ISC Maths Previous Year Question Paper 2014 Solved for Class 12
Time Allowed: 3 Hours
Maximum Marks: 100
(Candidates are allowed additional 15 minutes for only reading the paper. They must NOT start writing during this time.)
- The Question Paper consists of three sections A, B and C.
- Candidates are required to attempt all questions from Section A and all questions either from Section B or Section C.
- Section A: Internal choice has been provided in three questions of four marks each and two questions of six marks each.
- Section B: Internal choice has been provided in two questions of four marks each.
- Section C: Internal choice has been provided in two questions of four marks each.
- All working, including rough work, should be done on the same sheet as, and adjacent to the rest of the answer.
- The intended marks for questions or parts of questions are given in brackets [ ].
- Mathematical tables and graph papers are provided.
Section – A
(All questions are compulsory in this part)
Question 1.
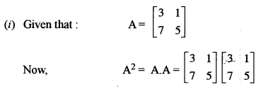
(i) If \(A=\left[\begin{array}{ll}{3} & {1} \\ {7} & {5}\end{array}\right]\), find the values of x and y such that A2 + xI2 = yA.
(ii) Find the eccentricity and the coordinates of foci of the hyperbola 25x2 + 9y2 = 225.
(iii) Evaluate: \(\tan \left[2 \tan ^{-1} \frac{1}{2}-\cot ^{-1} 3\right]\)
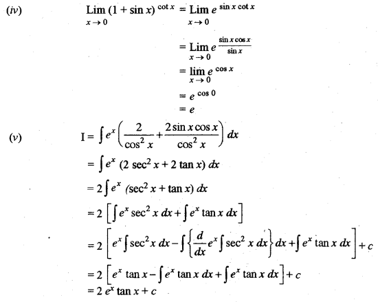
(iv) Using L’Hospital’s Rule, evaluate: \(\lim _{x \rightarrow 0}(1+\sin x)^{\cot x}\)
(v) Evaluate: \(\int e^{x} \frac{(2+\sin 2 x)}{\cos ^{2} x} d x\)
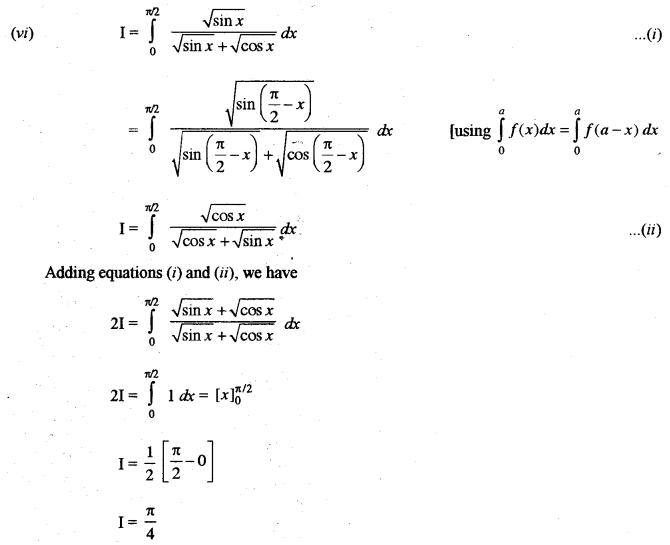
(vi) Using properties of definite integrals, evaluate \(\int_{0}^{\pi / 2} \frac{\sqrt{\sin x}}{\sqrt{\sin x}+\sqrt{\cos x}} d x\)
(vii) For the given lines of regression, 3x – 2y = 5 and x – 4y = 7, find:
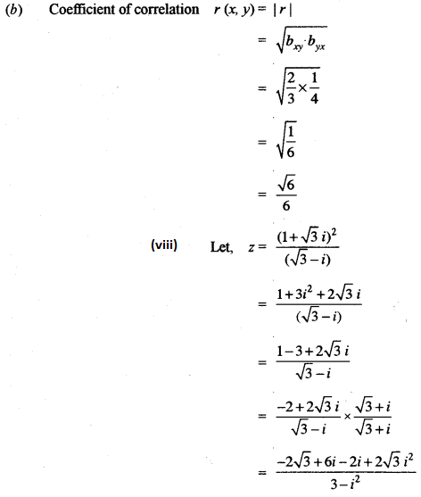
(a) regression coefficients byx and bxy
(b) coefficient of correlation r (x, y)
(viii) Express the complex number \(\frac{(1+\sqrt{3} i)^{2}}{\sqrt{3}-i}\) in the form of a + ib. Hence, find the modulus and argument of the complex number.
(ix) A bag contains 20 balls numbered from 1 to 20. One ball is drawn at random from the bag. What is the probability that the ball drawn is marked with a number which is multiple of 3 or 4?
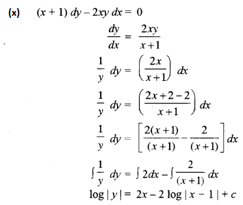
(x) Solve the differential equation: (x + 1) dy – 2xy dx = 0
Solution:











Question 2.
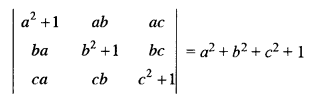
(a) Using properties of determinants, prove that: [5]

(b) Using matrix method, solve the following system of equations: [5]
x – 2y = 10, 2x + y + 3z = 8 and -2y + z = 7
Solution:





Question 3.
(a) If \(\cos ^{-1} x+\cos ^{-1} y+\cos ^{-1} z=\pi\), prove that \(x^{2}+y^{2}+z^{2}+2 x y z=1\) [5]
(b) P, Q and R represent switches in on position and P’, Q’ and R’ represent switches in off position. Construct a switching circuit representing the polynomial PR + Q (Q’ + R) (P + QR). Using Boolean Algebra, simplify the polynomial expression and construct the simplified circuit. [5]
Solution:


Question 4.
(a) Verify Rolle’s Theorem for the function f(x) = ex (sin x – cos x) on \(\left[\frac{\pi}{4}, \frac{5 \pi}{4}\right]\). [5]
(b) Find the equation ofthe parabola with latus-rectumjoining points (4, 6) and (4, -2).
Solution:

Question 5.
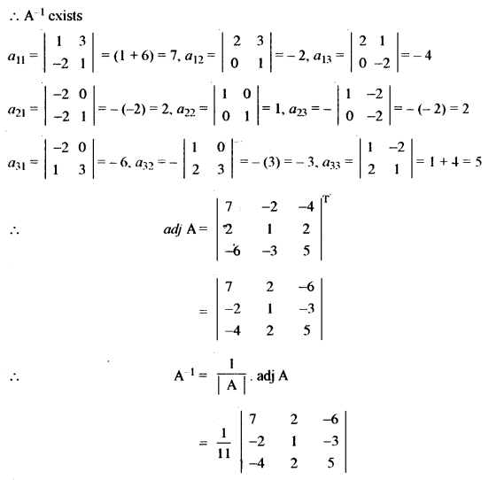
(a) If \(y=\frac{x \sin ^{-1} x}{\sqrt{1-x^{2}}}\), prove that: \(\left(1-x^{2}\right) \frac{d y}{d x}=x+\frac{y}{x}\) [5]
(b) A wire of length 50 m is cut into two pieces. One piece of the wire is bent in the shape of a square and the other in the shape of a circle. What should be the length of each piece so that the combined area of the two is minimum? [5]
Solution:




Question 6.
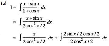
(a) Evaluate: \(\int \frac{x+\sin x}{1+\cos x} d x\) [5]
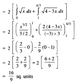
(b) Sketch the graphs of the curves y2 = x and y2 = 4 – 3x and find the area enclosed between them. [5]
Solution:



Question 7.
(a) A psychologist selected a random sample of 22 students. He grouped them in 11 pairs so that the students in each pair have nearly equal scores in an intelligence test. In each pair, one student was taught by method A and the other by method B and examined after the course. The marks obtained by them after the course are as follows: [5]

Calculate Spearman’s Rank correlation.
(b) The coefficient of correlation between the values denoted by X and Y is 0.5. The mean of X is 3 and that of Y is 5. Their standard deviations are 5 and 4 respectively. Find:
(i) the two lines of regression.
(ii) the expected value of Y, when X is given 14.
(iii) the expected value of X, when Y is given 9. [5]
Solution:


(iii) y = 9
x = 0.625 × 9 – 0.125 = 5 .625 – 0.125 = 5.5
Thus, the expected value of X, when Y = 9 is 5.5
Question 8.
(a) In a college, 70% of students pass in Physics, 75% pass in Mathematics and 10% of students fail in both. One student is chosen at random. What is the probability that: [5]
(i) He passes in Physics and Mathematics.
(ii) He passes in Mathematics given that he passes in Physics.
(iii) He passes in Physics given that he passes in Mathematics.
(b) A bag contains 5 white and 4 black balls and another bag contains 7 white and 9 black balls. A ball is drawn from the first bag and two balls are drawn from the second bag. What is the probability of drawing one white and two black balls? [5]
Solution:



Question 9.
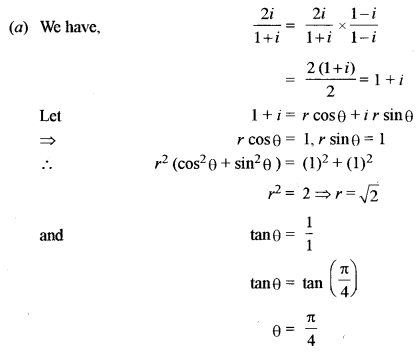
(a) Using De Moivre’s theorem, find the least positive integer n such that \(\left(\frac{2 i}{1+i}\right)^{n}\) is a positive integer. [5]
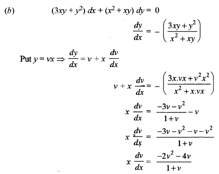
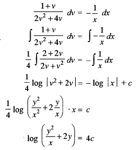
(b) Solve the following differential equation: (3xy + y2) dx + (x2 + xy) dy = 0 [5]
Solution:




Section – B
Question 10.
(a) In a triangle ABC, using vectors, prove that c2 = a2 + b2 – 2ab cos c. [5]
(b) Prove that: \(\vec{a} \cdot(\vec{b}+\vec{c}) \times(\vec{a}+2 \vec{b}+3 \vec{c})=[\vec{a} \vec{b} \vec{c}]\) [5]
Solution:


Question 11.
(a) Find the equation of a line passing through the points P (-1, 3, 2) and Q (-4, 2, -2). Also, if the point R (5, 5, λ) is collinear with the points P and Q, then find the value of λ. [5]
(b) Find the equation of the plane passing through the points (2, -3, 1) and (-1, 1, -7) and perpendicular to the plane x – 2y + 5z + 1 = 0. [5]
Solution:
(a) Equation of the line passing through the points P (-1, 3, 2) and Q (-4, 2, -2) is

(b) Required plane is perpendicular to the given plane x – 2y + 5z + 1 = 0
The required plane is parallel to the line which is perpendicular to the given plane.
Direction ratio of line a = 1, b = -2, c = 5.
Hence, the required plane is

⇒ (x – 2) (20 – 16) – (y + 3) (-15 + 8) + (z – 1) (6 – 4 ) = 0
⇒ (x – 2) (4) – (y + 3) (-7) + (z – 1) (2) = 0
⇒ 4x + 7y + 2z + 11 = 0
Question 12.
(a) In a bolt factory, three machines A, B and C manufacture 25%, 35% and 40% of the total production respectively. Of their respective outputs, 5%, 4% and 2% are defective. A bolt is drawn at random from the total production and it is found to be defective. Find the probability that it was manufactured by machine C. [5]
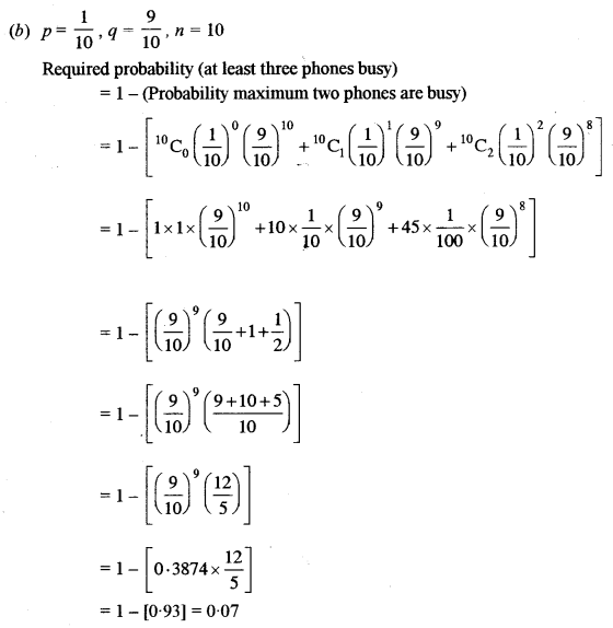
(b) One dialling certain telephone numbers assume that on an average, one telephone number out of five is busy, Ten telephone numbers are randomly selected and dialled. Find the probability that at least three of them will be busy. [5]
Solution:



Section – C
Question 13.
(a) A person borrows ₹ 68962 on the condition that he will repay the money with compound interest at 5% per annum in 4 equal annual instalments, the first one being payable at the end of the first year. Find the value of each instalment. [5]
(b) A company manufactures two types of toys A and B. A toy of type A requires 5 minutes for cutting and 10 minutes for assembling. A toy of type B requires 8 minutes for cutting and 8 minutes for assembling. There are 3 hours available for cutting and 4 hours available for assembling the toys in a day. The profit is ₹ 50 each on a toy of type A and ₹ 60 each on a toy of type B. How many toys of each type should the company manufacture in a day to maximize the profit? Use linear programming to find the solution. [5]
Solution:




Question 14.
(a) A firm has the cost function \(C=\frac{x^{3}}{3}-7 x^{2}+111 x+50\) and demand function x = 100 – p.
(i) Write the total revenue function in terms of x.
(ii) Formulate the total profit function P in terms of x.
(iii) Find the profit maximising level of output x. [5]
(b) A bill of ₹ 5050 is drawn on 13th April 2013. It was discounted on 4th July 2013 at 5% per annum. If the banker’s gain on the transaction is ₹ 0.50, find the nominal date of the maturity of the bill. [5]
Solution:



Question 15.
(a) The price of six different commodities for years 2009 and year 2011 are as follows: [5]

The Index number for the year 2011 taking 2009 as the base year for the above data was calculated to be 125. Find the values of x andy if the total price in 2009 is ₹ 360.
(b) The number of road accidents in the city due to rash driving, over a period of 3 years, is given in the following table: [5]

Calculate four quarterly moving averages and illustrate them and original figures on one graph using the same axes for both.
Solution:



