ICSE Solutions for Class 10 Chemistry – Organic Chemistry
ICSE SolutionsSelina ICSE Solutions
APlusTopper.com provides ICSE Solutions for Class 10 Chemistry Chapter 11 Organic Chemistry for ICSE Board Examinations. We provide step by step Solutions for ICSE Chemistry Class 10 Solutions Pdf. You can download the Class 10 Chemistry ICSE Textbook Solutions with Free PDF download option.
Download Formulae Handbook For ICSE Class 9 and 10


Short Questions
Question 1: The list of some organic compound is given below:
Ethanol, ethane, methanol, methane, ethyne, and ethene.
From the list above, name a compound :
(i) Formed by the dehydration of ethanol by concentrated sulphuric acid.
(ii) Which will give red precipitate with ammoniacal cuprous chloride solution.
(iii) Which forms methanoic acid on oxidation in the presence of copper at 200°C.
(iv) Which has vapour density 14 and turns alkaline potassium permanganate green.
(v) Which forms chloroform on halogenation in the presence of sunlight.
(vi) Which decolourises bromine solution in carbon tetrachloride.
Answer: (i) Ethene. (ii) Ethyne.
(iii) Methane. (iv) Ethene.
(v) Methane. (vi) Ethene.
Question 2: Name the functional group of each of CH3OH, CH3COOH, CH3CHO.
Answer: Alcoholic – OH group present in CH3OH.
Carboxylic – COOH group present in CH3COOH.
Aldehydic – CHO group present in CH3CHO.
Question 3: The melting point of three members X, Y, and Z of a homologous series of hydrocarbons are -180°C, -140°C and -30°C respectively.
(i) Which one of the three would have the lowest number of carbon atoms in its molecule ? Justify your answer.
(ii) Which one of the three have the maximum number of carbon atoms in its molecule ? Justify your answer.
Answer: (i) The homologue with lower number of C-atoms in its molecule has lower melting point. Therefore, compound X has the lowest number of carbon atoms in its molecule. It is clear from the given values of melting points in which -180°C is lowest.
(ii) The homologue with maximum number of carbon atoms in its molecule has the highest melting point. Therefore, compound Z has the maximum number of carbon atoms in its molecules. It is clear from the given values of melting point in which 30°C is the highest of the three.
https://www.youtube.com/watch?v=YAjpntbbQ2w
Question 4: (i) Alkanes are called saturated hydrocarbons. Give a brief explanation, by taking the example of C2H6.
(ii) ‘Alkenes are unsaturated hydrocarbons’. Illustrate it, by taking the example of ethene (C2H4).
(iii) A comound has number of H atoms just double that of C atoms. What types of hydrocarbon is it ?
Answer: (i) Alkane are called saturated hydrocarbons because tetra-valency of each carbon atom is satisfied by single covalent bond.

(ii) Ethene (C2H4) is an unsaturated hydrocarbon, commonly known as alkene. Ethene molecule contains two carbon atoms bonded by double bond.

(iii) The compound is an unsaturarted hydrocarbon having general formula CnH2n. So, this compound is an alkene.
Question 5: (i) In the general formula CnH2n+2 write the meaning of n and 2n + 2.
(ii) Write the formulae and names of the first four members of the alkane family.
(iii) Write the molecular formula of an alkane, which is composed of 16H atoms.
(iv) In a molecule of saturated hydrocarbon the number of C-atoms is 5, what is the number of H-atoms ?
Answer: (i) The number of alkane family represents the general formula CnH2n+2.
In this formula: n = number of carbon atoms in the same molecule of alkane.
2n + 2 = number of H-atoms in a molecule of alkane.
(ii) CH4 (methane), C2H6 (ethane), C3H8 (propane), C4H10 (butane).
(iii) C7H16 (Heptane). [∵2n + 2 = 16, 2n = 16 – 2, 2n = 14, n = 14/2 = 7].
(iv) According to general formula C4H2n+2 when n = 5, C5H2 x 5+2 or C5H10+2 or C5H12. Thus, the number of hydrogen atom is 12.
https://www.youtube.com/watch?v=nsggKuxlYHw
Question 6: The molecules of alkene family are represented by a general formula CnH2n. Now answer the following:
(i) What do n and 2n signify ?
(ii) What is the lowest value which can be assigned to n ?
(iii) What is the molecular formula of alkene, when n = 4 ?
(iv) What is the structural formula of the first member of the alkene family ?
Answer: (i) n = Number of C- atoms in a molecule of alkene.
2n = Number of H-atoms in a molecule of alkene.
(ii) The lowest value of n is 2.
(iii) Butene (C4H6).
(iv) The first member of alkene family is C2H4. It is called ethene, the structural formula is :

Question 7: (i) Which compound should be heated with sodalime to obtain ethane gas in the laboratory ?
(ii) Write the equation for the reaction in (i) above.
(iii) Write a balanced equation for the complete combustion of ethane.
(iv) Name a solid which can be used instead of concentrated sulphuric acid to prepare ethylene by the dehydration of ethanol.
(v) Ethylene forms an addition product with chlorine. Name this addition product and write its structural formula.
Answer: (i) Sodium propionate.

Question 8: (i) Write the equation, for the preparation of ethylene from ethyl alcohol.
(ii) Write the general formula of a saturated hydrocarbon and give one example of a saturated hydrocarbon with its structural formula.
(iii) Name a compound, which will give acetylene gas, when treated with water.
Answer:

(iii) Calcium carbide.
Question 9: (i) Ethane and chlorine react together to form monochloroethane [ethyl chloride].
(a) Write down the structural formula of ethane.
(b) What type of reaction has taken place between ethane and chlorine ?
(ii) The type of reaction between ethene and chlorine is different from that between.ethane and chlorine.
(a) What is the type of reaction between ethene and chlorine.
(b) What feature of the ethene structure makes such reaction possible ?
(c) Name the product of the reaction between ethene and chlorine.
(iii) Ethane bums completely in air or oxygen to give carbon dioxide and water vapours. With a limited supply of air or oxygen, carbon monoxide is farmed. The same gases are found in automobile exhaust gases. Both gases can be considered as atmospheric pollutants.
(a) Write the equation for the complete combustion of ethane.
(b) What danger is associated with carbon monoxide ? .
(c) What effect is associated with too much carbon dioxide in the atmosphere ?
(d) Burning of acetylene [Ethyne] in oxygen, under appropriate conditions, produces a very hot flame. What is this hot flame used for ?
Answer: (i) (a) The structural formula of ethane is given by

(b) Substitution reaction takes place in between ethane and chlorine.
![]()
(ii) (a) Addition reaction takes place in between ethene and chlorine.

(b) Ethene is an unsaturated hydrocarbon [Alkene], containing double covalent bonds, which respond to the addition reaction.
(c) Ethene combines with chlorine to form 1: 2 dichloroethane [Ethylene dichloride]
(iii) (a) Ethane bums in atmospheric oxygen to form carbon dioxide and steam [water].
![]()
(b) Carbon monoxide is a highly poisonous gas. It readily combines with haemoglobin of blood to form carboxy haemoglobin. Carboxy haemoglobin is a stable compound and is incapable of taking up the oxygen from the inhaled air and as a result, people die due to suffocation.
(c) Greenhouse effect or global warming is associated with too much carbon dioxide in the atmosphere.
(d) This hot flame is used for welding and cutting of steel.
Question 10: Indicate the type of reaction that occurs when :
(i) Ethane reacts with chlorine.
(ii) Ethene reacts with chlorine.
(iii) What type of reaction is common in C2H4 and C2H2 ?
(iv) What is formed when ethene reacts with steam at 300°C in the presence of phosphoric acid as catalyst ?
(v) Name a solid which on reaction with water forms :
(a) methane (b) ethyne (acetylene)
(vi) Give the names of each of the following compounds :

Answer: (i) Substitution reaction. (ii) Addition reaction.
(iii) Addition reaction. (iv) Ethanol.
(v) (a) Aluminium carbide (b) Calcium carbide.
(vi) (a) Butane (b) Ethylene (Ethene) (c) Acetylene (Ethyne).
Question 11: (i) Experimentally, how can poly chlorination of methane be minimized ?
(ii) What are the conditions required for the addition of hydrogen to ethene ?
(iii) Which catalyst is used for the addition of hydrogen to ethene at room temperature ?
(iv) Write the names of all the possible organic products in the reaction of methane with chlorine.
Answer: (i) If excess of methane over chlorine is used, the chance of chlorine reacting with methane is greatest than with any other of the formed chloromethane.
(ii) Addition of hydrogen to ethene occurs at 300°C in the presence of nickel (Ni) catalyst.
(iii) Palladiurh (Pd) or Platinum (Pt) are used as catalyst at room temperature for the addition of hydrogen.
(iv) The main products is methyl chloride (CH3Cl), (CH2Cl2) dichloro methane; (CHCl3) trichloro methane, (CCl4) and tetra chloromethane.
Question 12: How does ethene gas react with the following :
(i) Hydrogen, (ii) Halogen acid, (iii) Sulphuric acid, (iv) Bromine, (v) Alkaline potassium per manganate, (v) HCl gas.
Answer: (i) When a mixture of ethene and hydrogen are passed over heated catalyst (Ni, Pd or Pt), an addition reaction takes place with the formation of ethane, a saturated hydrocarbon.

(ii) When vapours of ethene and hydrobromic acid are mixed at room temperature, they react to form addition product, bromoethane.

(iii) When ethene is passed through cone, sulphuric acid, an addition reaction takes place at room temperature with the formation of ethyl hydrogen sulphate.

(iv) When bromine is passed through the inert solution of ethene, an addition reaction takes place with the formation of 1, 2, dibromoethane.

(v) Ethene reacts with alkaline potassium permanganate solution to form glycol.

(vi) Ethene reacts with HCl to form ethane glycol monochloride.

Question 13: Illustrate the following :
(i) Thermal cracking (ii) Catalytic cracking
(iii) Substitution reactions.
Answer: (i) Thermal Cracking: Breaking of higher hydrocarbons into smaller hydrocarbons on heating,, in absence of air, is called thermal cracking.

(ii) Catalytic Cracking: The breaking of higher hydrocarbons into smaller hydrocarbons, by heating under pressure, in the presence of suitable catalysts, is called catalytic cracking:

(iii) In the presence of diffused light or ultraviolet rays, an atom of hydrogen from the hydrocarbon is substituted by an atom of halogen (Cl, Br, I). These are called substitution reactions.
e.g. : When ethane reacts with chlorine, all the hydrogen atoms are replaced by chlorine atom and substitution products are obtained.

Question 14: (i) The alkenes having how many carbon atoms are in liquid state at normal temperature ?
(ii) The alkenes having how many carbon atoms are in solid state at normal temperature ?
Answer: (i) The alkenes having six to seventeen carbon atoms are in liquid state at normal temperature.
(ii) The alkenes having eighteen or more carbon atoms are in solid state at normal temperature.
Question 15: (i) What is the type of reaction taking place between ethane and chlorine to form monochlorethane ?
(ii) The reaction between ethene and chlorine forms only one product. Name the type of this reaction.
(iii) (1) Draw the structural formula of ethene.
(2) What is the feature of the ethene structure, which allows ethene to react with chlorine in the way it does ?
Answer: (i) Substitution Reaction.
(ii) Addition Reaction.
(iii) (1)

(2) Unsaturated hydrocarbon with double bond.
Question 16: Compound A is bubbled through bromine dissolved in carbon tetrachloride and the product is CH2Br-CH2Br.
![]()
(i) Draw the structural formula of A.
(ii) What type of reaction has A Undergone ?
(iii) What is your observation ?
(iv) Name (not formula) the compound formed when steam reacts with A in the presence of phosphoric acid.
(v) What is the procedure for converting the product of (b)(iv) back to A ?
Answer:

(ii) Addition reaction.
(iii) Bromine solution gets decolourised.
(iv) Ethanol
(v) By heating it (ethanol) with concentrated sulphuric acid at 170°C.
Question 17: (i) Give the names and structural formulae of:
(a) An alkane with a carbon to carbon single bond.
(b) An unsaturated hydrocarbon with a double bond.
(ii) (a) Write the equation, for the laboratory preparation of ethvne (acetylene) from calcium carbide.
(b) What is the special feature of the structure of ethyne ?
(iiii) Name the addition product formed between ethene and water.
Answer: (i)

(b) Ethyne is highly reactive because of presence of one triple bond between two carbon atoms.
(iii) Ethylene glycol.
Question 18: (i) A compound ‘X’ reacts with compound ‘Y’ in presence of lime to form a ‘Z’. It is insoluble in water.
(a) Name the compound X and Y. (b) Name the gas Z.
(c) Write only balanced chemical equation.
(ii) (a) Name the product of the reaction between ethene and chlorine.
(b) Burning acetylene in oxygen, under appropriate conditions, produces a very hot flame. For what purpose, this hot flame is used ?
Answer: (i) (a) X — Sodium ethanoate.
Y — Sodium hydroxide.
(b) Z — Methane (CH4).
![]()
(ii) (a) Ethene dichloride.
(b) For welding.
Question 19: (i) What word is used to describe these three compounds taken together ?
(ii) What is the special feature of the structure of:
(a) C2H4 (b) C2H2
(iii) What type of reaction is common in both of these compounds ?
(iv) Flow is acetylene filled in commercial gas cylinders ?
Answer: (i) Organic compounds.
(ii) (a) C2H4 contains a double bond between two carbon atoms.
(b) C2H2 contains a triple bond between two carbon atoms.
(iii) Addition reaction.
(iv) The commercial gas cylinders of acetylene contain a solution of acetylene in acetone. The cylinder contains a porous material into which the acetone and acetylene are absorbed. The pressure in a freshly filled cylinder of acetylene is about 15 atmosphere.
Question 20: Acetylene can be converted to benzene by suitable temperature and catalyst.
(i) State the temperature and catalyst.
(ii) What type of reaction has taken place ?
(iii) Write down the equation involved.
Answer: (i) 600° C in presence of copper tube.
(ii) Polymerisation reaction.
(iii)![]()
Question 21: (i) (a) A compound has triple bond in its molecule and has only two carbon atoms with two hydrogen atoms. Name the compound.
(b) What is hydrogenation ?
(c) What is halogenation ?
(d) What ‘substitution reaction’ and ‘substitution product’.
(e) What is ‘pyrolysis’ ? What is the other term signifying the same ?
(ii) State the conditions required for the following reactions to take place :
(a) Catalytic hydrogenation of ethyne.
(b) Preparation of ethyne from ethylene dibromide.
Answer: (i) (a) Acetylene H-C ≡ C-H. Or Acetylene.
(b) Addition of hydrogen to some unsaturated hydrocarbons is called hydrogenation.
(c) Addition of halogens (Cl, Br, I) to some unsaturated hydrocarbons is called halogenation.
(d) A substitution reaction is one in which one atom in a molecule is replaced by another atom (or group of atoms). The product of a substitution reaction is known as a substitution product.
(e) Decomposition of alkanes by heat is called pyrolysis. Another term signifying the same is cracking.
(ii) (a) In presence of catalyst like finely divided nickel, platinum, heating upto 473 K.
(b) Hot and concentrated alcoholic solution of potassium hydroxide.
Question 22: A hydrocarbon decolourises KMnO4 solution but does not form any precipitate with ammoniacal AgNO3. Now answer the following questions :
(i) Is the hydrocarbon saturated or unsaturated ?
(ii) What is the type of bonds between two carbon atoms ?
(iii) Does the hydrocarbon belong to alkane, alkene or alkyne family ?
(iv) What will be the change on adding a few drops of bromine solution in a test tube filled with this hydrocarbon ?
Answer: (i) Unsaturated.
(ii) Double bond between two carbon atoms.
(iii) Alkene family.
(iv) Ethene decolourises the solution of bromine in carbon tetrachloride and dibromo-ethane is formed

