In this chapter, you will find detailed solutions to the problems presented in the ML Aggarwal Class 10 Solutions ICSE Maths. These solutions provide step-by-step explanations, making it easier to understand the underlying principles and apply them to various mathematical problems.
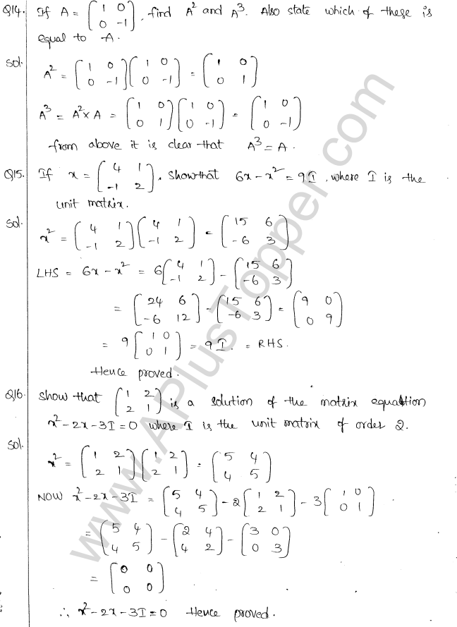
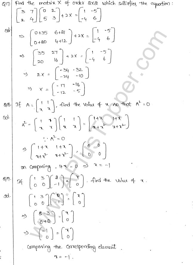
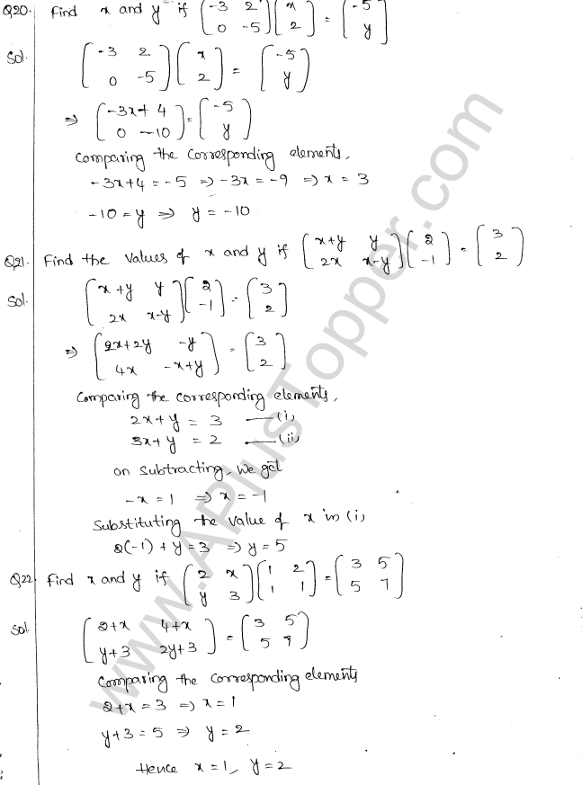
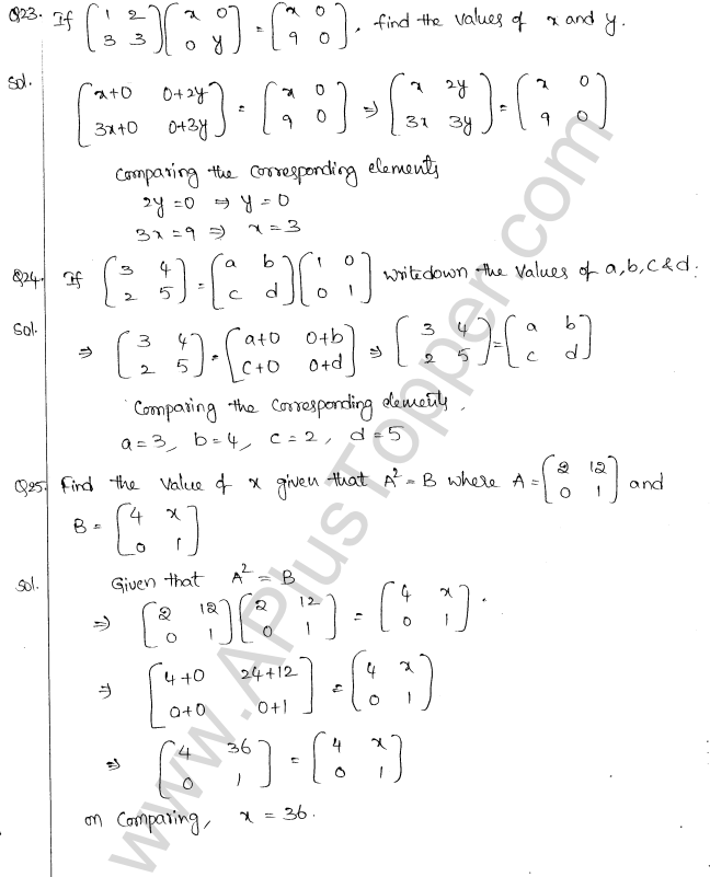
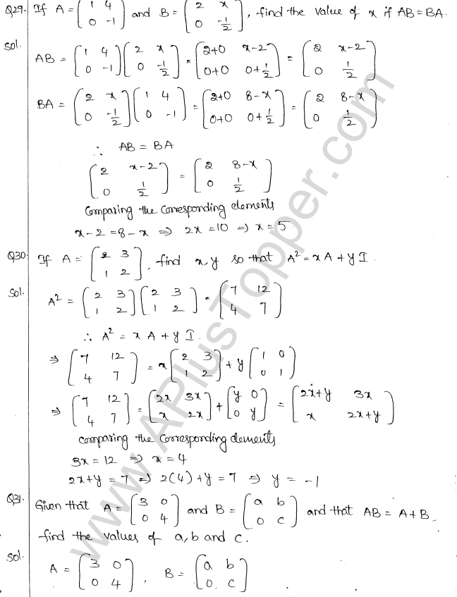
ML Aggarwal Class 10 Solutions Chapter 9 Matrices
ICSE Class 10 Maths Chapter 9 Solutions ML Aggarwal
ML Aggarwal SolutionsICSE SolutionsSelina ICSE Solutions



















