ML Aggarwal ICSE Solutions for Class 10 Maths Chapter 16 Circles
ML Aggarwal SolutionsICSE SolutionsSelina ICSE Solutions

















































































































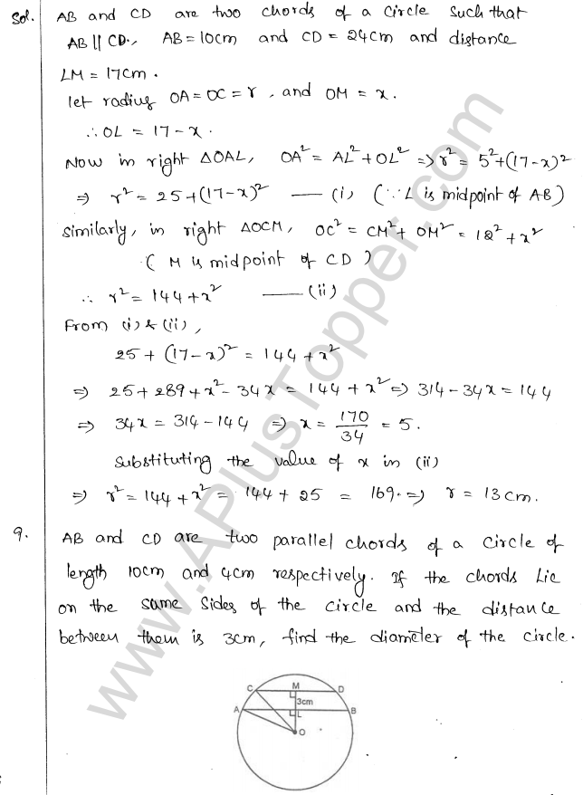
ML Aggarwal SolutionsICSE SolutionsSelina ICSE Solutions
















































































































