, BC and CA.
ii) Prove that the triangle is right triangle.
iii) Find the centroid of the triangle.
Answer:

Question 2.
i) Find the co-ordinates of the points which trisect the line segment joining the points P(4,0,1) and Q(2,4,0). (IMP-2010)
ii) Find the locus Of the set of points P such that the distance from A(2,3,4) is equal to twice the distance from B(-2,1,2).
Answer:
i)

Let R and S be two points which trisect the line join of PQ. Therefore PR = RS = SQ

Question 3.
i) Write the coordinate of the centroid of the triangle whose vertices are
(x1, y1, z1) ; (x1, y1, z1)and(x1, y1, z1) (IMP-2011)
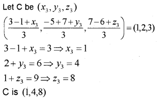
ii) If the centroid of the triangle ABC is (1,1,1) and A and B are (3,-5,7), (1,1,2) then find the coordinate of C.
Answer:

Question 4.
Given three points A(- 4,6,10), B(2,4,6) and C(14,0,- 2) (IMP-2012)
i) Find AB.
ii) Prove that the points A, B and C are collinear.
Answer:
i)

ii)

Question 5.
Name the octants in which the points A(1,6,- 6) and B(- 1,- 6,- 6). Find the distance between A and B. (IMP-2012)
Answer:
ASP A(1,6,- 6) and B(-1 ,-6,-6) in the octants XOYZ’ and X’OY’Z’ respectively.

Question 6.
i) If P is a point in YZ-plane, then its x coordinate is ………….. (IMP-2013)
ii) Find the ratio in which the YZ-plane divides the line segment formed by joining the points (-2,4,7) and (3,-5,8).
Answer:
i) Zero
ii) Let the ratio be kA. Since the point lies on the YZ plane, its x-coordinate. will be zero. Hence
![]()
Therefore the ratio is 2:3.
Question 7.
i) Find the distance between the points (2- 1,3) and (- 2,1,3) (MARCH-2013)
ii) Find the coordinate of the point which divides the line segment joining the points (- 2,3,5) and (1,- 4,6) internally in the ratio of 2:3.
Answer:

Question 8.
i) Name the octant in which the points (3,- 2,1) and (- 5,- 6,1) lie. (MARCH-2014)
ii) Find the distance between the points P(1,- 3,4) and Q(- 4,1,2).
(March(Commerce) – 2014)
Answer:
i) (3,-2,1) lie on octant XOYZ and (-5,-6,1) lie on octant X’OY’Z.
ii)

Question 9.
Find the centroid of the triangle with vertices (3,- 5,7), (- 1,7,- 6) and (1,1,2). (IMP-2010)
Answer:

= (1,1,1)
Question 10.
Show that the points (-2,3,5), (1,2,3) and (7,0,-1) are collinear. (IMP-2014)
Answer:

Question 11.
Find the coordinate of the points which divides the line segment joining the points (- 2,3,5) and (1,- 4,6) in the ration 2 : 3 internally. (IMP-2014)
Answer:
coordinate of the point is:

Question 12.
i) State whether the following is TRUE or FALSE. (MAY-2017)
“The point (4,-2,-5) lies in the eight octant.”
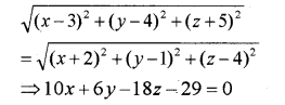
ii) Find the equation of the set of points such that its distances from the points A (3,4,- 5) and B (- 2,1,4) are equal.
Answer:
i) True
ii) PA = PB

Question 13.
i) The distance between the point (1,-2,3) and (4,1,2) is …………. (MARCH-2017)
(a) √2
(b) √19
(c) √11
(d) √15
ii) the centroid of the triangle ABC is at the point (1,2,3). If the coordinates of A and B are (3,- 5,7) and (- 1,7,- 6) respectively. Find the coordinates of the point C.
Answer:
i) (b) √19
ii)

Plus One Maths Three Dimensional Geometry 4 Marks Important Questions
Question 1.
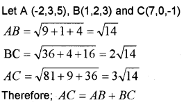
Consider the points A(- 2,3,5), B(1,2,3) and C(7,0,- 1) (MARCH-2011)
i) Using the distance formula, show that the points A, B and C are collinear.
ii) Find the ratio in which B divides the line segment AC.
Answer:

Question 2.
i) The x – coordinate of the point in the YZ plane is ………….. (MARCH-2013)
ii) Find the ratio in which the YZ plane divides the line segment joining the points (- 2,4,7) and (3,- 5,8).
Answer:
i) zero
ii) Let the ratio be k:1. Since the point lies on the YZ plane, its Xrcoordinate will be zero. Hence

Question 3.
i) Find the distance between the points (2,3,5) and (4,3,1). (MARCH-2014)
ii) Find the ratio in which the line segment joining the points A(4,8,10) and B (6,10,-8) is divided by the XY plane. (March (Science) – 2014)
Answer:

Question 4.
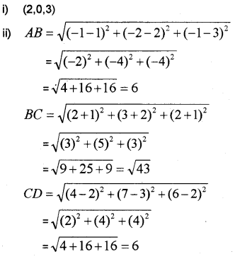
A point in the XZ plane is (MARCH-2015)
a) (1,1,1)
b) (2,0,3)
c) (2,3,0)
d) (-1,2,3)
ii) Show that the points A(1,2,3), B(- 1,- 2,- 1), C(2,3,2) and D(4,7,6) are the vertices of a parallelogram.
Answer:


Here; AB = CD and BC = DA, therefore ABCD is a parallelogram
Question 5.
i) Which of the following lies in the sixth octant? (MARCH-2016)
a) (- 3,- 2,- 2)
b) (- 3,1,- 2)
c) (3,- 1,2)
d) (3,- 1,-2)
ii) Find the ratio in which the YZ plane divides the line joining the points (- 2, 4, 7) and (3,- 5,8)
Answer:
i) b) (- 3,1,- 2)
ii) Let the ratio be k:1. Since the point lies on the YZ plane, its Xrcoordinate will be zero. Hence

Question 6.
i) Which one of the following points lies in the sixth octant? (IMP-2015)
a) (-4,2,-5)
b) (-4,-2,-5)
c) (4,-2,-5)
d) (4,2,5)
ii) Find the ratio in which the YZ plane divides the line segment formed by joining the points (-2,4,7) and (3,-5,8).
Answer:
i) a) (-4,2,-5)
ii) Let the line joining the points A(-2,4,7) and B(3,-5, 8) is divided by the yz-plane in the ratio k: 1.
Then the coordinate

Plus One Maths Three Dimensional Geometry 6 Marks Important Questions
Question 1.
i) If \(\left(\frac{5}{3}, \frac{22}{3}, \frac{-22}{3}\right)\) is the centriod of is the centroid of ∆PQR with vertices P(a,7,-10), Q(1,2b,-6) and R(4,9,3c), Find the value of a, b, c. (MARCH-2012)
ii) Prove that ∆PQR is isosceles.
Answer:
