ML Aggarwal Class 9 Solutions Chapter 4 Chapter Test
Factorize the following (1 to 12)
Question 1.
15(2x – 3)3 – 10(2x – 3)
Answer:
(i) 15(2x – 3)3 – 10(2x – 3)
= 5(2x – 3) [3(2x – 3)2 – 2]
= 5(2x – 3)[3(2x – 3)2 – 2]
(ii) a(b – c) (b + c) – d (c – b)
Answer:
a(b – c) (b + c) – d (c – b)
= a(b – c) (b + c) + d (b – c)
= (b – c) [a (b + c) + d]
= (b – c) (ab + ac + d)
Question 2.
(i) 2a2x – bx + 2a2 – b
Answer:
(i) 2a2x – bx + 2a2 – b
= 2a2x + 2a2 – bx – b
= 2a2 (x + 1) – b (x + 1)
= (x + 1) (2a2 – b)
(ii) p2 – (a + 2b) p + 2ab
Answer:
p2 – (a + 2b) p + 2ab
= p2 – ap – 2bp + 2ab
= p(p – a) – 2b (p – a)
= (p – a) (p – 2b)
Question 3.
(i) (x2 – y2) z + (y2 – z2) x
Answer:
(i) (x2 – y2) z + (y2 – z2) x
= x2z – y2z + xy2 – z2 x
= x2z – z2x + xy2 – y2z
= xz (x – z) + y2 (x – z)
= (x – 2) (xz + y2)
(ii) 5a4 – 5a3 + 30a2 – 30a
Answer:
5a4 – 5a3 + 30a2 – 30a
= 5a [a3 – a2 + 6a – 6]
= 5a [a2 (a – 1) + 6 (a – 1)]
= 5a (a – 1) (a2 + 6)
Question 4.
(i) b(c – d)2 + a(d – c) + 3c – 3d
Answer:
b(c – d)2 + a(d – c) + 3c – 3d
= b(c – d)2 – a(c – d) + 3c – 3d
= b(c – d)2 – a (c – d) + 3 (c – d)
= (c – d) [b (c – d) – a + 3]
= (c – d) (bc – bd – a + 3)
(ii) x3 – x2 – xy + x + y – 1
Answer:
x3 – x2 – xy + x + y – 1
= x3 – x2 – xy + y + x – 1.
= x2 (x – 1) – y (x – 1) + 1(x – 1)
= (x – 1) (x2 – y + 1)
Question 5.
(i) x(x + z) – y (y + z)
Answer:
x (x + z) – y(y + z)
= x2 + xz – y2 – yz
= x2 – y2 + xz – yz
= (x + y)(x – y) + z(x – y) {∵ x2 – y2 = (x + y)(x – y)}
= (x – y)(x + y + z)
(ii) a12x4 – a4x12
Answer:
a12x4 – a4x12 = a4x4 (a8 – x8)
= a4x4 {(a4)2 – (x4)2}
= a4x4 (a4 + x4) (a4 – x4) (∵ a2 – b2 = (a + b) (a – b)}
= a4x4 (a4 + x4) {(a2)2 – (x2)2}
= a4x4 (a4 + x4) (a2 + x2) (a2 – x2)
= a4x4 (a4 + x4) (a2 + x2) (a + x) (a – x)
Question 6.
(i) 9x2 + 12x + 4 – 16y2
Answer:
9x2 + 12x + 4 – 16y2
⇒ (3x)2 + 2 × 3x × 2 + (2)2 – 16y2
⇒ (3x + 2)2 + (4y)2
⇒ (3x + 2 + 4y) (3x + 2 – 4y)
(ii) x4 + 3x2 + 4
Answer:
x4 + 3x2 + 4
= (x2)3 + 3(x2) + 4
= (x2)2 + (2)2 + 4x2 – x2
= (x2 + 2)2 – (x)2 {∵ a2 – b2 = (a + b) (a – b)}
= (x2 + 2 + x) (x2 + 2 – x)
= (x2 + x + 2) (x2 – x + 2)
Question 7.
(i) 21x2 – 59xy + 40y2
Answer:
(i) 21x2 – 59xy + 40y2
∵ 21 × 40 = 840
∴ 840 = (- 35) (- 29)
and – 59 = – 35 – 24
= 7x (3x – 5y) – 8y (3x – 5y)
= (3x – 5y) (7x – 8y)
(ii) 4x3y – 44x2y + 112xy
Answer:
4x3y – 44x2y + 112xy
= 4xy (x2 – 11x + 28)
= 4xy [x2 – 7x – 4x + 28]
∵ – 11 = -7 – 4
28 = (-7) (-4)
= 4xy [x (x – 7) – 4 (x – 7)]
= 4xy(x – 7) (x – 4)
Question 8.
(i) x2y2 – xy – 72
Answer:
x2y2 – xy – 72
= x2y2 – 9xy + 8xy – 72 { ∵ – 72 = -9 × 8l
-1 = -9 + 8 }
= xy(xy – 9) + 8 (xy – 9)
= (xy – 9) (xy + 8)
(ii) 9x3y + 41x2y2 + 20xy3
Answer:
9x3y + 41x2y2 + 20xy3
= xy (9x2 + 41xy + 20y2)
= xy {9x2 + 36xy + 5xy + 2oy2}
{∵ 9 × 20 = 180
180 = 36 × 5
41 = 36 + 5}
= xy {9x (x + 4y) + 5y (x + 4y)}
= xy (x + 4y) (9x + 5y)
Question 9.
