• ICSE Solutions
    • ICSE Solutions for Class 10
    • ICSE Solutions for Class 9
    • ICSE Solutions for Class 8
    • ICSE Solutions for Class 7
    • ICSE Solutions for Class 6
  • Selina Solutions
  • ML Aggarwal Solutions
  • ISC & ICSE Papers
    • ICSE Previous Year Question Papers Class 10
    • ISC Previous Year Question Papers
    • ICSE Specimen Paper 2021-2022 Class 10 Solved
    • ICSE Specimen Papers 2020 for Class 9
    • ISC Specimen Papers 2020 for Class 12
    • ISC Specimen Papers 2020 for Class 11
    • ICSE Time Table 2020 Class 10
    • ISC Time Table 2020 Class 12
  • Maths
    • Merit Batch

A Plus Topper

Improve your Grades

  • CBSE Sample Papers
  • HSSLive
    • HSSLive Plus Two
    • HSSLive Plus One
    • Kerala SSLC
  • Exams
  • Syllabus
    • B.E Mechanical Engineering Syllabus
    • B.E CIVIL Engineering Syllabus
    • B.E Electrical and Electronics Engineering Syllabus
    • B.E Computer Science and Engineering Syllabus
  • Textbook Answers
  • Chemistry
  • Physics
  • ICSE Books

ML Aggarwal ICSE Solutions for Class 10 Maths Chapter 19 Trigonometric Identities

October 21, 2024 by Prasanna

  1. ML Aggarwal ICSE

ML Aggarwal ICSE Solutions for Class 10 Maths Chapter 19 Trigonometric Identities