Question 23: State two uses of ethane and methane.
Answer: Uses of ethane:
(i) Liquified ethane is used as a fuel in automobiles.
(ii) It is used in the manufacture of organic compounds such as acetic acid, ethyl alcohol etc.
Uses of Methane:
(i) It is used on industrial scale for the preparation of hydrogen by the process of pyrolysis, (ii) It is used in the manufacture of industrial compounds such as carbon tetrachloride, chloroform, formic acid etc.
Question 24: State two uses of ethylene and acetylene.
Answer: Uses of ethylene :
(i) It is used in the manufacture of polyethylene which is a valuable plastic.
(ii) It is used in the artificial ripening of fruits.
Uses of acetylene:
(i) It is used in oxyacetylene flame which is used for cutting and welding of metals.
(ii) It is used in the manufacture of acetaldehyde, acetic acid etc.
Figure/Table Based Questions
Question 1: Methane is the first member of alkane, when it is treated with excess of chlorine in the presence of diffused sunlight forms carbon tetrachloride. Draw the appropriate structural formula of carbon tetrachloride and state the type of bond present in it.
Answer:

Structural formula of CCl4. The type of bond present in CCl4 is covalent bond.
Question 2: The figure given below is showing the laboratory preparation of acetylene gas.

(i) How it is prepared in the laboratory ?
(ii) What is the function of acidified copper sulphate solution ?
(iii) Give a reaction in which acetylene gas is prepared by synthesis reaction.
(iv) What happens when acetylene is heated in a copper tube at 600°C ?
Answer: (i) Laboratory preparation of acetylene gas (ethyne gas) : When calcium carbide is treated with water, it forms calcium hydroxide, with the liberation of acetylene.

(ii) Acidified CuSO4 solution is used to absorb impurities of phosphene hydrogen sulphide, ammonia etc.

(iv) Acetylene will polymerise in the copper tube to form benzene.

Question 3: Copy and complete the following table which relates to three homologous series of Hydro-carbons :

Answer:

Reasoning based Questions
Question 1: Hydrocarbons are excellent fuels. Give reason.
Answer: Hydrocarbons are excellent fuels because they ignite easily at low temperature and liberate large amount of heat without producing harmful products.
Question 2: Why alkanes are so inert ?
Answer: It is because in a molecule, a reactive site has one or more unshared pairs of. electrons and a polar bond or an electron deficient atom. Alkanes have none of these.
Question 3: Why alkanes are insoluble in water ?
Answer: Alkanes are insoluble in water because alkanes are called hydrophobic hydrocarbons. They have phobia for water. These are insoluble because these cannot make hydrogen bonds with water molecules.
Question 4: Methane is called as marsh gas. Why ?
Answer: Because methane is formed by the decomposition of plant and animal matter lying under water in marshy areas.
Question 5: Methane does not undergo addition reactions, but ethene does. Why ?
Answer: Because methane is saturated hydrocarbon while ethene is an unsaturated hydrocarbon. Addition reactions are characteristic properties of unsaturated hydrocarbons.
Question 6: Why it is dangerous to bum methane in an insufficient supply of air ?
Answer: Because it will form carbon monoxide which is poisonous for human beings as it cuts off the oxygen supply by forming carboxy haemoglobin in the blood.
Question 7: Why light or heat is necessary for chlorination of alkanes ?
Answer: The Cl-Cl bond must be broken to form Cl radicals, before the chlorination of alkanes can commence. The breaking of bond requires energy which is supplied either by heat or light.
Question 8: Ethene undergoes addition reactions with halogens whereas ethane undergoes substitution reactions. Why ?
Answer: Ethene is an unsaturated hydrocarbon so, it adds up a molecule of halogen to give a saturated compound, whereas, ethane is a saturated hydrocarbon compound and hence, can only undergo substitution reaction with halogen.

Question 9: Alkynes are unsaturated hydrocarbons. Give reason.
Answer: Alkynes have triple bonds, so they are unsaturated hydrocarbon.
Question 10: Why ethyne is more reactive than ethane ?
Answer: Ethyne is an unsaturated hydrocarbon with a triple covalent bond. Ethane is a saturated hydrocarbon and hence is less reactive than ethyne.
Question 11: Acetylene bums with sooty flame. Why ?
Answer: Acetylene has higher proportion of carbon and all carbon in it does not burn completely. Hence, unburnt carbon particles make the flame sooty.
Question 12: Why pure acetic acid known as glacial acetic acid ?
Answer: Because on cooling below its melting point (17°C) it solidifies and forms little ice-like crystals.
Chemical Tests
Question:
1. Ethene and ethane.
2. Ethyne and ethane.
3. Alkanes, alkenes and alkynes.
Answer:
1. Ethene gas decolourises bromine solution and potassium permanganate solution. But, ethane gas does not change the colour of these solutions.
2. Ethyne gas forms a white precipitate with ammonical solution of silver nitrate and red ppt. with ammonical solution of copper (I) chloride. But, ethane does not respond to such tests.
3.
S.No. | Test | Alkanes | Alkenes | Alkynes |
(i) | Bromine Test Add a few drops of sol. of bromine in carbon tetra-chloride to the hydrocarbon. | No change takes place. | The red colour of bromine is decolorised. | The red colour of bromine is decolorised. |
(ii) | Alkaline Potassium Permanganate Test: Add a few drops of alkaline pot. permanganate sol. To the hydrocarbon. | No change takes place. | The purple colour of Potassium permanganate is decolorised. | The purple colour of potassium permanganate is decolorised. |
| (iii) | Ammoniacal Cuprous Chloride Test: Add a few drops of ammoniacal cuprous chloride sol. to thehydrocarbon. | No change takes place. | No change takes place. | A red ppt. of copper acetylide is formed.
|
Balancing/Writing the Chemical Equations
Question 1:
1. Monochioro ethane is hydrolysed with aqueous KOH.
2. A mixture of sodalime and sodium acetate is heated.
3. Ethanol under high pressure and low temperature is treated with acidified potassium dichromate.
4. Water is added to calcium carbide.
5. Ethanol reacts with sodium at room temperature.
6 Reaction between 4, 2-dibromoethane and alcoholic potassium hydroxide.
7, Preparation of ethane from sodium propionate.
8. Preparation of ethanol from monochioroethane and aq. sodium hydroxide.
9. A saturated hydrocarboñ fròm iodomethane.
10. An unsaturated hydrocarbon from an alcohol.
Il. An unsaturated hydrocarbon from calcium carbide.
12. An alcohol from ethyl bromide.
13. Reaction between ethyl alcohol and acetic acid.
14. Reaction of chlorine with excess of methane.
15. Addition of chlorine to ethene at ordinary temperature.
16. Burning of ethanol in air.
17. Preparation of ethane from Sodium propionate.
18. Preparation of ethene from lodoethane.
19. Preparation of ethyne from Calcium carbide.
20. Preparation of methanol from lodomethane.
21. A mixture of methane and oxygen is heated in the presence of metallic oxide;
22. A mixture of methane and air is heated at 400°C.
23. Excess chlorine react with methane.
24. Excess chlorine react with ethane.
Answer:


Question 2: How will you bring about the following conversion?
1. Methane to methyl chloride. 2. Methane to methyl alcohol.
3. Methane to formaldehyde. 4. Methane to formic acid.
5. Ethane to ethyl chloride. 6. Ethane to ethyl alcohol.
7. Ethane to acetaldehyde. 8. Ethane to acetic acid.
9. Ethane to ethene. 10. Ethyne to ethene.
11. Ethene to ethane. 12. Ethyne to ethane.
13. Methane to formic acid. 14. Ethane to Acetic acid.
15. Ethane to hexachioroethane
Answer:
1. When a mixture of methane and chlorine in the ratio of 1 : 1 by volume is exposed to diffused sunlight, methyl chloride is formed.
![]()
2. Methane, is first converted into methyl chloride by chlorination, in the presence of diffused sunlight. Methyl chloride on hydrolysis forms methyl alcohol.

3. Methyl alcohol obtained from above is subjected to oxidation with sodium dichromate and dilute sulphuric acid to form formaldehyde.

4. Formaldehyde obtained from above, when subjected to oxidation with sodium dichromate and dilute sulphuric acid, forms formic acid.

4. When equal volumes of ethane and chlorine are exposed to diffused sunlight, they react to form ethyl chloride (monochloro ethane).
![]()
5. When equal volumes of ethane and chlorine are exposed to diffused sunlight, they form ethyl chloride, which when treated with aqueous solution of potassium hydroxide (KOH), undergoes hydrolysis to form ethyl alcohol.

6. Ethane is first converted to ethyl chloride by chlorination. Ethyl chloride undergoes hydrolysis, when treated with aqueous solution of potassium hydroxide, resulting in the formation of ethyl alcohol. Ethyl alcohol undergoes oxidation in the presence of sodium dichromate, acidified with dilute sulphuric acid, which provides nascent oxygen and oxidise ethyl alcohol to acetaldehyde (ethanol).

7. Acetaldehyde,when-subjected to oxidation with sodium or potassium dichromate and dilute sulphuric Acid, gets oxidized to form acetic acid.

8. Ethane on chlorination forms ethyl chloride which when treated with alcoholic KOH, undergoes, dehydro chlorination to form ethene.


IUPAC Naming/ Writing the Structural Formula
Question 1:
Give the structural formula of the following :
| 1. | Ethanol. | 2. | 1-propanal |
| 3. | Ethanoic acid | 4. | 1, 2, dichloroethane |
| 5. | An isomer of n-butane | 6. | 2-propanol |
| 7. | Diethyl ether | 8. | Methanoic acid |
| 9. | Ethanal | 10. | Ethyne |
| 11. | Acetone | 12. | 2-methyl propane |
| 13. | Ethanoic acid | 14. | But-2-yne |
| 15. | Two isomers of Butane | 16. | Ethane |
| 17. | Vinegar | 18. | Marsh gas |
| 19. | An alcohol | 20. | 2-Butyne |
Answer:



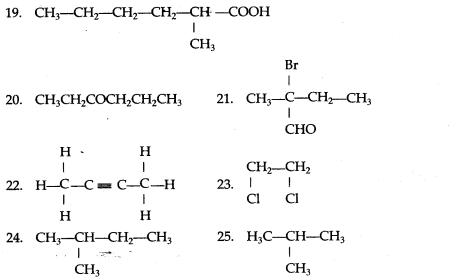
Question 2: Give the correct IUPAC name structural formulae given below:


Answer:
| 1. | Propanal | 2. | Propan-1-ol |
| 3. | Propyne | 4. | Pentan-3-ol |
| 5. | 2-methyl propane, | 6. | Ethanoic acid |
| 7. | 1, 2-dichloroethane | 8. | 2-Chloro hex-5-yn-1-al |
| 9. | 3-methyl-but-3-en-1-ol | 10. | 1-chloro-2methyl propane |
| 11. | 2,4-dimethyl-pentan-3-one | 12. | 2-methoxy-4-pentan-3-one |
| 13. | 2-chloro-3-hydroxy propanal | 14. | Ethanedioic acid |
| 15. | Pent-1-en-4-yne | 16. | Pent-3-en-1-yne |
| 17. | Propane-1-ol | 18. | Pentan-2-one |
| 19. | 2-Methyl Pentanoic acid | 20. | Hexan-3-one |
| 21. | 2-Bromo, 2-methyl butanol | 22. | But-2-yne |
| 23. | 1,2,-dichloro ethane . | 24. | 2-methyl butane |
| 25. | 2-methyl propane |
Question 3: Give the formula of the next highest homologue of:
1. Methanol 2. Ethane
3. Ethene 4. Ethyne
5. Propyl 6. Methanoic acid
Answer:

For More Resources