(i) (3a – 2b)2 + 3 (3a – 2b) – 10
Answer:
(3a – 2b)2 + 3 (3a – 2b) – 10
= x2 + 3x – 10 where x = (3a- 2b)
= (x2 + 5x) – (2x +10)
= x (x + 5) – 2 (x + 5)
= (x + 5) (x – 2)
= (3a – 2b + 5) (3a – 2b – 2)
(ii) (x2 – 3x) (x2 – 3x + 7) + 10
Answer:
(x2 – 3x) (x2 – 3x + 7) + 10
Put x2 – 3x = 3
then, y(y + 7) + 10
= y2 + 7y + 10
= y2 + 5y + 2y + 10
= y(y + 5) + 2(y + 5)
= (y + 5) (y + 2)
= (x2 – 3x + 5) (x2 – 3x + 2)
Question 10.
(i) (x2 – x) (4x2 – 4x – 5) – 6
Answer:
(x2 – x) (4x2 – 4x – 5) – 6
= (x2 -x) [4 (x2 – x) – 5] – 6
= y(4y – 5) – 6 where y = x2 – x
= 4y2 – 5y – 6
= 4y – 8y + 3y – 6
= 4y (y – 2) + 3 (y – 2)
= (4y + 3)(y – 2)
= (4x2 – 4x + 3) (x2 – x – 2)
= (x2 – x – 2) (4x2 – 4x + 3)
= (x2 – 2x + x – 2) (4x2 – 4x + 3)
= [x(x – 2) + 1 (x – 2)] (4x2 – 4x + 3)
= (x – 2) (x +1) (4x2 – 4x + 3)
(ii) x4 + 9x2y2 + 81y4
Answer:
x4 + 9x2y2 + 81y4
= (x4 + 18x2y2 + 81y4) – 9x2y2
= (x2 + 9y2)2 – (3xy)2
= (x2 + 9y2 + 3xy) (x2 + 9y2 – 3xy)
Question 11.
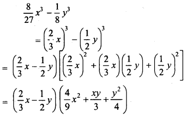
(i) \(\frac{8}{27} x^{3}-\frac{1}{8} y^{3}\)
Answer:

(ii) x6 + 63x3 – 64
Answer:
x6 + 63x3 – 64 = x6 + 64x3 – x – 64
= x3 (x3 + 64) – 1 (x3 + 64)
= (x3 + 64) (x3 – 1)
= [(x)3 + (4)3][(x)3 – (1)3]
= (x + 4) [(x)2 – (4) (x) + (4)2] (x – 1) [(x)2 + (1)(x) + (1)2]
= (x + 4) (x2 – 4x + 16) (x – 1) (x2 + x + 1)
Question 12.
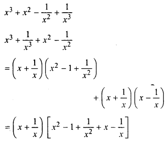
(i) \(x^{3}+x^{2}-\frac{1}{x^{2}}+\frac{1}{x^{3}}\)
Answer:

(ii) (x + 1)6 – (x – 1)6
Answer:
(x + 1)6 – (x – 1)6
[(X + 1)3]2 – [(x – 1)3]2 [(a2 – b2 = (a + b) (a – b)
= [(x + 1)3 + (x – 1)3] [(x + 1)3 – (x – 1)3]
= [(x + 1) + (x – 1)]
[(x+ 1)2 – (x – 1)(x- 1) + (x- 1)2] [(x + 1) – (x – 1)] [(x + 1)2 + (x + 1) (x – 1) + (x – 1)2]
= (x + 1 + x – 1) [x2 + 2x + 1 – x2 + 1 + x2 + 1 – 2x (x + 1) – x + 1) [x2 + 2x + 1 + x2 – 1 + x2 – 2x + 1 ]
= 2x (x2 + 3) (2) (3x2 + 1)
= 4x (x2 + 3) (3x2 + 1)
Question 13.
Show that (97)3 + (14)3 is divisible by 111.
Answer:
(97)3 + (14)3
= (97 + 14) [(97)2 – (97) (14) + (14)2]
= 111 × [(97)2 – (97)(14) + (14)2]
Clearly given expression is divisible by 111.
Question 14.
If a + b = 8 and ab = 15, find the value of a4 + a2b2 + b4
Solution:
a4 + a2b2 + b4
= a4 + 2a2b2 + b4 – a2b2
= (a2)2 + 2a2b2 + (b2)2 – (ab)2
= (a2 + b2)2 – (ab)2
= (a2 + b2 + ab) (a2 + b – ab)
But a + b = 8, ab = 15
∴ (a + b)22 = 82
⇒ a2 + b2 + 2ab = 64
⇒ a2 + b2 + 2 × 15 = 64
⇒ a2 + b2 + 30 = 64
a2 + b2 = 64 – 30 = 34
Now a4 + a2b2 + b4
= (a2 + b2 + ab) (a2 + b2 – ab)
= (34 + 15) (34 – 15)
= 49 × 19 = 931