ISC Physics Previous Year Question Paper 2014 Solved for Class 12
Part-I
(Answer all questions)
Question 1.
(A) Choose the correct alternative (a), (b), (c) or (d) for each of the questions given below : [5]
(i) The intensity of electric field at a point at a perpendicular distance ‘r’ from an infinite line charge, having linear charge density ‘λ’ is given by:
(a) \(E=\left(\frac{1}{4 \pi \epsilon_{0}}\right) \frac{\lambda}{r}\)
(b) \(E=\left(\frac{1}{4 \pi \epsilon_{0}}\right) \frac{2 \lambda}{r}\)
(c) \(E=\left(\frac{1}{4 \pi \epsilon_{0}}\right) \frac{\lambda}{r^{2}}\)
(d) \(E=\left(\frac{1}{4 \pi \epsilon_{0}}\right) \frac{2 \lambda}{r^{2}}\)
(ii) If R1 and R2 are filament resistances of a 200 W and a 100 W bulb respectively, designed to operate on the same voltage, then:
(a) R1 = R2
(b) R2 = 2R1
(c) R2 = 4R1
(d) R1 = 4R2
(iii) A metallic wire having length of 2 m and weight of 4 x 10-3 N is found to remain at rest in a uniform and transverse magnetic field of 2 x 10-4 T. Current flowing through the wire is:
(a) 10 A
(b) 5 A
(c) 2 A
(d) l A
(iv) When a beam of white light is passed through sodium vapors and then through a spectrometer, spectrum so obtained has two dark lines present in the yellow region. This spectrum is called:
(a) band spectrum
(b) continuous spectrum
(c) absorption spectrum of sodium
(d) emission spectrum of sodium
(v) If l3 and l2 represent angular momenta of an orbiting electron in III and II Bohr orbits respectively, then l3: l2 is :
(a) 3:2
(b) 9:4
(c) 2:3
(d) 4:9
(B) Answer all questions given below briefly and to the point: [15]
(i) A parallel plate air capacitor has a capacitance of 5 μF. It becomes 50 μF when a dielectric medium occupies the entire space between its two plates. What is the dielectric constant of the medium ?
(ii) Find the emf of the battery shown in figure :

(iii) Two substances A and B have their relative permeability slightly greater and slightly less than 1 respectively. What do you conclude about A and B as far as their magnetic materials are concerned?
(iv) When does a moving charged particle nor experience any force while moving through a uniform magnetic field ?
(v) What is the turns ratio i.e., transformer ratio, ns: np, in an ideal transformer which in-creases ac voltage from 220 V to 33000 V ?
(vi) What is meant by coherent sources of light ?
(vii) A ray of light is incident on a transparent medium at polarizing angle. What is the angle between the reflected ray and the refracted ray ?
(viii) Name the physical principle on which the working of optical fibers is based.
(ix) What is meant by shortsightedness ?
(x) How does focal length of a convex lens change with increase in wavelength of incident light?
(xi) With reference to photoelectric effect, what is meant by threshold wavelength ?
(xii) Half life of a certain radioactive element is 3.465 days. Find its disintegration constant.
(xiii) Binding energy per nucleon for helium nucleus (2 He) is 7.0 MeV Find value of mass defect for helium nucleus.
(xiv) Write one balanced reaction representing nuclear fusion.
(xv) Draw the truth table of a NOR gate.
Answers:
(A) (i) (b)
(ii) (b)
(iii) (a)
(iv) (c)
(v) (a)
(B) \(\begin{aligned} \text { (i) We know that } &=\mathrm{KC}_{0} \\ \therefore \mathrm{K} &=\frac{\mathrm{C}}{\mathrm{C}_{0}}=\frac{50}{5}=10 \end{aligned}\)
(ii) Net emf of the cells in each row = 6 V
Since the two rows are connected in parallel.
Net emf = emf of each row = 6 V
(iii) Since the permeability of a paramagnetic is slightly greater than 1 and that of a diamag¬netic substance is less than A, A must be paramagnetic and B must be diamagnetic.
(iv) Charged particle does not experience any force when it moves in the direction of the magnetic field.
(v) \(\frac{n_{s}}{n_{p}}=\frac{E_{s}}{E_{p}}=\frac{33000}{220}=150\)
(vi) Two sources of light which emit light of the same frequency and wavelength having a constant phase difference between them and preferably of the same amplitude are called coherent sources. They are desired from the same source.
(vii) When the ray of light is incident at the polarizing angle, the angle between the reflected and refracted ray is 90°.
(viii) Optical fibers are based on the principle of total internal reflection.
(ix) It is a defect of the eye. A shortsighted person can see only near objects clearly but is not able to see far objects clearly. It is due to the decrease in focal length of the eye lens.
(x) The focal length of a convex lens increases as the wavelength increases. This is so because the refractive index decreases with increase in wavelength of light.
(xi) Threshold wavelength is the maximum wavelength of light corresponding to which the photoelectric effect just starts.
(xii) TH = 3.465 days, λ = ?

(xv) The truth table for NOR gate which is a combination of ‘OR’ gate followed by a NOT gate is given below

Part-II
(Answer six questions in this part, choosing two questions from each of the Sections A, B and C)
Section-A
(Answer any two questions)
Question 2.
(a) An electric dipole of dipole moment \(\vec{p}\) is placed in a uniform electric field \(\vec{E}\) with its axis inclined to the field. Write an expression for the torque \(\vec{T}\) experienced by the dipole in vector form. Show diagrammatically how the dipole should be kept in the electric field so that the torque acting on it is:
(i) maximum
(ii) zero [3]
(b) You are provided with 8 μF capacitors. Show with the help of a diagram how you will arrange minimum number of them to get a resultant capacitance of 20 μF. [3]
(c) (i) Define temperature coefficient of resistance of the material of a conductor. [3]
(ii) When the cold junction of a thermo couple is maintained at 0°C, the thermo emf ‘e’, generated by this thermo couple is given by the relation :
\(e=\left[16.8 \theta+\frac{1}{2}(-0.048) \theta^{2}\right] \times 10^{-6}\)
where θ is the temperature of the hot junction in °C. Find the neutral temperature of this thermo couple.
Answer:
(a) The torque experienced by the dipole is written as \(\vec{\tau}=\vec{p} \times \vec{E}\)
(i) The torque experienced by a dipole is maximum when it is placed perpendicular to the direction of electric field as shown.

(ii) T= 0 if the dipole moments are parallel to the direction of electric field.

(b) The arrangement of 8 pF capacitor to get a capacity of 20 μF is as shown in the fig. Total capacity = 8 + 4 + 8 = 20 μF

(c) (i) Temperature coefficient of resistance is defined as the change in resistance per unit original resistance at 0°C per degree centigrade rise of temperature.
Question 3.
(a) Draw a labelled circuit diagram of a potentiometer to compare emfs of two cells. Write the working formula (Derivation not required). [3]
(b) How much resistance should be connected to 15 Ω resistor shown in the circuit in figure below so that the points M and N are at the same potential: [3]

(c) (i) With reference to free electron theory of conductivity, explain the terms: [3]
(a) Drift speed
(b) Relaxation time
(ii) What is the colour code of a carbon resistor having a resistance of 470 Ω. and a tolerance of 5%?
Answer:

(c) (i) (a) In metals, we have a large number of free electrons which are in random motion i.e.,will move all possible speeds in all possible directions. Dining their random motion, they collide and their velocities change. Due to the random motion, the number of electrons crossing any section of the conductor is zero. As a result no current flows. However ,when a potential difference is applied across the ends of the metallic conductor, the electrons drift under the effect of the applied electric field in one direction with a very small velocity called the drift velocity. As a result of which a net current flows through the conductor.
(b) Relaxation time is defined as the average time between two successive collisions of the electrons with the positive ions in the metal.
(ii) The colors of a resistance of 470 Ω ± 5% is Yellow, Violet, Brown, Gold.
Question 4.
(a) (i) State Tangent Law in magnetism. [2]
(ii) At a certain temperature, a ferromagnetic material becomes paramagnetic. What is this temperature called?
(b) (i) State Biot Savart law. [3]
(ii) Find magnetic flux density at a point on the axis of a long solenoid having 5000 tums/m when it carrying a current of 2 A.
(c) An alternating emf of 110 V is applied to a circuit containing a resistance R of 80 Ω and an inductor L in series. The current is found to lag behind the supply voltage by an angle 8 = tan-1 (3/4). Find the: [4]
(i) Inductive reactance
(ii) Impedance of the circuit
(iii) Current flowing in the circuit
(iv) If the inductor has a coefficient of self inductance of 0.1 H, what is the frequency of the applied emf?
Answer:
(a) (ii) This temperature at which a ferromagnetic substance becomes paramagnetic is called
Curie temperature.
(b) (i) The magnetic induction, according to Biot Savart law, at a point P at a distance r due to current element Idl is given by





Section-B
(Answer any two questions)
Question 5.
(a) Name the part of the electromagnetic spectrum which is: [2]
(i) Suitable for radar systems used in aircraft navigation.
(ii) Produced by bombarding a metal target with high electrons.
(b) In Young’s double slit experiment, using monochromatic light, fringes are obtained on a screen placed at some distance from the slits. If the screen is moved by 5 x 10-2 m towards the slits, the change in the fringe width is 3 x 10-5 m. If the distance between the two slits is 10-3 m, calculate wavelength of the light used. [3]
(c) (i) State Brewster’s law of polarization of light.
(ii) How will you identify with the help of an experiment whether a given beam of light is of polarized light or of unpolarized light? [3]
Answer:
(a) (i) Microwaves or short rodio waves.
(ii) X-rays are produced by the bombardment of metal target with high speed electrons.
(b) Here, ΔD = 5 x 10-2 m, Δβ = 3 ×10-5 m, d = 10-3 m, λ = ?
We know that fringe width in Young’s double slit experiment is given by

(a) (i) Brewster’s law states that the tangent of the angle of polarization is equal to the refractive index of the medium.
i.e., μ = tan lp, where p is the refractive index and lp the polarizing angle.
(ii) The given beam is made to pass through a polaroid. The polaroid is now rotated about the direction of the incident light. If there is no change in the intensity of the transmitted light, it is unpolarized. If there is a change in the intensity of the transmitted light, then the incident light is polarized.
Question 6.
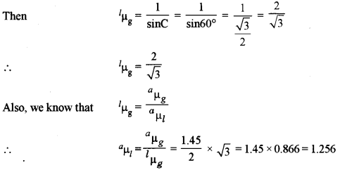
(a) A narrow beam of monochromatic light, PQ, is incident normally on one face of an equiangular glass prism of refractive index 1.45. When the prism is immersed in a certain liquid, the ray makes a grazing emergence along the other face (See figure). Find the refractive index of this liquid. [2]

(b) When two thin lenses of focal lengths f1 and f2 are kept co axially and in contact, prove that their combined focal length ‘f’ is given by: [3]
\(\frac{1}{f}=\frac{1}{f_{1}}+\frac{1}{f_{2}}\)
(c) The figure below shows the positions of a point object O, two lenses, a plane mirror and the final image I which coincides with the object. The focal length of the convex lens is 20 cm. Calculate the focal length of the concave lens. [3]

Answer:
When the prism is immersed in the liquid and the incident ray emerges along AC, it is clear that it must be incident at the critical angle C on the face AC.
From the figure, \(\begin{array}{l}{\angle \mathrm{A}+\angle \mathrm{ARQ}=\angle \mathrm{C}+\angle \mathrm{ARQ}} \\ {\therefore \angle \mathrm{C}=\angle \mathrm{A}=60^{\circ}}\end{array}\)
Critical angle when the prism is immersed in the liquid is 60°.
If μg is the refractive index of the material of the prism w.r.t. liquid

(b) Let two thin lenses L1 and L2 of focal lengths f1 and f2 be put in contact. O is a point object at a distance u from the lens L1 Its image is formed at I after refraction through the two lenses at a distance v from the combination. The lens L1 forms the image of O at I’. I’, then serves as a virtual object for the lens L2 which forms a real image at I.


(c) Since the image of the object coincides with the object itself, the rays of light passing through the lens combination strike the mirror normally. The point I’ where the rays of light are converged by the convex lens must be the focus of the concave lens because the emergent rays are parallel to the principal axis. For the convex lens

![]()
Now, distance between the two lenses is 16 cm.
∴ Focal length of the concave lens = 36 – 16 = 20 cm
Since the lens is concave, f= – 20 cm
Question 7.
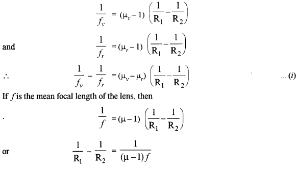
(a) (i) What is meant by dispersive power of a transparent material? [4]
(ii) Show that, two thin lenses kept in contact, form an achromatic doublet if they satisfy the condition:
\(\frac{\omega}{f}+\frac{\omega^{\prime}}{f^{\prime}}=0\)
where the terms have their usual meaning.
(b) (i) Define magnifying power of a microscope in terms of visual angle.
(ii) What is the advantage of a compound microscope over a simple microscope? [2]
(c) An astronomical telescope uses two lenses of powers 10 dioptre and 1 dioptre. If the final image of a distant object is formed at infinity, calculate the length of the telescope. [2]
Answer.
(a) (i) Dispersive power of a transparent material: When white fight is incident on a prism, it
is split up into its constituent colours. Different colours are deviated through different angles. The violet colour is deviated the most and the red colour the least. Dispersive power is defined as the ratio of angular dispersion i. e., angle between the violet and red colours to the mean deviation of the mean yellow colour of fight. It is denoted by co and it depends upon the nature of the medium.
(ii) The focal length of a single lens is different for different colours. The image formed by a single lens suffers from chromatic aberration. However, it is possible to combine two lenses of different materials and focal lengths to form an achromatic combination in which fr =fv and image is free from chromatic aberration.
According to lens maker’s formula



Question 8.
(a) Answer the following questions with reference to Millikan’s oil drop experiment: [3]
(i) What is an atomiser ?
(ii)What is the use of an X-ray tube ?
(iii) What is the unique property shown by the charge of an oil drop ?
(b) (i) Write Einstein’s photoelectric equation. [3]
(ii) If the frequency of the incident radiation is increased from 4 × 1015 Hz to 8 × 1015 Hz, by how much will the stopping potential for a given photosensitive surface go up ?
(c) (i) What are matter waves? [2]
(ii) Show with the help of a labelled graph how their wavelength (λ) varies with their linear momentum (p).
Answer:
(a) (ii) X-ray tube is used to charge the oil drops by ionising them.
(iii) It was found that the charge on the oil drop was always some integral multiple of some minimum charge i. e.,
Q = ± Ne, where N is an integer
‘e’ is regarded as the charge on the electron.
(b) (i) Einstein’s photoelectric equation is
\(h v=h v_{0}+\frac{1}{2} m v_{\max }^{2}\)
Where v and v0 are the frequencies of incident light and threshold frequency and vmax the maximum velocity of the ejected electron.

Question 9.
(a) The energy levels of an atom of a certain element are shown in the given figure. Which one of the transitions A, B, C, D or E will result in the emission of photons of electromagnetic radiation of wavelength 618.75 nm ? Support your answer with mathematical calculations. [3]

(b) Voltage applied between cathode and anode of an X-ray tube is 18 kV. Calculate the minimum wavelength of the X-rays produced. [2]
(c) In a nuclear reactor, what is the function of: [3]
(i) The moderator
(ii) The control rods
(iii) The coolant
Answer:

(c) (i) The function of moderator is to slow down the neutrons to thermal energies due to collision between the nuclei and neutrons produced in fission.
(ii) The function of control rods are used to control the rate at which fission takes place, control rods are of cadmium which can absorb neutrons and thus control the fission reaction.
(iii) Coolant is used to remove the heat which is released inside the reactor.
Question 10.

(b) In semiconductor physics, what is meant by: [3]
(i) rectifier
(ii) an amplifier
(iii) an oscillator
(c) With the help of a diagram, show how you can use several NAND gates to obtain an OR gate. [2]

Answer:

(ii) Neutrino: A neutrino is zero rest mass and charge less elementary particle. They have a very weak interaction with matter. They possess energy and momentum.
(b) (i) Rectifier: It is a device which converts alternating current into direct current.
(ii) Amplifier : An amplifier is a device which increases the energy of a weak signal by supplying energy from an external source. An amplifier increases the amplitude of a input signal.
(iii) Oscillator: An oscillator is a device which produces electrical oscillations of adjustable frequency and constant amplitude. An oscillator is basically an amplifier. A part of the output energy is fed back into the L-C circuit to produce sustained oscillations. .
(c) In the figure is shown an ‘OR’ gate produced by combining ‘NAND’ gates only.
