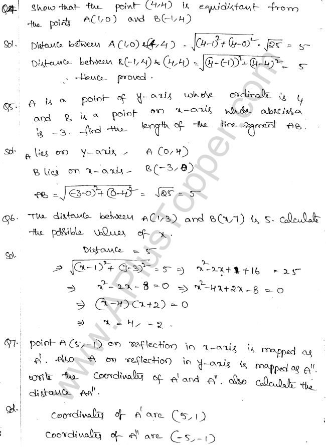
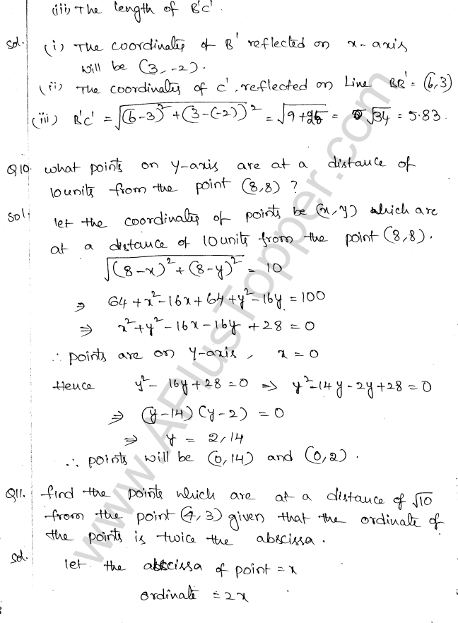
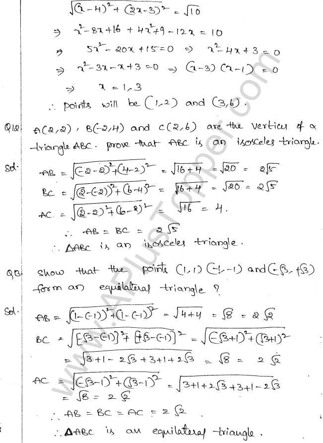
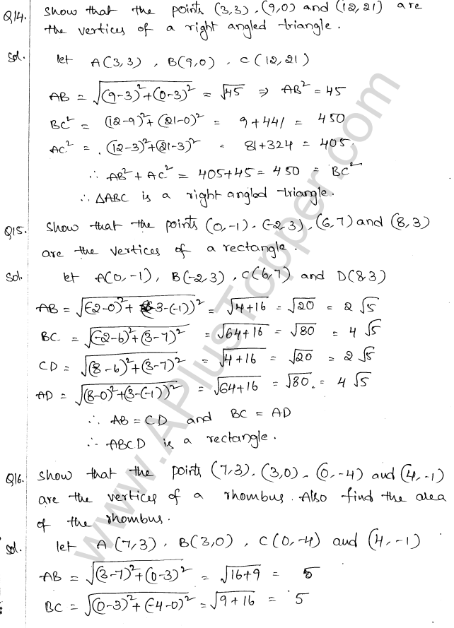
In this chapter, you will find detailed solutions to the problems presented in the ML Aggarwal Class 10 Solutions ICSE Maths. These solutions provide step-by-step explanations, making it easier to understand the underlying principles and apply them to various mathematical problems.
ML Aggarwal Class 10 Solutions Chapter 11 Section Formula
ICSE Class 10 Maths Chapter 11 Solutions ML Aggarwal
ML Aggarwal SolutionsICSE SolutionsSelina ICSE Solutions































