ISC Physics Previous Year Question Paper 2017 Solved for Class 12
Maximum Marks: 70
Time allowed: Three hours
- Candidates are allowed additional 15 minutes for only reading the paper. They must NOT start writing during this time
- Answer all questions in Part I and ten questions from Part 11, choosing four questions from
- Section A, three questions from Section B and three questions from Section C.
- All working, including rough work, should be done on the same sheet as, and adjacent to, the rest of the answer.
- The intended marks for questions or parts of questions are given in brackets [ ].
- Material to be supplied: Long tables including Trigonometric functions.
- A list of useful physical constants is given at the end of this paper.
Part – I (20 Marks)
(Answer all questions)
Question 1.
(a) Choose the correct alternative (a), (b), (c) or (d) for each of the questions given below: [5]
(i) The electrostatic potential energy of two point charges, 1 μC each, placed 1 metre apart in air is :
(a) 9 x 103 J
(b) P x 109 J
(c) 9 x 10-3J
(d) 9 x 10-3 eV
(ii) A wire of resistance R ’ is cut into ‘n ’ equal parts. These parts are then connected in parallel with each other. The equivalent resistance of the combination is :
(a) nR
(b) R/n
(c) n/R2
(d) R/n2
(iii) Magnetic susceptibility of platinum is 0.0001. Its relative permeability is :
(a) 1.0000
(b) 0.9999
(c) 1.0001
(d) 0
(iv) When a light wave travels from air to glass :
(a) its wavelength decreases
(b) its wavelength increases
(c) there is no change in wavelength
(d) its frequency decreases.
(v) A radioactive substance decays to 1/16th of its initial mass in 40 days. The half life of the substance, in days, is:
(a) 20
(b) 10
(c) 5
(d) 2.5
B. Answer all questions given below briefly and to the point: [15]
(i) Maximum torque acting on the electric dipole of moment 3 × 10-29 Cm in a uniform electric field E is 6 × 10-25 Nm. Find E.
(ii) What is meant by drift speed of free electrons ?
(iii) On which conservation principle is Kirchhoff’s Second Law of electrical networks based ?
(iv) Calculate magnetic flux density of the magnetic field at the center of a circular coil of 50 turns, having radius of 0.5 m and carrying a current of 5 A. .
(v) An a.c. generator generates an emf ‘s’ where e = 314 Sin (50 πt) volt. Calculate the frequency of the emf ∈.
(vi) With what type of source of light are cylindrical wave fronts associated ?
(vii) How is fringe width of an interference pattern in Young’s double slit experiment affected if the two slits are brought closer to each other ?
(viii) In a regular prism, what is the relation between angle of incidence and angle of emergence when it is in the minimum deviation position ?
(ix) A converging lens of focal length 40 cm is kept in contact with a diverging lens of focal length 30 cm. Find the focal length of the combination.
(x) How can the spherical aberration produced by a lens be minimised ?
(xi) Calculate the momentum of a photon of energy 6 x 10-19 J.
(xii) According to Bohr, Angular momentum of an orbiting electron is quantised. ’ What is meant by this statement ?
(xiii) Why nuclear fusion reaction is also called thermo-nuclear reaction ?
(xiv) What is the minimum energy which a gamma ray photon must possess in order to produce electron-positron pair ?
(xv) Show the variation of voltage with time, for a digital signal.
Answers:




Part – II (20 Marks)
Answer ten questions in this part, choosing four questions from Section A, three questions from Section B and three questions from Section C
Section-A
(Answer any four questions)
Question 2.
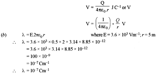
(a) Show that electric potential at a point P, at a distance ‘r’ from a fixed point charge Q, is given by: [4]
\(\mathrm{V}=\left(\frac{1}{4 \pi \varepsilon_{0}}\right) \frac{Q}{r}\)
(b) Intensity of electric field at a perpendicular distance of 0.5 m from an infinitely long line charge having linear charge density (X) is 3.6 x 103 Vm-1. Find the value of λ . [1]
Answer:



Question 3.
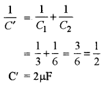
(a) Three capacitors C1 = 3 μF, C1 = 6 μF and C1= 10 μF are connected to a 50 V battery as shown in the Figure 1 below : [3]

Calculate :
(i) The equivalent capacitance of the circuit between points A and B.
(ii) The charge on C1
(b) Two resistors R1 = 60 Ω and R2 90 Ω are connected in parallel .If electric power consumed by the resistor R1 is 15 W, calculate the power consumed by the resistor R2. [2]
Answer:
a) C1 = 3 μF1, C2 = 6 μF, C3 = 10 μF
If C’ be in equivalent capacitance between C1 and C2, then


Question 4.
(a) Figure 2 below shows two resistors R1 and R2 connected to a battery having an emf of 40 V and negligible internal resistance. A voltmeter having a resistance of 300 Ω is used to measure potential difference across R1. Find the reading of the voltmeter. [3]

(b) A moving coil galvanometer has a coil of resistance 59 Ω. It shows a full scale deflection for a current of 50 mA. How will you convert it to an ammeter having a range of 0 to 3A ? [2]
Answer:

Question 5.
(a) In a meter bridge circuit, resistance in the left hand gap is 2 Ω and an unknown resistance X is in the right hand gap as shown in Figure 3 below. The null point is found to be 40 cm from the left end of the wire. What resistance should be connected to X so that the new null point is 50 cm from the left end of the wire ?

b) The horizontal component of earth’s magnetic field at a place is 1/√3 times the vertical component. Determine the angle of dip at that place.
Answer:

Question 6.
(a) Using Ampere’s circuital law, obtain an expression for the magnetic flux density ‘B’ at a point X’at a perpendicular distance ‘r from a long current carrying conductor. (Statement of the law is not required). [3]
(b) PQ is a long straight conductor carrying a current of 3A as shown in Figure 4 below. An electron moves with a velocity of 2 × 107 ms-1 parallel to it. Find the force acting on the electron.

Answer:


Question 7.
(a) (i) AB and CD are two parallel conductors kept 1 m apart and connected by a resistance R of 6 Ω as shown in Figure 5 below. They are placed in a magnetic field B = 3 × 10-2 T which is perpendicular to the plane of the conductors and directed into the paper. A wire MN is placed over AB and CD and then made to slide with a velocity 2 ms-l. (Neglect the resistance of AB, CD. and MN). [3]

Calculate the induced current flowing through the resistor R.
(ii) In an ideal transformer, an output of 66 kV is required when an input voltage of 220 V is available. If the primary has 300 turns, how many turns should the secondary have ?
(b) In a series LCR circuit, obtain an expression for the resonant frequency. [2]
Answer:



Section – B
(Answer any three questions)
Question 8.
(a) (i) State any one property which is common to all electromagnetic waves. [3]
(ii) Arrange the following electromagnetic waves in increasing order of their frequencies
(i.e., begin with the lowest frequency) :
Visible light, γ-rays, X-rays, microwaves, radio waves, infrared radiations and ultraviolet radiations.
(b) (i) What is meant by diffraction of light ? [2]
(ii) In Fraunhofer diffraction, what kind of source of light is used and where is it situated?
Answers :
(a) (i) Electromagnetic waves do not deflect in electric and magnetic fields.
(ii) Radio waves < micro waves < infrared < visible light < ultraviolet radiations < X-rays < γ-rays.
(b) (i) When a light ray is obstructed by an object having the size of the order of the wavelength of the ray in its path, light bends from the sharp edge and infers in the region of geometrical shadow. This phenomenon is known as diffraction of light.
(ii) A convex lens is placed in front of a monochromatic light source such that parallel light rays fall on a narrow slit.
Question 9.
(a) In Young’s double slit experiment using monochromatic light of wavelength 600 nm, 5th bright fringe is at a distance of 0.48 mm from the center of the pattern. If the screen is at a distance of 80 cm from the plane of the two slits, calculate : [3]
(i) Distance between the two slits.
(ii) Fringe width i.e., fringe separation.
(b) (i) State Brewster’s law.
(ii) Find Brewster’s [2]
Answer:

Question 10.
(a) Find critical angle for glass and water pair, given refractive index of glass is 1.62 and that of water is 1.33. [2]
(b) Starting with an expression for refraction at a single spherical surface, obtain Lens Maker’s Formula. [3]
Answers :



Question 11.
(a) A compound microscope consists of two convex lenses of focal length 2 cm and 5 cm. When an object is kept at a distance of 2.1 cm from the objective, a virtual and magnified image is formed 25 cm from the eye piece. Calculate the magnifying power of the microscope. [3]
(b) (i) What is meant by resolving power of a telescope ?
(ii) State any one method of increasing the resolving power of an astronomical telescope. [2]
Answer:

Section – C
(Answer any three questions)
Question 12.
(a) (i) Plot a labelled graph of /Vs/ where Vs is stopping potential versus frequency f of the incident radiation.
(ii) State how will you use this graph to determine the value of Planck’s constant. [3]
(b) (i) Find the de Broglie wavelength of electrons moving with a speed of 7 x 106 ms-1. [2]
(ii) Describe in brief what is observed when moving electrons are allowed to fall on a thin graphite film and the emergent beam falls on a fluorescent screen.
Answer:


Question 13.
(a) Draw energy level diagram for hydrogen atom, showing first four energy levels corresponding to n = 1, 2, 3 and 4. Show transitions responsible for : [3]
(i) Absorption spectrum of Lyman series.
(ii) Emission spectrum of Balmer series.
(b) (i) Find maximum frequency of X-rays produced by an X-ray tube operating at a tube potential of 66 kV. [2]
(ii) State any one difference between characteristic X-rays and continuous X-rays.
Answer:


(ii) Continuous X-ray consists of all possible wavelength of X-ray with lower wavelength limit whereas characteristic or line X-ray consists of definite wavelength superimposed on continuous X-ray.
Question 14.
(a) Obtain a relation between half life of a radioactive substance and decay constant (λ). [2]
(b) Calculate mass defect and binding energy per nucleon of \(\begin{array}{l}{20} \\ {10}\end{array} \mathrm{Ne}\) , given [3]
\(\text { Mass of }_{10}^{20} \mathrm{Ne}=19.992397 u\)
\(\text {Mass of }_{1}^{1} H=1.007825 u\)
\(\text {Mass of } \frac{1}{0} n=1.008665 u\)
Answer:



Question 15.
(a) With reference to a semiconductor diode, what is meant by :
(i) Forward bias
(ii) Reverse bias
(iii) Depletion region
(b) Draw a diagram to show how NAND gates can be combined to obtain an OR gate (Truth table is not required). [2]

Answers:
(a) (i) Forward bias: When a battery’ is connected to a p-n diode such that the current is in the direction of diode current, the arrangement is called forward bias.
(ii) If the current flows opposite to the direction of diode current, this is called reverse bias.
(iii) Depletion Zone : In p-n diode, the region in which electrons and holes neutralize each other is called depletion region or zone.
