ISC Chemistry Previous Year Question Paper 2010 Solved for Class 12
Maximum Marks: 70
Time allowed: 3 hours
- Answer all questions in Part I and six questions from Part II, choosing two questions from Section A, two from Section B and two from Section C.
- All working, including rough work, should be done on the same sheet as, and adjacent to, the rest of the answer.
- The intended marks for questions or parts of questions are given in brackets [ ].
- Balanced equations must be given wherever possible and diagrams where they are helpful.
- When solving numerical problems, all essential working must be shown.
- In working out problems use the following data:
Gas constant R = 1.987 cal deg-1 mol-1 = 8.314 JK-1 mol-1 = 0.0821 dm3 atm K-1 mol-1. 1L atm = 1 dm3 atm = 101.3 J.
1 Faraday = 96500 Coulombs, Avogadro’s number = 6.023 × 1023
Part – I
(Answer all questions)
Question 1.
(a) Fill in the blanks by choosing the appropriate word/words from those given in the brackets: [5]
(benzoic acid, negative, positive, vapour, vapour pressure, benzal chloride, more, less, electropositivity, electronegativity, reducing, oxidising, basic, acidic, PCl5, SOCl2, phenol, water, ice.)
(i) When water freezes to ………….. the free energy of the system is ……….
(ii) The …………. pressure of an aqueous solution of 0.1 M cane sugar is ………… than that of pure water.
(iii) When benzaldehyde reacts with ……….. it forms ………. and POCl3.
(iv) An aqueous solution of a mixture of ammonium chloride and ammonium hydroxide is a ………. buffer solution with pH ………… than seven.
(v) Halogens are strong ……….. agents because of their high
(b) Complete the following statements by selecting the correct alternative from the choices given: [5]
(i) The hybridization of the iron atom in [Fe(CN)6]3- complex is:
1. sp3
2. d2sp3
3. sp3d2
4. dsp2
(ii) The product formed when aniline is warmed with chloroform and caustic potash is:
1. Phenyl chloride
2. Methyl isocyanide
3. Phenyl isocyanide
4. Nitro phenol
(iii) For a dissociated solute in solution the value of van’t Hoff factor is:
1. Zero
2. One
3. Greater than one
4. Less than one
(iv) The unit of equivalent conductance is:
1. ohm-1 cm2 equiv-1
2. ohm-1 cm2 gm-1
3. ohm cm2 equiv-1
4. ohm-1 mole-1
(v) An example of an intensive property is:
1. Number of moles
2. Mass
3. Volume
4. Density
(c) Answer the following questions: [5]
(i) The reduction potential of a metal X is -0.76 volts while that of Y is -2.38 volts. Which of the two metals is a stronger reducing agent? Give a reason for your answer.
(ii) The osmotic pressure of a 0.25 M urea solution is 2.67 atm. What will be the osmotic pressure of a 0.25 M solution of potassium sulphate?
(iii) Name the type of isomerism exhibited by lactic acid, CH3CH(OH)COOH giving a reason for your answer.
(iv) Write the relationship between Gibb’s free energy, enthalpy, entropy and the temperature of a system. What is this equation known as?
(v) The elevation of boiling point produced by dilute equimolal solutions of three substances are in the order A > glucose > B. Suggest a reason for this observation.
(d) Match the following: [5]
| (a) Chiral carbon atom | (i) Nernst equation |
| (b) Hexadentate | (ii) Phenol |
| (c) Electrochemical cells | (iii) Entropy |
| (d) Reimer Tiemann reaction | (iv) EDTA |
| (e) Second Law of Thermodynamics. | (v) Polarised light |
Answer:
(a) (i) ice, negative
(ii) vapour, less
(iii) PCl5, benzal chloride
(iv) basic, more
(v) oxidising, electronegativity
(b) (i) 2
(ii) 3
(iii) 3
(iv) 1
(v) 4
(c) (i) X is a stronger reducing agent because the lesser the value of reduction potential, more is the tendency to lose electrons and stronger is the reducing agent.
(ii) Potassium sulphate is an electrolyte and ionises to give three ions
\(\left(\mathrm{K}_{2} \mathrm{SO}_{4} \longrightarrow 2 \mathrm{K}+\mathrm{SO}_{4}^{2-}\right)\), i = 3
For 0.25 M urea, π = 2.67 atm i.e., CRT = 2.67 atm
For 0.25 M K2SO4
π = i CRT = i × 2.67 atm = 3 × 2.67 atm = 8.01 atm
(iii) Enantiomerism (optical isomerism), it has a chiral centre and possesses chirality (dissymmetry).

(iv) ∆G = ∆H – T∆S
Where ∆G = Gibb’s free energy change
∆H = Enthalpy change
∆S = Entropy change
T = Temperature in Kelvin
This equation is called Gibb’s Helmholtz equation.
(v) It is because substance A undergoes dissociation and substance B undergoes association while glucose is a non-electrolyte and neither undergoes association nor dissociation.
(d) (i) (c)
(ii) (d)
(iii) (e)
(iv) (b)
(v) (a)
Part – II
Answer six questions choosing two from Section A, two from Section B and two from Section C
Section – A
(Answer any two questions)
Question 2.
(a) (i) What is the mass of a non-volatile solute (molar mass 60) that needs to be dissolved in 100 g of water in order to decrease the vapour pressure of water by 25%? What will be the molality of the solution? [3\(\frac { 1 }{ 2 }\)]
(ii) Show that the time required for the completion of 75% of a reaction of the first order is twice the time required for the completion of 50% of the reaction. [2\(\frac { 1 }{ 2 }\)]
(b) Give reasons for the following:
(i) The density of ice is less than that of water. [2]
(ii) A solution of potassium carbonate turns red litmus paper blue while that of potassium sulphate has no effect on litmus. [2]
Answer:
(a) (i) Let mass of non-volatile solute (w2) = w2 g
Molar mass of non-volatile solute (M2) = 60
Mass of solvent (water) w1 = 100 g
The molar mass of water M1 = 18
Let V.P. of pure water (p°) = 100 mm
VP. of solution (ps) = 100 – 25 = 75 mm
Now,




(b) (i) In case of ice, the hydrogen bonding gives rise to the cage-like structure of water molecules in which each water molecule is tetrahedrally surrounded by four water molecules. The molecules are not so closely packed as they are in the liquid state. When ice melts, cage-like structure collapses, water molecules come closer. For the same mass of water, volume decreases and density increases, Thus, ice has a lower density than that of water.

(ii) When potassium carbonate undergoes hydrolysis, it forms a strong base KOH and a weak acid H2CO3.

As the base produced (KOH) is strong, the resulting solution is alkaline. Therefore, the solution turns red litmus blue.
Potassium sulphate upon hydrolysis forms potassium hydroxide (strong base) and sulphuric acid (strong acid). As both acid and base produced are strong, the resulting solution is neutral and it has no effect on litmus paper.

Question 3.
(a) (i) Draw the structure of sulphur hexafluoride molecule. State the hybridization of the central atom and the geometry of the molecule. How many sigma bonds are present in the molecule? [2]
(ii) Lead (II) sulphide has FCC crystal structure. The edge length of the unit cell of PbS crystal is 500 pm. What is its density? [Pb = 207.2, S = 32] [2]
(b) (i) Explain the purification of common salt by bubbling hydrogen chloride through the aqueous solution. [2]
(ii) Calculate the pH of a buffer solution containing 0.45 moles of NH4OH and 0.75 moles of NH4Cl. Kb for NH4OH is 1.8 × 10-5. [3]
(c) Will nickel displace copper from a 1 M solution of copper sulphate? Justify your answer. [1]
\(\left[\mathrm{E}_{\mathrm{Ni}^{2} / \mathrm{Ni}}^{0}=-0.25 \mathrm{V}, \mathrm{E}_{\mathrm{Cu}^{+2} / \mathrm{Cu}}^{0}=+0.34 \mathrm{V}\right]\)
Answer:



Question 4.
(a) State Kohlrausch’s Law and give its mathematical expression mentioning the terms involved in it. [2]
(b) Calculate the enthalpy change for the reaction: [3]
C (graphite) + 2H2(g) → CH4(g)
Given that:
(i) C (graphite) + O2 (g) → CO2(g) ΔHf = -393.5 kJ mol-1
(ii) H2(g) + 0.5 O2(g) → H2O(l) ΔHf = -285.8 kJ mol-1
(iii) CH4(g) + 2O2(g) → CO2(g) + 2H2O(l) ΔHf = -890.3 kJ mol-1
(c) (i) A solution of 0.1(N) KCl offers a resistance of 245 ohms. Calculate the specific conductance and the equivalent conductance of the solution if the cell constant is 0.571 cm-1. [2]
(ii) Compare the crystals of copper and diamond giving one similarity and one difference. [2]
(iii) If the standard free energy change for a reaction is found to be zero, what is the value of the equilibrium constant for the reaction? [ 1 ]
Answer:
(a) According to Kohlrausch’s Law:
“The limiting molar conductivity of an electrolyte (i.e., molar conductivity at infinite dilution) is the sum of the limiting ionic conductivities of the cation and anion, each multiplied with the number of ions present in one formula unit of the electrolyte.”
Mathematically,
\(\Lambda_{m}^{\circ} \text { for } \mathrm{A}_{x} \mathrm{B}_{\mathrm{y}}=x \lambda_{+}^{\circ}+y \lambda_{-}^{\mathrm{o}}\)
Where, \(\Lambda_{m}^{\circ}\) is the limiting molar conductivity of the electrolyte, \(\lambda_{\uparrow}^{0} \text { and } \lambda^{\circ}\) are the limiting molar conductivities of the cation (Ay+) and the anion (Bx-) respectively.


Section – B
(Answer any two questions)
Question 5.
(a) How can ozone be manufactured by Siemen’s ozonizer? How is pure ozone recovered from the products? [3]
(b) Give balanced equations for each of the following reactions: [2]
(i) Chlorine and hot concentrated caustic soda.
(ii) Sulphur dioxide and acidified potassium permanganate.
Answer:
(a) When a silent electric discharge is passed through pure, cold and dry dioxygen taken is Siemen’s ozonizer (as shown in fig.), ozone is obtained. The percentage of ozone is about 10-15% and the rest is oxygen and the product obtained is called ozonized oxygen.

![]()
As the forward reaction is endothermic, therefore, silent electric discharge is used because it checks the rise in temperature and conversion of ozone back to O2.
To recover pure ozone, the ozonized oxygen obtained by the method described is surrounded by liquefied air. Ozone condenses and is separated. It may still contain a small amount of oxygen which is separated by fractional distillation.

Question 6.
(a) (i) Name the type of isomerism shown by the following pair of compounds: [2]
[PtCl2(NH3)4]Br2 and [PtBr2(NH3)4] Cl2.
Give a chemical test to distinguish between the given pair of isomers.
(ii) Draw the geometrical isomers exhibited by the compound [PtCl2(NH3)2]. [1]
(b) Write the formulae of the following coordination compounds: [2]
(i) tetracarbonyl nickel (0)
(ii) potassium dicyanoargentate(1)
Answer:
(a) (i) These compounds show ionisation isomerism.
These can be distinguished by adding AgNO3 to the aqueous solutions of the two isomers separately. The first isomer gives pale yellow precipitates of AgBr while the second isomer gives white precipitates of AgCl.

(b) (i) [Ni(CO)4]
(ii) K[Ag(CN)2]
Question 7.
(a) Account for the following: [3]
(i) SF6 exists but OF6 does not, though both oxygen and sulphur belong to the same group in the Periodic table.
(ii) Zn2+ compounds are white in colour but Cu2+ compounds are coloured, though both zinc and copper are d-block elements.
(b) (i) To which class of compounds does IF7 belong? What is the structure of the molecule? [1]
(ii) Give the balanced equation for the preparation of silver nitrate in the laboratory. [1]
Answer:
(a) (i) SF6 exists but OF6 does not because oxygen does not has vacant d-orbitals in the valence shell. Electrons are oxygen cannot be excited to higher levels to six unpaired electrons. In ‘S’ it is possible to do so as it has vacant d-orbital.

(ii) Zn2+ has no unpaired electrons but Cu2+ has one unpaired electron in 3d subshell. As a result compounds of Cu2+ are coloured and those of Zn2+ is white.
(b) (i) IF7 belongs to the category of interhalogen compounds. This molecule has pentagonal bipyramidal geometry.
![]()

Section – C
(Answer any two questions)
Question 8.
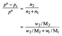
(a) How can the following conversions be brought about:
(i) Ethylamine to methylamine [3]
(ii) Benzene to acetanilide [3]
(iii) 2 propanol to acetoxime [2]
(b) Give one example for each of the following name reactions:
(i) Hell Volhard Zelinsky (HVZ) reaction. [1]
(ii) Clemmensen’s reduction. [1]
Answer:


Question 9.
(a) Draw three isomers of a compound with the molecular formula C3H9N. Name the isomers. [3]
(b) Give one good chemical test to distinguish between the follow ing pairs of compounds: [3]
(i) 1 propanol and 2 propanols.
(ii) Oxalic acid and benzoic acid.
(c) (i) Identify the products A, B, C and D [2]
![]()
(ii) Identify the reagents W, X, Y and Z [2]
![]()
Answer:


(ii) Oxalic acid and benzoic acid
Ferric chloride test: Add a small amount of the compound to 2-3 ml of distilled water followed by NH4OH. Shake. Boil-off excess NH3. Now, add a few drops of neutral FeCl3 solution.
If light yellow ppt. → Oxalic acid
Buff coloured ppt. → Benzoic acid
(c) (i) A = CH3COCl
B = CH3CONH2
C = CH3COONa
D = NH3
(ii) W = H2SO4 (Fuming)
X = NaOH
Y = dil HCl
Z = CH3COCl
Question 10.
(a) (i) What are thermoplastics and thermosetting plastics? Give one example of each kind. [3]
(ii) Give one example of a fibrous protein. Name the final product of hydrolysis of proteins. What is the denaturation of proteins? [2]
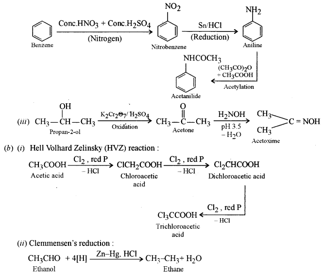
(b) Give balanced equations for the following reactions: [3]
(i) Benzaldehyde treated with hydrogen cyanide.
(ii) Chlorine is passed through diethyl ether.
(iii) A benzoic acid solution is treated with sodium carbonate.
(c) An organic compound A with the molecular formula C3H8O3 reacts with oxalic acid at 110°C to give a monocarboxylic acid B. B gives a silver mirror with Tollen’s reagent and reduces acidified potassium permanganate solution. Identify A and B and give the reaction of B with acidified KMnO4 solution. [2]
Answer:
(a) (i) Thermoplastics are linear polymers which can be repeatedly softened on heating and hardened on cooling and hence can be used again and again without any change in chemical composition e.g., polythene, polypropene etc.
Thermosetting polymers, on the other hands, are permanently setting polymers. On heating in a mould, they get hardened and set and cannot be softened again. This is due to cross-linking between different polymer chains to give a three-dimensional network solid e.g., bakelite, melamine-formaldehyde polymer etc.
(ii) One example of fibrous protein is keratin in skin, hair, nails and wool.
The final product of hydrolysis of proteins is an amino acid.
![]()
When a protein in its native form is subjected to physical changes such as a change in temperature, pH etc. hydrogen bonds are broken. Due to cleavage of hydrogen bonds, the unfolding of protein molecule occurs and the protein loses its biological activity. This loss of biological activity is called denaturation.

