ISC Physics Previous Year Question Paper 2012 Solved for Class 12
Maximum Marks: 70
Time allowed: 3 hours
- Candidates are allowed additional 15 minutes for only reading the paper. They must NOT start writing during this time
- Answer all questions in Part I and six questions from Part II, choosing two questions from each of the Sections A, B and C.
- All working, including rough work, should be done on the same sheet as, and adjacent to, the rest of the answer.
- The intended marks for questions or parts of questions are given in brackets [ ].
- Material to be supplied: Log tables including Trigonometric functions
- A list of useful physical constants is given at the end of this paper.
Part – I
(Answer all questions)
Question 1.
A. Choose the correct alternative A, B, C or D for each of the questions given below : [5]
(i) A body has a positive charge of 8 × 10-19 C. It has :
(A) an excess of 5 electrons
(B) a deficiency of 5 electrons
(C) an excess of 8 electrons
(D) a deficiency of 8 electrons
(ii) Figure below shows five dc sources (cells). Their emfs are shown in the figure.

Emf of the battery AB is :
(A) 8 V
(B) 6 V
(C) 4 V
(D) 2 V
(iii) Which one of the following graphs in figure represents variation of reactance ‘Xc’ of a capacitor with frequency ‘f’ of an ac supply :




(iv) White light is passed through sodium vapors contained in a thin walled glass flask and the transmitted light is examined with the help of a spectrometer. The spectrum so obtained is :
(A) Absorption spectrum
(B) Solar spectrum
(C) Band spectrum
(D) Continuous spectrum
(v) Binding energy of a nucleus is of the order of:
(A) Electron volt (eV)
(B) Kilo electron volt (KeV)
(C) Mega electron volt (MeV)
(D) a joule (J)
B. Answer all questions briefly and to the point: [15]
(i) A point charge of 5 × 10-6 C experiences a force of 2 × 10-3 N when kept in a uniform electric field of intensity E. Find E.
(ii) Which conservation principle is involved in Kirchhoff’s first law of electric circuits ?
(iii) Write an expression of magnetic flux density ‘B’ at a point in end – on position or an axial position of a magnetic dipole. (Derivation not required.)
(iv) In a moving coil galvanometer, what is meant by a radial magnetic field ?
(v) Variation of alternating current T with time lt’ is shown in the graph below:

What is the rms value of this current ?
(vi) Which electromagnetic radiation has wavelength greater than that of X rays and smaller than that of visible light ?
(vii) How did Fresnel construct a biprism in order to study interference of light ?
(viii) State Brewster’s law of polarisation of light. ‘
(ix) A thin convex lens (L1) of focal length 80 cm and a thin concave lens (L2) of focal length f are kept co-axially, 20 cm apart as shown in figure below. When a narrow and parallel beam of light is incident on the convex lens, beam emerging from the concave lens is also a parallel beam Find f.

(x) What condition must be satisfied by two thin lenses kept in contact so that they form an achromatic doublet, i.e., a combination free from chromatic aberration ?
(xi) Threshold frequency of a certain metal for photoelectric emission is 5 × 1014 Hz. Calculate its work function.
(xii) What conclusion was drawn by Rutherford based on Geiger-Marsden’s experiment on scattering of alpha particles ?
(xiii) Write a balanced nuclear reaction showing emission of a β– particle by \(\begin{array}{l}{234 \mathrm{Th}} \\ {90}\end{array}\) (Symbol of daughter nucleus formed in the process is Pa.)
(xiv) What is the essential difference between the working of a nuclear reactor and that of a fission bomb ?
(xv) State one important use of Zener diode.
Answer:

(ii) The Kirchhoff’s first law of electric circuit is based upon the principle of conservation of electric charge which implies that at any node (junction) in an electrical circuit, the sum of current moving into that node is equal to the sum of the current flowing out of that node.
\(\sum_{k=1}^{n} I_{k}=0\)
(iii) Expression for the magnetic flux density ‘B ’ at point in or an axial position of a magnetic dipole can be written as
\(\mathrm{B}=\frac{\mu_{0}}{4 \pi} \frac{2 \mathrm{M}}{r^{3}}\) (due to a short dipole)
where M is the moment of magnet, r is the distance of the point from mid-section of magnet.
(iv) In a moving coil galvanometer, the coil is suspended between the concave pole pieces. The magnetic field is thus directed along the radius of the concave pole pieces. This magnetic field is called radial magnetic field. The advantage is that in all positions of the coil, the magnetic field is parallel to plane of the coil.
(v) It is clear from the graph that peak current of ac is given by I0 = 5√2 A
\(\text { Now, } I_{\text {rms }}=\frac{I_{0}}{\sqrt{2}}=\frac{5 \sqrt{2}}{\sqrt{2}}=5 \mathrm{A}\)
(vi) Ultraviolet ray has a wavelength greater than X rays and smaller than that of visible light.
(vii) Biprism was constructed by the combination of two prisms of very small refracting angles, placed base to base. In practice, the prism is made from a single plate by grinding and polishing, so that it is a single prism with one of its angles about 179° and other two about 30° each.
(viii) Brewster’s states that for a given medium of refractive index μ the angle of polarisation is related as μ = tan ip, where ip is angle of polarisation. Then refractive index of a medium is equal to the tangent of the angle of polarisation.
(ix) It is clear from the figure that in the absence of the lens L2, the rays from infinity will come to focus at a distance of 80 cm from the lens L1. The image at serves as a virtual object for the concave lens and final image is formed at ∞.
∴ For the concave lens

i.e., the ratio of the dispersive power of the materials of the two lenses is the same as the ratio of their focal length. Further, one lens in the combination must be concave and the two lenses must be of different material.

(xii) The following conclusions were drawn by Rutherford from scattering of α-particles :
(1) The whole of +ve charge is concentrated in the nucleus of the atom. This is so because most of a-particles pass straight through the nucleus. Since only a very small fraction of the a-particles is scattered, nucleus must be small.
(2) The whole mass of the atom is also concentrated in a small region.
(3) Nucleus is surrounded by a cloud of electrons whose total – ve charge is equal to the total +ve charge on the nucleus.
(xii) The required nuclear reaction is
\(_{92} \mathrm{U}^{24} \longrightarrow_{93} \mathrm{U}^{234}+_{-1} \beta^{0}+\overline{\mathrm{v}}, \text { where } \overline{\mathrm{v}} \text { is called anti-neutrino. }\)
(xiv) The main difference between the nuclear reactor and a fission bomb is that whereas in a nuclear reaction, the chain reaction can be controlled and energy produced can be used for useful purpose, the chain reaction in fission bomb once started cannot be controlled and causes destruction.
(xv) A zener diode is used as a voltage stabiliser.
Part-II
Answer six questions in this part, choosing two questions from each of the Sections A, B and C.
Section-A
(Answer any two questions)
Question 2.
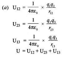
(a) Three point charges Q1 = 25 μC, Q2 = 50 μC and Q3 = 100 μC, are kept at the comers A, B and C respectively of an equilateral triangle ABC having each side equal to 7.5 m. Calculate the total electrostatic potential energy’ of the system. [4]
(b) Obtain an expression for equivalent capacitance C, when three capacitors having capacitance C1, C2 and C3 are connected in series. [3]
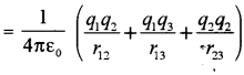
(c) When a potential difference of 3 V is applied between the two ends of a 60 cm long metallic wire, current density in it is found to be 1 x 10-7 Am-2 . Find conductivity of the material of the wire in SI system. [2]
Answer:




(b) In the figure are shown, three capacitor of capacity C1, C2 and C3 in series. In this case, the charge Q flowing through each of the capacitors is the same but difference across them is different. Let V be the potential difference of the battery and V1, V2 and V3 be the potential difference across them respectively. Then



Question 3.
(a) In the circuit shown in figure below, E is a battery of emf 6 V and internal resistance 1 Ω. Find the reading of the ammeter A, if it has negligible resistance : [4]

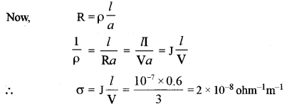
(b) With the help of a neatly drawn and labelled diagram, obtain balancing condition of a Wheatstone bridge. [3]
(c) State any two differences between Peltier effect and Joule effect [2]
Answer:


(b) In the figure is shown an unbalanced Wheatstone bridge. A current Ig flows from D to B i.e., D is at a higher potential. Let VA, VB, VC, and VB be the potential at the points A, B, C, and D respectively, then by applying Ohm’s law, we have



(c) Two differences between Peltier effect and Joule effect are :

Question 4.
(a) Figure alongside shows a point P near a long conductor XY carrying a current I. MN is a short current carrying conductor, kept at the point P, parallel to the conductor XY. [2]
(i) What is the direction of magnetic flux density ‘B’ at the point P due to the current flowing through XY ?
(ii) What is the direction of the force experienced by the conductor MN due to the current flowing through XY ?
(b) What are four different types of energy losses in a transformer? State how to reduce/minimize any one of them. [3]
(c) A 50 μF capacitor, a 30 Ω resistor and a 0.7 H inductor are connected in series to an ac supply which generates and emf ‘e’ given by e = 300 sin (200 t) Volt. Calculate peak value of the current flowing through the circuit. [4]
Answer:
(a) (i) By applying the thumb rule, we find that the magnetic field at P is directed downward perpendicular to the conductor MN.
(ii) Since the currents through the conductor MN and XY are flowing in the same direction, the force will be attractive i.e., the conductor MN is attracted towards XY.

(b) The four losses in a transformer are :
(i) Joules losses ,
(ii) Loss due to hysteresis
(iii) Eddy current losses
(iv) Loss due to leakage of flux
Eddy current losses in a transformer take place in the core of the transformer. This loss is reduced by laminating the iron core.
(c) We know that impedance Z of the LCR circuit is

Section-B
(Answer any two questions)
Question 5.
(a) On the basis of Huygens’s wave theory, prove Snell’s law of refraction of light. Draw a neat and labelled diagram. (Postulates of Huygens’s wave theory not required). [4]
(b) In Young’s double slit experiment using monochromatic light of wavelength 600 nm, interference pattern was obtained on a screen kept 1.5 m away from the plane of the two slits. Calculate the distance between the two slits, if fringe separation/fringe width was found to be 1.0 mm. [2]
(c) Draw a labelled graph to show variation in intensity of diffracted light with angular position, in a single slit diffraction experiment. [2]
Answer:

We focus our attention on the instant ray 1 strikes the surface and subsequent time interval. Until ray 2 strikes the surface. During this time interval, the wave at A send out a Huygens’s wavelet towards D. In the same time interval, the wave at B sends out Huygens’s wavelet towards C. Since two wavelets travel through different mediums, thus radii of the two wavelets are different.


Question 6.
(a) You are provided with a narrow and parallel beam of light. State how you will determine experimentally, whether it is a beam of ordinary (unpolarised) light, partially polarised light or completely polarised light. [3]
(b) For any prism, show that refractive index of its material is given by : [3]
\(n \text { or } \mu=\frac{\sin \left(\frac{A+\delta_{m}}{2}\right)}{\sin \left(\frac{A}{2}\right)}\)
where the terms have their usual meaning.
(c) Figure below shows a parallel beam of monochromatic light incident on a convex spherical surface, radius of curvature R = 30 cm, which separates glass (refractive index = 1.6) from air. Find the position of the image formed due to refraction of light at this single spherical surface.

Answer:
(a) Our eyes cannot distinguish between polarized and unpolarised light. Polaroids can, however, be used to examine whether a given light is polarized or unpolarised. For this, the given light is passed through a Polaroid and the Polaroid is rotated about the incident light.
(i) If on rotating the Polaroid through one complete rotation there is no change in the intensity of the emergent light in any position, then the given light is unpolarised.
(ii) It there is change in the intensity of emergent light and in one complete rotation of Polaroid the intensity became twice maximum or twice zero, then the given light is completely plane polarized.
(iii) If the intensity of light changes but never became zero, then the light is partially polarized.
(b) In the figure is shown, a ray light PQ incident at an angle i on the face AB of a prism ABC. This ray is refracted along QR at an angle r1. This refracted ray is incident on the face AC at an angle r2 and emerges along RS at an angle e. Angle of deviation is the angle between the incident ray produced forward and emergent ray produced backwards. Clearly,




Question 7.
(a) (i) What is meant by :
(A) Spherical aberration ?
(B) Chromatic aberration ? [3]
(ii) How can spherical aberration be reduced/minimized ? Suggest any one method.
(b) A compound microscope consists of an objective of focal length 2 cm and an eye piece of focal length 5 cm. When an object is kept 2.4 cm from the objective, final image formed is virtual and 25 cm from the eye piece. Determine magnifying power of this compound microscope in this set up i.e., in normal use. [3]
(c) (i) Define Resolving Power of a simple astronomical telescope. [2]
(ii) State one advantage of a reflecting telescope over refracting telescope.
Answer:
(a) (i) (A) Spherical aberration : When a parallel beam of light is incident on a lens, it is observed that the rays suffering refraction from the peripheral portion of the lens comes to focus at a point near the lens and rays suffering refraction from near the axes of the lens comes to focus at a point away from the lens. Due to this, the image is not sharp and is spread along the axis. This defect in the image is called spherical aberration. This aberration is reduced by
(i) using crossed lens
(ii) using an aperture or a stopper.
(B) Chromatic aberration: A lens, as we know, is a combination of prisms placed one above the other with central region behaving as plane glass plate. A prism produces both deviation and dispersion. The deviation suffered by the red color in the incident white light is less as compared with that of violet fight. Thus, instead of getting a point image of a point object, we get a colored image. Thus, the image is distorted. This failure of the lens to bring the rays of different colors to focus at the same point is called chromatic aberration.
(ii) Spherical aberration can be minimized by bending the lens into its best form. The use of symmetric doublets greatly reduces spherical aberration.


(c) (i) Resolving power of a simple telescope is defined as the ability of an simple telescope to separate point of an object that are located at a smaller angular distance. It is given by following expression:
\(\mathrm{P}_{\mathrm{R}}=\frac{120}{\mathrm{D}_{\mathrm{o}}}\left(\text { where } \mathrm{D}_{\mathrm{o}} \text { is in } \mathrm{mm}\right)\)
(ii) Reflecting telescope does not suffer from chromatic aberration because all wavelengths will reflect of the mirror in the same way which is not the case with refracting telescope.
Section-C
(Answer any two questions)
Question 8.
(a) Electrons having a velocity \(\vec{v}\) of 2 × 106 ms-1 pass undeviated through a uniform electric field \(\vec{E}\) of intensity 5 × 104 Vm-1 and a uniform magnetic field \(\vec{B}\) . [2]
(i) Find the magnitude of magnetic flux density B of the magnetic field. [2]
(ii) What is the direction of \(\vec{B}\), if \(\vec{v}\) is towards right and \(\vec{E}\) is vertically downwards in the plane of this paper ?
(b ) Monochromatic light of wavelength 198 nm is incident on the surface of a metal, whose work function is 2.5 eV. Calculate the stopping potential. [3]
(c) Energy levels of H atom are given by: [3]
\(\mathrm{E}_{n}=-\frac{13.6}{n^{2}} \mathrm{eV}\)
where n is Principal Quantum number. Calculate the wavelength of electromagnetic radiation emitted by hydrogen atom resulting from the transition: n = 2 to n = 1.
Answer:


ii) The electron will experience a force in the upward direction due to the electric field in the plane of the paper. Since the electron passes undeviated, the force due to the magnetic field will be in the downward direction. The direction of the: force on the electron will be in the down ward only if B is directed downward perpendicular to the plane of paper
\((\overrightarrow{\mathrm{F}_{m}}=-e(\vec{v} \times \overrightarrow{\mathrm{B}}))\)



Question 9.
(a) (i) What is Compton effect ? [3]
(ii) In Coolidge X-Ray tube (Modem X-Ray tube) how will you vary :
(1) intensity of emitted X-Rays ?
(2) penetrating power of emitted X-Rays ?
(b) Complete the following table for a radioactive element whose half life is 5 minutes. Assume that you have 32 g of this element at start, i.e., at t = 0. [3]

Now, using this data, plot the “decay curve.”
(c) Calculate the energy released when an electron annihilates a positron. [2]
Answer:
(a) (i) Compton effect: It is the increase in wavelength of the electromagnetic radiation when these radiations are scattered by tree electrons or from elements of low atomic weight. Some of the energy of the incident photon is transferred to the electron due to which its wavelength increases.
(ii) (1) The intensity of the ejected X-rays depends upon the number of electrons striking the anti cathode which in its turn depends upon the heating current in the filament. Thus, the intensity of X-rays can be changed by changing the healing current or temperature.
(2) The penetrating power of the X-rays depends upon the accelerating voltage i.e., potential difference between the cathode and the anti cathode. More the accelerating voltage, more the penetrating power of the X-rays.
(b) The completed table is as given below : Half life of radioactive element is 5 minutes.


Question 10.
(a) Draw a labelled energy band diagram for a solid which is an insulator. What is the main difference between this diagram and that of a semiconductor ? [3]
(b) Figure below shows the circuit of an electronic device : [3]

(i) Which electronic device : a rectifier, an amplifier or an oscillator does the above circuit represent ?
(ii) State where the input voltage is applied and where the output voltage is available.
(iii) Compare the output voltage of this circuit with its input voltage.
(c) Prepare a truth table for the combination of gates shown in figure below : [2]


Answer:

The main difference in energy band diagram of solid insulator and that of conductor is in case of insulator there is wide energy gap between valance band and conduction band whereas this gap is small in case of semiconductor.
(b) (i) This is the circuit diagram of a common emitter amplifier (using p-n-p transistor)
(ii) The input is applied in between AB and the output is obtained at load i.e., in between MN.
(iii) The output and input voltage of the given circuit has the phase difference of 180° i.e., there is a phase reversal as shown in the diagram alongside.

(c) A study of the gates shows that it is a NAND gate followed by a NOT gate i.e., it represents a AND gate.
\(\overline{\mathrm{A} \cdot \mathrm{B}}=\mathrm{A} \cdot \mathrm{B}\)
Its truth table is as given below:
