ML Aggarwal Class 9 Solutions Chapter 9 Chapter Test
Question 1.
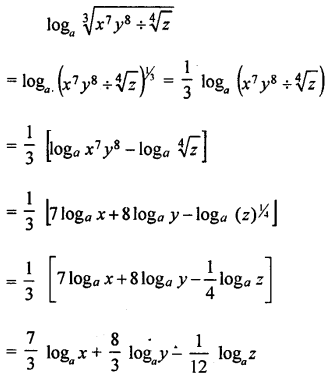
Expand \(\log _{a} \sqrt[3]{x^{7} y^{8} \div \sqrt[4]{z}}\)
Answer:

Question 2.
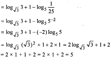
Find the value of \(\log _{\sqrt{3}} 3 \sqrt{3}-\log _{5}(0 \cdot 04)\)
Answer:

Question 3.
Prove the following

Answer:

= 2[log 11 – log 13] + [log 130 – log 77] – [log 55 – log 91]
= 2 [log – log 13] + [log 13 × 10 – log 11 × 7] – [log 11 – log 13 × 7]
= 2 [log 11 – log 13] + [(log 13 + log 10) – (log 11 + log 7)] – [(log 11 + log 5) – (log 13 + log 7)]
= 2 log 11 – 2 log 13 + log 10 – log 11 – log 7 – log 11 – log 5 + log 13 + log 7
= (2 log 11 – log 11 – log 11) + (-2 log 13 + log 13 + log 13) + log 10 – log 5 + (log 7 – log 7)
= 0 + 0 + log 10 – log 5 + 0 = log 10 – log 5
= log\(\left(\frac{10}{5}\right)\) = 1og 2 = R.H.S
Hence, Result is proved.
Question 4.
If log (m + n) = log m + log n, show that n = \(\frac{m}{m-1}\).
Answer:
Given log (m + n) = log m + log n
⇒ log (m + n) = log mn ⇒ m + n = mn
⇒ m = mn – n ⇒ m = n (m -1)
⇒ n (m – 1) = m ⇒ n = \(\frac{m}{m-1}\)
Hence, result is proved.
Question 5.
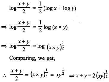
If \(\log \frac{x+y}{2}=\frac{1}{2}(\log x+\log y)\), prove that x = y.
Answer:

Squaring
⇒ (x + y)2 = 4xy ⇒ x2 + y2 + 2xy = 4xy
⇒ x2 + y2 + 2xy – 4xy = 0 ⇒ x2 + y2 – 2xy = 0
⇒ (x – y)2 = 0 ⇒ x – y = 0
∴ x = y Hence proved.
Question 6.
If a, b are positive real numbers, a > b and a2 + b2 = 27 ab, prove that

Answer:
a2 + b2 = 27ab
⇒ a2 + b2 – 2ab = 25ab


Hence proved.
Solve the following equations for x
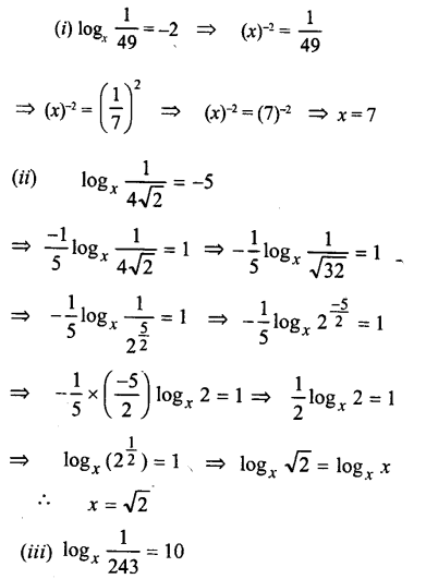
Question 7.
Solve the following equations for x:
(i) logx\(\frac{1}{49}\) = -2
(ii) logx\(\frac{1}{4 \sqrt{2}}\) = -5
(iii) logx\(\frac{1}{243}\) = 10
(iv) logx32 = x – 4
(v) log7 (2x2 – 1) = 2
(vi) log (x2 – 21) = 2
(vii) log6 (x – 2) (x + 3) = 1
(viii) log6 (x – 2) + log6 (x + 3) = 1
(ix) log (x +1) + log (x -1) = log 11 + 2 log 3.
Answer:


⇒ x = +5, -5
(vi) log (x2 – 21) = 2
(10)2 = x2 – 21 ⇒ 100 = x2 – 21
⇒ x2 – 21 = 100 ⇒ x2 = 100 + 21
⇒ x2 = 121 ⇒ x = ±\(\sqrt{121}\) ⇒ x = ±11
∴ x = 11, -11
(vii) log6 (x – 2) (x + 3) = 1 {∵ loga a= 1}
Comparing,
(x – 2)(x + 3) = 6
⇒ x2 + 3x – 2x – 6 = 6
⇒ x2 + x – 6 – 6 = 0
⇒ x2 + x- 12 = 0
⇒ x2 + 4x – 3x- 12 = 0
⇒ x (x + 4) – 3 (x + 4) = 0
⇒ (x + 4)(x – 3) = 0
Either x + 4 = 0, then x = -4
or x – 3 = 0, then x = 3
Hence x = 3, -4
(viii) log6 (x – 2) + log6 (x + 3) = 1
log6 (x – 2) (x + 3) = 1 = log6 6 {∵ loga a = 1}
Comparing,
(x – 2) (x + 3) = 6 => x2 + 3x – 2x – 6 = 6
⇒ x2 + x – 6 – 6 = 0 ⇒ x2 + x – 12 = 0
⇒ x2 + 4x – 3x – 12 = 0
⇒ x (x + 4) – 3 (x + 4) = 0
⇒ (x + 4)(x – 3) = 0
Either x + 4 = 0, then x = -4
or x – 3 = 0, then x = 3
∴ x = 3, -4
(ix) log (x +1) + log (x -1) = log 11 + 2 log 3
⇒ log [(x + 1) (x – 1)] = log 11 + log (3)2
⇒ log (x2 – 1) = log 11 + log 9 [∵ a2 – b2 = (a + b)(a – b)]
⇒ log(x2 – 1) = log(11 × 9) ⇒ x2 – 1 = 11 × 9
⇒ x2 – 1 = 99 × x2 = 99 + 1 ⇒ x2 = 100
⇒ x2 = (10)22 ⇒ x = 10
Question 8.
Solve for x and y:

Answer:


Question 9.
If a = 1 + logxyz, b = 1 + logy zx and c = 1 + logzxy, then show that ab + bc + ca = abc.
Answer:
a = 1 + logxyz
b = 1 + logyzx
c = 1 + logzxy
a = 1 + logxyz = logxx + logxyz
