ICSE Solutions for Class 10 Mathematics – Matrices
ICSE SolutionsSelina ICSE Solutions
Get ICSE Solutions for Class 10 Mathematics Chapter 10 Matrices for ICSE Board Examinations on APlusTopper.com. We provide step by step Solutions for ICSE Mathematics Class 10 Solutions Pdf. You can download the Class 10 Maths ICSE Textbook Solutions with Free PDF download option.
Download Formulae Handbook For ICSE Class 9 and 10
Formulae

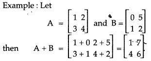
Addition of Matrices: Let A and B be two matrices each of order m × n. Then their sum A + B is a matrix of order m × n and is obtained by adding the corresponding elements of A and B.

Properties of Matrix Addition:
- Matrix addition is commutative
i.e., A + B = B + A - Matrix addition is associative for any three matrices A, B and C.
A + (B + C) = (A + B) + C. - Existence of identity.
A null matrix is identity element for addition.
i.e., A + 0 = A = 0 + A. - Cancelation laws hold good in case of matrices.
A + B = A + C ⇒ B = C.
Subtraction of Matrices:
For two matrices A and B of the same order, we define
A – B = A + (- B).

Properties of Matrices Multiplication
- Matrix multiplication is not commutative in general for any two matrices AB ≠ BA.
- Matrix multiplication is associative
i.e., (AB) C = A (BC) when both sides are defined. - Matrix multiplication is distributed over matrix addition
i.e., A (B + C) = AB + AC
(A + B) C = AC + BC. - If A is an n × n matrix then
InA = A = AIn - The product of two matrices can be the null matrix while neither of them is the null matrix.
Determine the Following













































Prove the Following






For More Resources