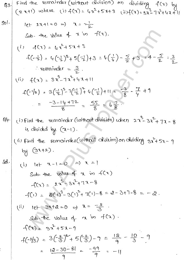
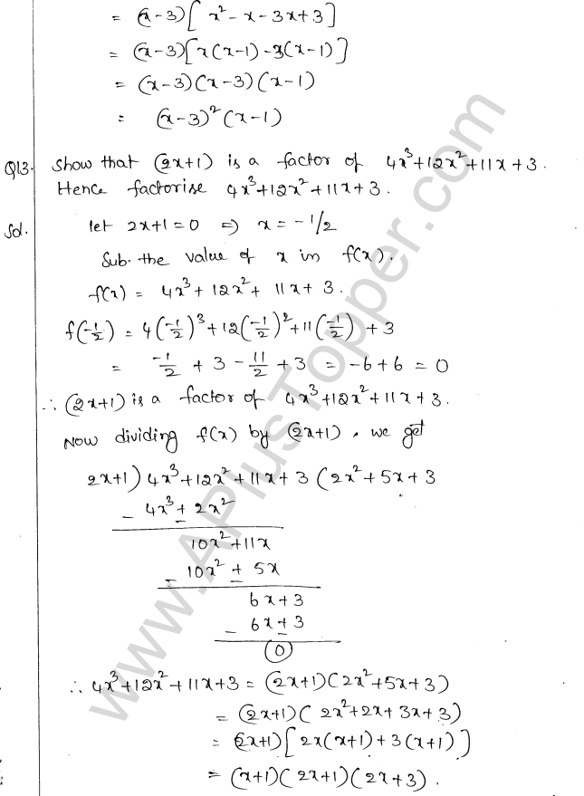
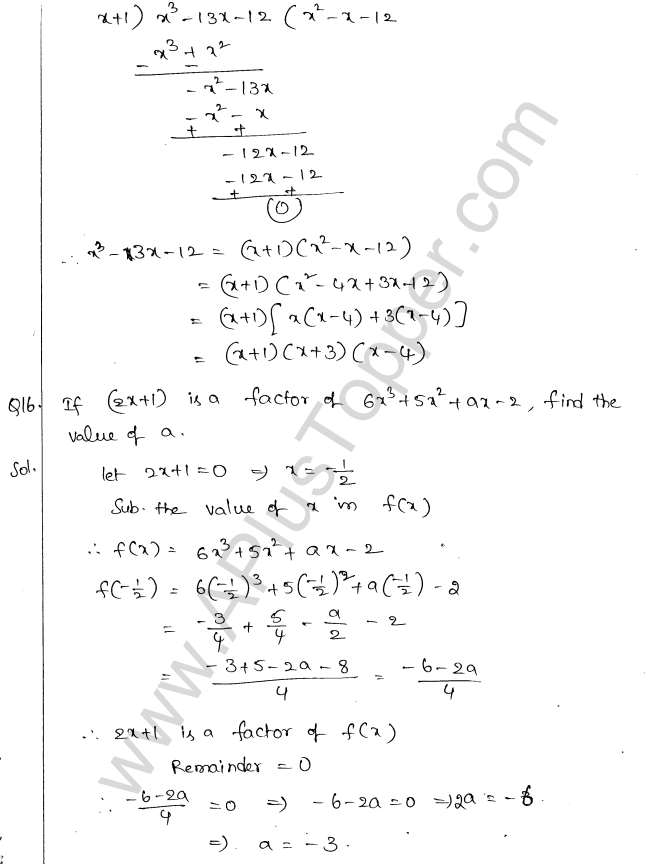
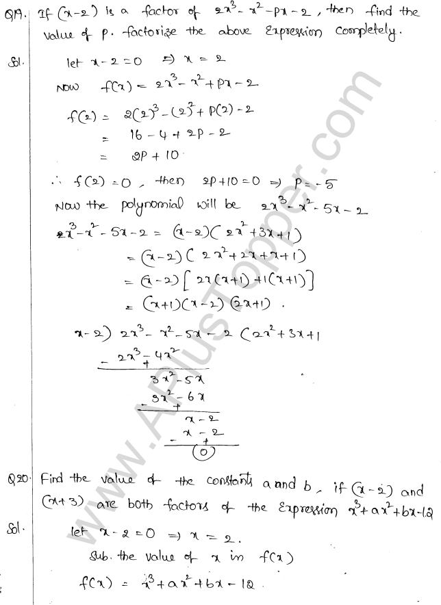
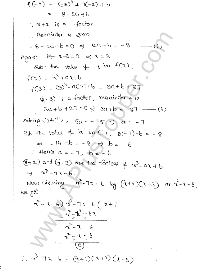
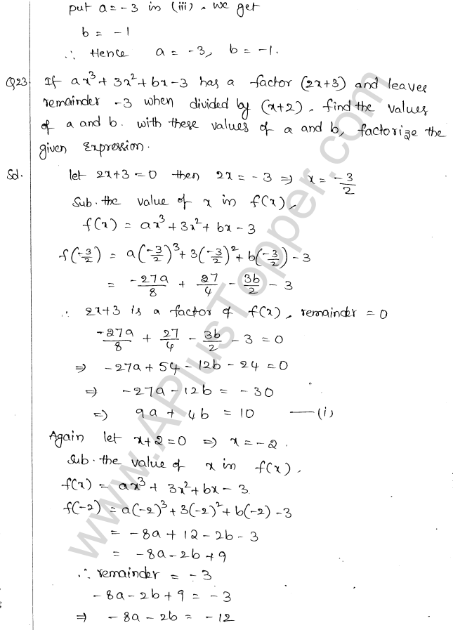
In this chapter, you will find detailed solutions to the problems presented in the ML Aggarwal Class 10 Solutions ICSE Maths. These solutions provide step-by-step explanations, making it easier to understand the underlying principles and apply them to various mathematical problems.
ML Aggarwal Class 10 Solutions Chapter 7 Factor Theorem
ICSE Class 10 Maths Chapter 7 Solutions ML Aggarwal
ML Aggarwal SolutionsICSE SolutionsSelina ICSE Solutions


















