Kerala SSLC Physics Previous Question Papers with Answers 2018 are part of Kerala SSLC Physics Previous Year Question Papers with Answers. Here we have given Kerala SSLC Physics Previous Question Papers with Answers 2018.
| Board | SCERT |
| Class | SSLC Class 10 |
| Subject | Physics |
| Category | Kerala SSLC Previous Question Papers |
Kerala SSLC Physics Previous Year Question Papers with Answers 2018 Free Download English Medium
Time Allowed: 1 1/2 hours
Cool off time: 15 Minutes
Maximum Marks: 40
Instructions
- First 15 minutes is cool off time.
- Answer the questions only after reading instructions and questions thoroughly.
- Questions are given in A, B, C, D sections. Write only 4 questions from each section.
- Score allotted for sections A, B, C, D are 1, 2, 3 and 4 respectively.
Questions
SECTION A
Question 1.
Write any two factors that influence the speed of sound through air.
Question 2.
Solar energy is treated as the energy source of the future. Write any two solar devices working on solar energy that can be utilised in daily life.
Question 3.
Distinguish the relationship between the terms given below and fill in the blanks.
i. Generator → Armature → Induced emf.
ii. Microphone →………→ Induced einf.
Question 4.
Find the odd one from the brackets and give reason behind your selection.
[Blue, Yellow, Red, Green]
Question 5.
Write any two problems faced when electrical power is transmitted to distant places.
SECTION B
Question 6.
Correct the underlined part of the following statements appropriately if it is wrong.
a. Conductors having higher melting point than the circuit elements are used as fuse wire .
b. The ampearage of the fuse wire must be reduced as the power of the equipments included in the circuit is increased.
Question 7.
A student standing in front of a huge building claps his hands. He heard its echo after 2 seconds. [Speed of sound in air is 340 m/sec]
a. Calculate the distance between the student and the building.
b. Write the characteristics of the ear behind the phenomenon called echo.
Question 8.
Identify the electronic components from the following symbols. Write any one difference between them.

Question 9.
The statements given below are related to a step-down transformer. Tabulate them as those related to primary and secondary.
i. Winding with thick wire.
ii. Current flowing at higher voltage.
iii. Winding with thin wire.
iv. Current flowing at a low voltage.
Question 10.
Explain how the following arrangements are useful in power transmission.
a. Reduction in the resistance of the conductor.
b. Increase in the transmission voltage.
SECTION C
Question 11.
Explain the reason for the following ina power generator.
a. Armature is used as stator.
b. Strong electromagnets are used as field magnet.
c. Three armature coils are arranged at 120° angular separation.
Question 12.
Analyse the given circuit diagram of a half wave rectifier and answer the following questions.
a. Identify the components labelled as M and N.
b. What are the changes to be made in the following components for converting this to a full wave rectifier
i. Transformer
ii. No.of Diodes
c. Draw the output form of a full wave rectifier.

Question 13.
Explain the following every day life experiences scientifically.
a. Spirit kept in an open watch glass is converted into gaseous state even at room temperature.
b. The variation in atmospheric temperature do not effect our body temperature instantaneously.
c. Compare melting of ice-cream will not happen suddenly.
Question 14.
Four [40 W, 230 V] bulbs are connected to a 230 V supply as shown below.

a. Which are the bulbs connected in series ?
b. Which are the bulbs that can work at 40 W power ?
c. Write two advantages of connecting household equipments in parallel.
Question 15.
Roshan observed a beautiful rainbow in the western Sky from his school ground.
a. When did Roshan observe the rainbow ?
[Morning, Noon, Evening, Prediction of time is impossible]
b. Draw the diagram of dispersion taking place in a water droplet during the formation of a rainbow.
SECTION D
Question 16.
The following diagram shows an experiment using a beaker of large height and a pipe. [Excited tuning fork is used]
a. What happens to the loudness of the sound produced by the tuning fork while adjusting the height of air column inside the pipe ?
b. What will be the natural frequency of air column at the time of hearing the loud sound if the frequency of given tuning fork is 512 Hz ? Explain the phenomena behind this loudness.

Question 17.
Answer the following questions by analyzing the table :

a. Why the temperature difference remains the same when various amounts of heat energy is given to the above substances of equal masses ?
b. Which substance has higher specific heat capacity ?
c. Name the substance in the above table which exhibits the largest temperature change when the same amount of heat is given.
Question 18.
An electric heater of resistance 115 Ω is made to work on 230 V supply.
a. What will be the current through this heater while it is working ?
b. Calculate the power of this heater.
c. Calculate the heat generated by this heater if it works for 10 minutes.
Question 19.
Analyse the diagram of solar spectrum and write answer.

a. Which radiation has a wavelength greater than visible light in this spectrum ?
b. Which color has the highest frequency in the visible part of the solar spectrum ?
c. Write one merit and demerit of infrared and ultraviolet radiations.
Question 20.
a. Write one example each for fossil fuels in solid and liquid state.
b. Which fossil fuel produces ammonia when distilled in the absence of air ?
c. Write down the process of evolution of fossil fuels on earth.
Answers
Answer 1.
Humidity and temperature.
Answer 2.
Solar cell and solar water heater.
Answer 3.
Voice coil
Answer 4.
Yellow. Others are primary colours.
Answer 5.
Power loss and voltage drop.
Answer 6.
a. Conductors having low melting point.
b. The amperage of the fuse wire must be increased
Answer 7.
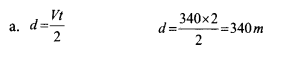
a.

b. Persistence of audibility
Answer 8.
a. LED
b. Photo diode
LED emit light, photo diode absorb light.
Answer 9.
Primary
Winding with thin wire
Current flowing at higher voltage
Secondary
Winding with thick wire
Current flowing at low voltage.
Answer 10.
a. H = I²Rt. When resistance is decreased heat produced can be minimized.
b. When voltage is increased current can be decreased and heat produced can be minimized.
Answer 11.
a. To avoid spark
b. Forward Biasing
c. To get three AC of different phase.
Answer 12.
a. M-diode N – Resistor
b. i. Center Tap Transformer
ii. 2
c.

Answer 13.
a. Evaporation
b. High specific heat capacity of water.
c. High latent heat of fusion of ice.
Answer 14.
a. B1, B2
b. B3, B4
c. Resistance can be reduced and each appliance can be controlled separately.
Answer 15.
a. Morning
b.

Answer 16.
a. Increase
b. 512 Hz. Resonance. When the natural frequency of body undergoing vibration is equal to that of the influencing body, loud sound can be heard.
Answer 17.
a. difference in specific heat capacity
b. Water
c. Lead
Answer 18.
a.

b. P = I×V = 2×230 = 460 W
c. H = Pt = 460 × 10 × 60 = 276000 J
Answer 19.
a. Infrared
b. Violet
c. Ultra violet – Vitamin D, Skin cancer Infrared – Distant photography, Makes sunlight Hot.
Answer 20.
Solid – coal
Liquid – Petrol
b. Formed by the decomposition of plants and animals, buried smear the earth millions of years ago, in the absence of oxygen, under high pressure and temperature.
We hope the Kerala SSLC Physics Previous Question Papers with Answers 2018 help you. If you have any query regarding Kerala SSLC Physics Previous Question Papers with Answers 2018, drop a comment below and we will get back to you at the earliest.