NCERT Solutions for Class 10 Maths Chapter 13 Surface Areas and Volumes Ex 13.5 are part of NCERT Solutions for Class 10 Maths. Here are we have given Chapter 13 Surface Areas and Volumes Class 10 NCERT Solutions Ex 13.5.
- Surface Areas and Volumes Class 10 Ex 13.1
- Surface Areas and Volumes Class 10 Ex 13.2
- Surface Areas and Volumes Class 10 Ex 13.3
- Surface Areas and Volumes Class 10 Ex 13.4
| Board | CBSE |
| Textbook | NCERT |
| Class | Class 10 |
| Subject | Maths |
| Chapter | Chapter 13 |
| Chapter Name | Surface Areas and Volumes |
| Exercise | Ex 13.5 |
| Number of Questions Solved | 6 |
| Category | NCERT Solutions |
NCERT Solutions for Class 10 Maths Chapter 13 Surface Areas and Volumes Ex 13.5
NCERT Solutions for Class 10 Maths
Question 1.
A copper wire, 3 mm in diameter is wound about a cylinder whose length is 12 cm, and diameter 10 cm, so as to cover the curved surface of the cylinder. Find the length and mass of the wire, assuming the density of copper to be 8.88 g per cm3.
Solution:

Question 2.
A right triangle, whose sides are 3 cm and 4 cm (other than hypotenuse) is made to revolve about its hypotenuse. Find the volume and surface area of the double cone so formed.
Solution:



Question 3.
A cistern measuring 150 cm x 120 cm x 110 cm has 129600 cm3 water in it. Porous bricks are placed in the water until the cistern is full to the brim. Each brick absorbs one seventeenth of its own volume of water. How many bricks can be put in without overflowing the water, each brick being 22.5 cm x 7.5 cm x 6.5 cm?
Solution:

Question 4.
An oil funnel made of tin sheet consists of a 10 cm long cylindrical portion attached to a frustum of a cone. If the total height is 22 cm, diameter of the cylindrical portion is 8 cm and diameter of the top of the funnel is 18 cm, find the area of the tin sheet required to make the funnel.

Solution:

Question 5.
Derive the formula for the curved surface area and total surface area of the frustum of cone, using the symbols as explained.
Solution:



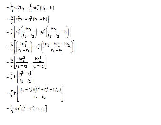
Question 6.
Derive the formula for the volume of the frustum of a cone, given to you, using the symbols as explained.
Solution:


We hope the NCERT Solutions for Class 10 Maths Chapter 13 Surface Areas and Volumes Ex 13.5 help you. If you have any query regarding NCERT Solutions for Class 10 Maths Chapter 13 Surface Areas and Volumes Ex 13.5, drop a comment below and we will get back to you at the earliest.