NCERT Solutions for Class 10 Maths Chapter 7 Coordinate Geometry Ex 7.1 are part of NCERT Solutions for Class 10 Maths. Here are we have given Chapter 7 Coordinate Geometry Class 10 NCERT Solutions Ex 7.1.
Here you get the CBSE Class 10 Mathematics Chapter 7 Coordinate Geometry Ex 7.1: We are provides free comprehensive chapter wise class 10 Mathematics notes with proper images & diagram. Here you will find all the answers to the NCERT textbook questions of Chapter 7 Coordinate Geometry Ex 7.1
- Coordinate Geometry Class 10 Ex 7.2
- Coordinate Geometry Class 10 Ex 7.3
- Coordinate Geometry Class 10 Ex 7.4
| Board | CBSE |
| Textbook | NCERT |
| Class | Class 10 |
| Subject | Maths |
| Chapter | Chapter 7 |
| Chapter Name | Coordinate Geometry |
| Exercise | Ex 7.1 |
| Number of Questions Solved | 10 |
| Category | NCERT Solutions |
NCERT Solutions for Class 10 Maths Chapter 7 Coordinate Geometry Ex 7.1
NCERT Solutions for Class 10 Maths
Chapter 7 Coordinate Geometry
Page No: 161
Question 1.
Find the distance between the following pairs of points:
(i) (2, 3), (4, 1) (ii) (−5, 7), (−1, 3) (iii) (a, b), (− a, − b)
Solution:

Concept Insights: In the ordered pair (a, b) order is important coordinate a represent x coordinate and b represent y coordinate
Question 2.
Find the distance between the points (0, 0) and (36, 15).
Solution:
Distance between points (0,0) and (36,15)
Now Distance between two points (x1,y1) and (x2,y2) is given by

Question 3.
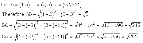
Determine if the points (1, 5), (2, 3) and (-2, -11) are collinear.
Solution:
Three points are collinear if they lie on a line i.e one point lies in between any other two points.

Here sum of the distances of any two points is not equal to third point
Therefore points (1, 5), (2, 3) and (-2, -11) are not collinear.
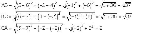
Question 4. Check whether (5, – 2), (6, 4) and (7, – 2) are the vertices of an isosceles triangle.
Solution:
Three non collinear points will represent the vertices of an isosceles triangle
if its two sides are of equal length.

Here AB = BC
As two sides are equal in length therefore ABC is an isosceles triangle.
Question 5. In a classroom, 4 friends are seated at the points A, B, C and D as shown in the following figure. Champa and Chameli walk into the class and after observing for a few minutes Champa asks Chameli, “Don’t you think ABCD is a square?” Chameli disagrees.

Solution:
From the figure coordinates of points A,B,C and D are
A = (3,4), B = (6,7), C = (9,4), D = (6,1)

Here, all sides of this square are of same length and also diagonals are of same length. So, ABCD is a square and hence Champa was correct.
Concept Insight: For the Vertices of square all sides & both the diagonals are equal.
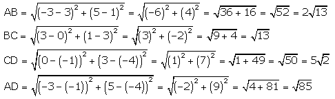
Question 6. Name the type of quadrilateral formed, if any, by the following points, and give reasons for your answer:
(i) (- 1, – 2), (1, 0), (- 1, 2), (- 3, 0)
(ii) (- 3, 5), (3, 1), (0, 3), (- 1, – 4)
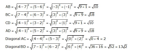
(iii) (4, 5), (7, 6), (4, 3), (1, 2)
Solution:
(i). Let A= (—1,—2),B= (1,O),C= (—1,2),D(—3,O)

(ii)Let A=(—3,5),B=(3,1),C=(O,3),D=(—1,—4)

Here, all sides of this quadrilateral are of same length and also diagonals are of same length. So, given points are vertices of a square.
(iii) Let A = (4, 5), B = (7, 6), C = (4, 3), D = (1, 2)

Here opposite sides of this quadrilateral are of same length but diagonals are of different length. So, given points are vertices of a parallelogram.
Concept Insight: Recall the properties of various quadrilaterals.
Question 7. Find the point on the x-axis which is equidistant from (2, – 5) and (- 2, 9).
Solution:
We have to find point on x axis. So, its y coordinate will be O.
Let point on x-axis be (x, O)

Question 8. Find the values of y for which the distance between the points P (2, – 3) and Q (10, y) is 10 units.
Solution:
Given that distance between (2,-3) and (10,y) is 10

Concept Insight: Any point on y axis will have x coordinate.
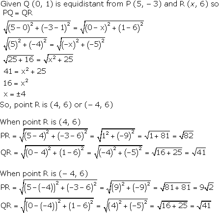
Question 9. If Q (0, 1) is equidistant from P (5, – 3) and R (x, 6), find the values of x. Also find the distance QR and PR.
Solution:

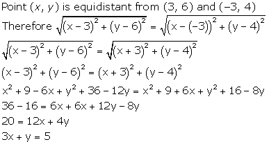
Question 10. Find a relation between x and y such that the point (x, y) is equidistant from the point (3, 6) and (- 3, 4).
Solution:

NCERT Solutions For Class 10 Maths – AplusTopperhttps://t.co/q7hSKh3xmf#NCERTSolutionsForClass10Maths #NCERTSolutions #AplusTopper
— ObulReddy cbse (@ObulReddyCBSE) August 3, 2018
We hope the NCERT Solutions for Class 10 Maths Chapter 7 Coordinate Geometry Ex 7.1 help you. If you have any query regarding NCERT Solutions for Class 10 Maths Chapter 7 Coordinate Geometry Ex 7.1, drop a comment below and we will get back to you at the earliest.