How to Multiply Matrices

Multiplication of matrices
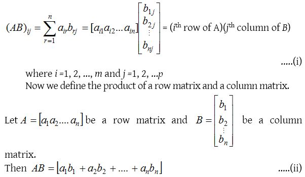
Two matrices A and B are conformable for the product AB if the number of columns in A (pre-multiplier) is same as the number of rows in B (post multiplier). Thus, if A = [aij]m×n and B = [bij]n×p are two matrices of order m × n and n × p respectively, then their product AB is of order and is defined as

Thus, from (i), (AB)ij = Sum of the product of elements of ith row of A with the corresponding elements of jth column of B.
Properties of matrix multiplication
If A,B and C are three matrices such that their product is defined, then
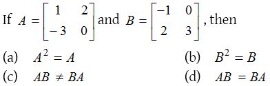
- AB ≠ BA, (Generally not commutative)
- (AB)C = A(BC), (Associative Law)
- IA = A = AI, where I is identity matrix for matrix multiplication.
- A(B + C) = AB + AC, (Distributive law)
- If AB = AC ⇏ B = C, (Cancellation law is not applicable)
- If AB = 0, it does not mean that A = 0 or B = 0, again product of two non zero matrix may be a zero matrix.
Scalar multiplication of matrices
Let A = [aij]m×n be a matrix and k be a number, then the matrix which is obtained by multiplying every element of A by k is called scalar multiplication of A by k and it is denoted by kA.
Thus, if A = [aij]m×n, then kA = Ak = [kaij]m×n.
Properties of scalar multiplication:
If A, B are matrices of the same order and λ, μ are any two scalars then
- λ (A + B) = λA + λB
- (λ + μ)A = λ + μA
- λ(μA) = (λμA) = μ(λA)
- (-λA) = -(λA) = λ(-A)
All the laws of ordinary algebra hold for the addition or subtraction of matrices and their multiplication by scalars.
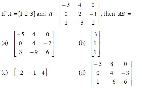
Multiplication of Matrices Problems with Solutions
1.

Solution:

2.

Solution:

3.

Solution:

4.

Solution:
