Kerala SSLC Physics Previous Question Papers with Answers Paper 1 are part of Kerala SSLC Physics Previous Year Question Papers with Answers. Here we have given Kerala SSLC Physics Previous Question Papers with Answers Paper 1.
| Board | SCERT |
| Class | SSLC Class 10 |
| Subject | Physics |
| Category | Kerala SSLC Previous Question Papers |
Kerala SSLC Physics Previous Year Question Papers with Answers Paper 1 Free Download English Medium
Time Allowed: 1 1/2 hours
Cool off time: 15 Minutes
Maximum Marks: 40
Instructions
- First 15 minutes is cool off time.
- Answer the questions only after reading instructions and questions thoroughly.
- Questions are given in A, B, C, D sections. Write only 4 questions from each section.
- Score allotted for sections A, B, C, D are 1, 2, 3 and 4 respectively.
Questions
SECTION A
Question 1.
Name any two phenomenon of light that cause the formation of rainbow.
Question 2.
Fill up the blanks after observing the given relation.

Question 3.
Name the waves used in Wi-Fi.
Question 4.
Heating coil is made of an alloy Nichrome. Choose the metal which is not a constituent of it. (Nickel, Iron, Magnesium, Chromium)
Question 5.
Name the scale used to increases the strength of earthquake.
SECTION – B
Question 6.
Laser optics and fiber optics are two branches of photonics . Write two applications of Laser optics.
Question 7.

a. Write the output graph of the resistance R.
b. What is the name of this arrangement.
Question 8.
Secondary colours are formed by the combination of primary colours of same intensity. Give examples for two secondary colours and identify as primary colour.
Question 9.
Correct the underlined part of the following statements appropriately if it is wrong.
a. The energy possess by moving objects is kinetic energy. The total kinetic energy of particles in a body is chemical energy.
b. The specific heat capacity of land is higher than that of water. Hence the temperature of land rises up faster in day time
Question 10.
Give two advantages of LED bulbs.
SECTION – C
Question 11.

The figure shows the change in the electric signal.
a. Write the name of the process.
b. Which electronic device does this function.
(Resistor, Capacitor, Transistor. Light Emitting Diode)
c. Draw its symbol.
Question 12.
Discs A and B are painted as in figure. They are related very fast as indicated by the direction of the arrow.

a. What will be the colour of i.Disc A ii. Disc B
b. What property of the eye makes this possible?
c. What is the complementary colour of red ?
Question 13.

a. In which circuit will the lamp glow when switched on? Justify your answers
b. Give any one function of diode.
Question 14.
a. What is meant by specific heat capacity ?
b. Give two life situations based on the high specific heat capacity of water.
Question 15.
A tuning fork is excited and kept close to the mouth of a resonance column. Slowly raise the inner tube.

a. Write the observation
b. What is the reason behind this observation?
SECTION – D
Question 16.

a. Write the observation when the switch is kept on and off continuously.
b. What we can do for getting light continuously?
c. Explain the process.
Question 17.
When composite light passes through a prism it will split in to different colours.
i. Explain how the composite colour splits
ii. Explain one situation in which sunlight splits in to its composite colours?
iii. When sunlight passes through a glass prism which coloures are obtained?
Question 18.
Match the following columns A,B and C suitably.

Question 19.
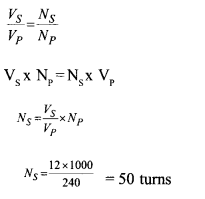
a. A transformer working on a 240 VAC supplies 12 V. The number of turns in the primary coil is 1000. Calculate the number of turns in the secondary coil
b. In this transformer thick wire is used in which coil primary or secondary and what is the reason for it.
Question 20.
The table given ahead shows the data obtained in an experiment for determining the specific heat capacity of coconut oil.

a. What is meant by specific heat capacity of a substance?
b. Write the answer in S.I unit of specific heat capacity
c. The heat energy required to raise the temperature of a substance of unit mass (1kg) by 1 kelvin is called the specific heat capacity of that substance.
Answers
Answer 1.
Refraction, total internal reflection
Answer 2.
Variable resistor
Answer 3.
Radio waves
Answer 4.
Magnesium
Answer 5.
Richter scale
Answer 6.
1. Bar code reader
2. CD, DVD writer
Answer 7.

b. Full wave rectifier
Answer 8.
Yellow→Red+Green
Magenta→Blue+Red
Cyan→Blue+Green
Answer 9.
a. The total kinetic energy of particle in a body is heat energy.
b. The specific heat capacity of land is lower than that of water.
Answer 10.
• Low energy consumption
• very small
Answer 11.
a. Amplification
b. Transistor
c.

Answer 12.
a. i. White
ii. Cyan
b. Persistence of vision
c. Cyan
Answer 13.
a. fig(i)
because when switch is on, the first circuit will be in forward biasing and second circuit will be in reverse biasing
b. Rectification
Answer 14.
a. The heat energy required to rise the temperature of a substance of mass 1 kg by 1 K is the specific heat capacity of that substance.
b. Water is used as a coolant in the radiator of engines
The variations in atmosphere temperature do not affect our body instantly.
Answer 15.
a. When tube raises slowly at a particulars position we can hear the sound loudly.
b. When the natural frequency of tuning fork and air column is equal, they are said to be in resonance. Now the loudness increases due to the increase in the amplitude.
Answer 16.
a. Bulb will light only alternatively. When switch is in the on position bulb will not light.
b. When AC current is given in primary coil its magnetic flux around will continuously changes and electricity is induced in the secondary coil.
c. Mutual induction : If two coils are set apart and the electric current through one of the coil changes by its intensity or direction, the magnetic flux around it changes and an electricity is induced in the second coil. This phenomenon is called mutual induction.
Answer 17.
i. The deviation is based on the wavelength. The light with the lowest wavelength has lightest deviation and the light with the highest wavelength has lowest deviation.
ii. Sunlight undergoes dispersion on minute water drops in the atmosphere and forms rainbow.
iii. Violet, Indigo, Blue, Green, Yellow, Orange and Red
Answer 18.

Answer 19.

b. For maintaining same power
Power = Voltage x Current
Therefore if voltage is lower, thickness of the coil must be increased. Therefore thick wire is used here on the secondary coil.
Answer 20.
a. The heat energy required to raise the temperature of a substance of unit mass (1 kg) by 1 kelvin is called the specific heat capacity of that substance.
b. S.I Unit: JKg-1K-1
c. m = 10 kg
Q = 420000J,
∆T = 20K
c = ?
Q = mc∆T

We hope the given Kerala SSLC Physics Model Question Papers with Answers Paper 1 will help you. If you have any query regarding Kerala SSLC Physics Model Question Papers with Answers Paper 1, drop a comment below and we will get back to you at the earliest.