ML Aggarwal SolutionsICSE SolutionsSelina ICSE Solutions

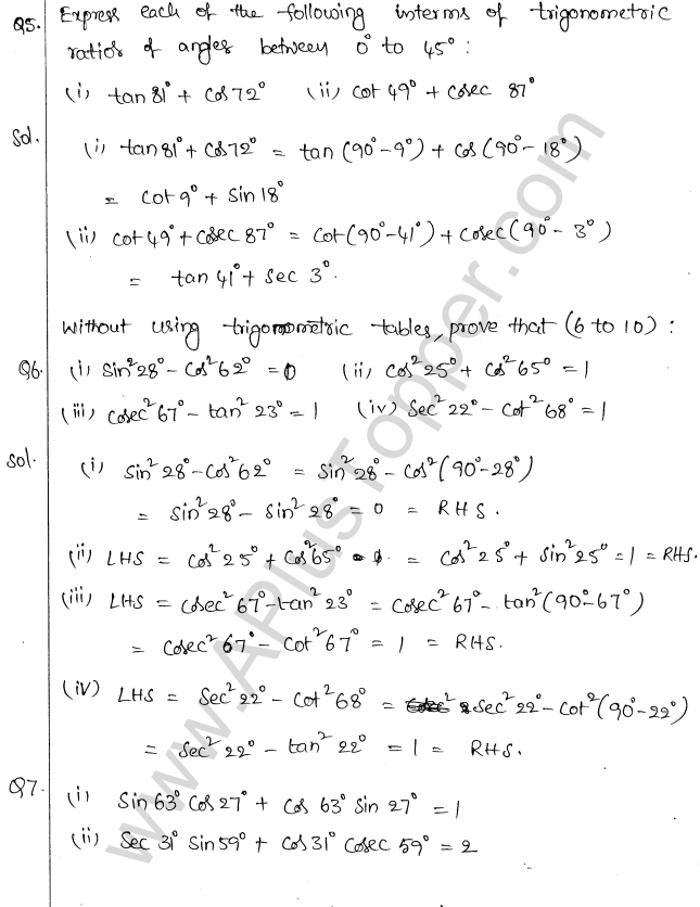
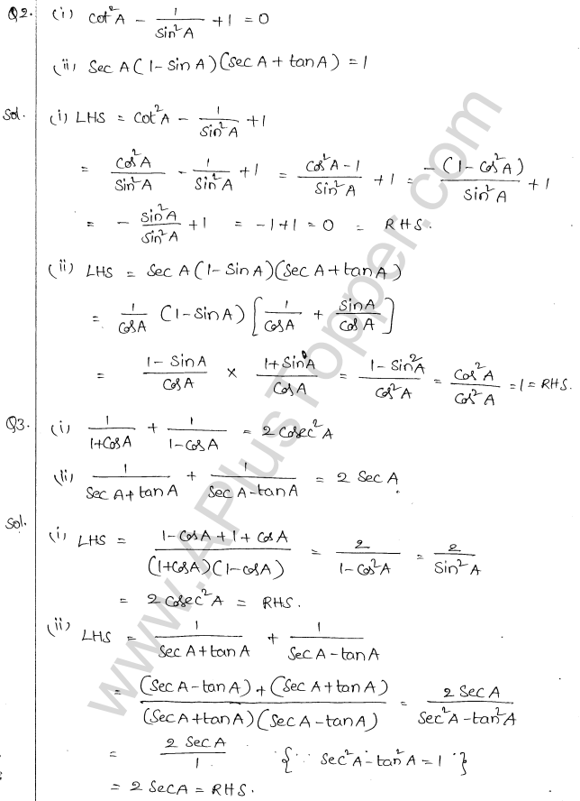
ML Aggarwal ICSE Solutions for Class 10 Maths Chapter 19 Trigonometric Identities Q1.1
ML Aggarwal ICSE Solutions for Class 10 Maths Chapter 19 Trigonometric Identities Q1.2
ML Aggarwal ICSE Solutions for Class 10 Maths Chapter 19 Trigonometric Identities Q1.3
ML Aggarwal ICSE Solutions for Class 10 Maths Chapter 19 Trigonometric Identities Q1.4
ML Aggarwal ICSE Solutions for Class 10 Maths Chapter 19 Trigonometric Identities Q1.5
ML Aggarwal ICSE Solutions for Class 10 Maths Chapter 19 Trigonometric Identities Q1.6
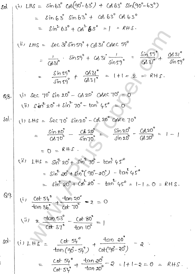
ML Aggarwal ICSE Solutions for Class 10 Maths Chapter 19 Trigonometric Identities Q1.7
ML Aggarwal ICSE Solutions for Class 10 Maths Chapter 19 Trigonometric Identities Q1.8
ML Aggarwal ICSE Solutions for Class 10 Maths Chapter 19 Trigonometric Identities Q1.9
ML Aggarwal ICSE Solutions for Class 10 Maths Chapter 19 Trigonometric Identities Q1.10
ML Aggarwal ICSE Solutions for Class 10 Maths Chapter 19 Trigonometric Identities Q1.11
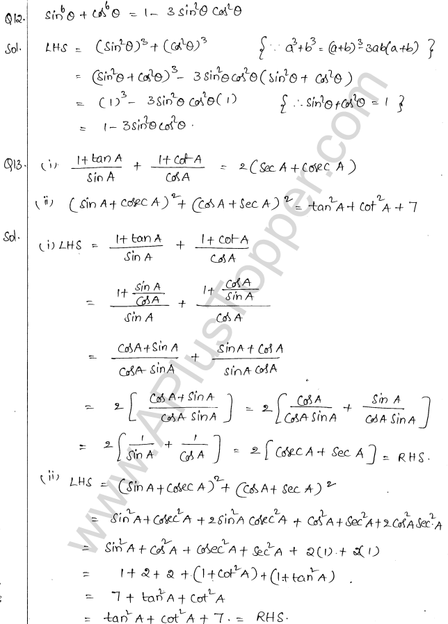
ML Aggarwal ICSE Solutions for Class 10 Maths Chapter 19 Trigonometric Identities Q1.12
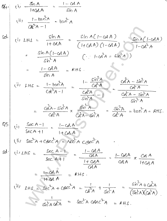
ML Aggarwal ICSE Solutions for Class 10 Maths Chapter 19 Trigonometric Identities Q1.13
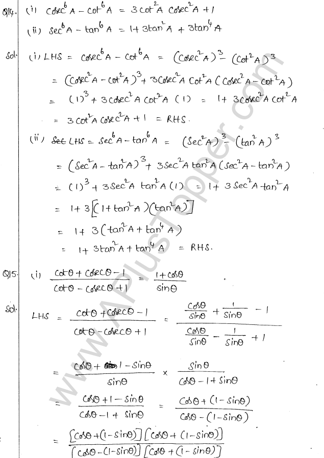
ML Aggarwal ICSE Solutions for Class 10 Maths Chapter 19 Trigonometric Identities Q1.14
ML Aggarwal ICSE Solutions for Class 10 Maths Chapter 19 Trigonometric Identities Q1.15
ML Aggarwal ICSE Solutions for Class 10 Maths Chapter 19 Trigonometric Identities Q1.16
ML Aggarwal ICSE Solutions for Class 10 Maths Chapter 19 Trigonometric Identities Q1.17
ML Aggarwal ICSE Solutions for Class 10 Maths Chapter 19 Trigonometric Identities Q1.18
ML Aggarwal ICSE Solutions for Class 10 Maths Chapter 19 Trigonometric Identities Q1.19
ML Aggarwal ICSE Solutions for Class 10 Maths Chapter 19 Trigonometric Identities Q1.20
ML Aggarwal ICSE Solutions for Class 10 Maths Chapter 19 Trigonometric Identities Q1.21
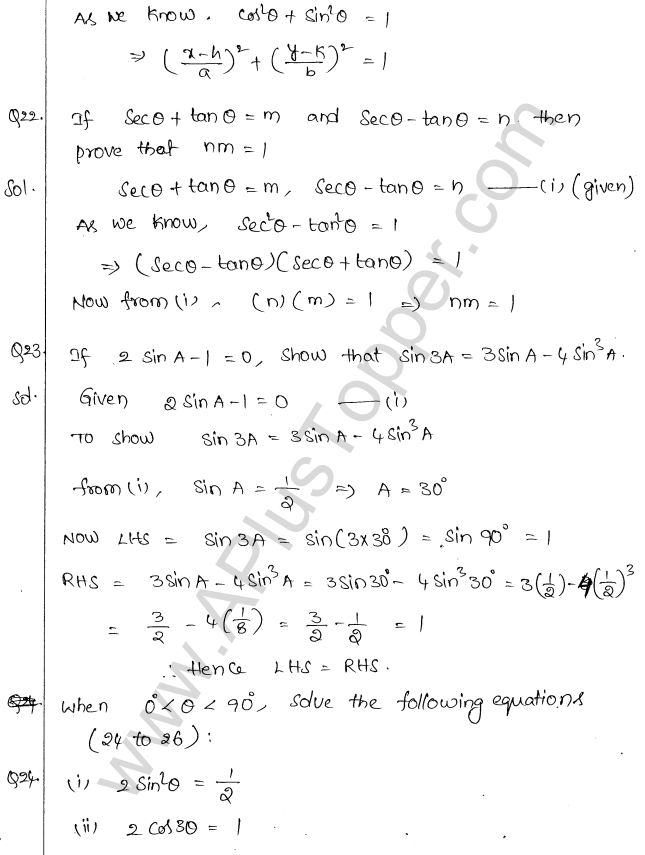
ML Aggarwal ICSE Solutions for Class 10 Maths Chapter 19 Trigonometric Identities Q1.22
ML Aggarwal ICSE Solutions for Class 10 Maths Chapter 19 Trigonometric Identities Q1.23


icse maths book for class 10 solved m.l. aggarwal maths for class 10 icse ml aggarwal class 10 solutions pdf download ML Aggarwal ICSE Solutions ML Aggarwal ICSE Solutions for Class 10 Maths ml aggarwal maths for class 10 solutions cbse ml aggarwal maths for class 10 solutions pdf download ML Aggarwal Solutions understanding icse mathematics class 10 ml aggarwal pdf

Primary Sidebar

Recent Articles

  • National-Scholarship-Portal
    National Scholarship Portal 2020 - Application procedure, D…
  • AS3301-Elements-of-Aerospace-Engineering-Syllabus-Regulation-2021-Anna-University
    AS3301 - Elements of Aerospace Engineering Syllabus Regulat…
  • AS3302-Flight-Systems-Syllabus-Regulation-2021-Anna-University
    AS3302 - Flight Systems Syllabus Regulation 2021 Anna Unive…
  • Southern-Utah-University-Tuition
    Southern Utah University Tuition and Financial Aid

Footer

  • Picture Dictionary
  • English Speech
  • English Slogans
  • English Letter Writing
  • English Essay Writing
  • English Textbook Answers
  • Types of Certificates
  • ICSE Solutions
  • Selina ICSE Solutions
  • ML Aggarwal Solutions
  • HSSLive Plus One
  • HSSLive Plus Two
  • Kerala SSLC
  • Distance Education
Disclaimer Privacy Policy
Area Volume Calculator