Inverse of a Matrix using Minors, Cofactors and Adjugate
Minors and Cofactors
Minor of an element:
If we take the element of the determinant and delete (remove) the row and column containing that element, the determinant left is called the minor of that element. It is denoted by Mij.

Similarly, we can find the minors of other elements. Using this concept the value of determinant can be
∆ = a11M11 – a12M12 + a13M13
or, ∆ = – a21M21 + a22M22 – a23M23
or, ∆ = a31M31 – a32M32 + a33M33
Cofactor of an element:
The cofactor of an element aij (i.e. the element in the ith row and jth column) is defined as (–1)i+j times the minor of that element. It is denoted by Cij or Aij or Fij.
Cij = (–1)i+j Mij.

where C11 = (–1)1+1 M11 = +M11 , C12 = (–1)1+2 M12 = –M12 and C13 = (–1)1+3 M13 = +M13
Similarly, we can find the cofactors of other elements.
Adjugate (also called Adjoint) of a Square Matrix
Let A = [aij] be a square matrix of order n and let Cij be cofactor aij of in A. Then the transpose of the matrix of cofactors of elements of A is called the adjoint of A and is denoted by adj A
Thus, adj A = [Cij]T ⇒ (adj A)ij = Cji = cofactor of aij in A.

Properties of adjoint matrix:
If A, B are square matrices of order n and is corresponding unit matrix, then
- A(adj A)=|A|, In =(adj A)A
(Thus A (adj A) is always a scalar matrix) - |adj A|= |A|n-1
- adj(adj A) = |A|n-2 A
- adj(adj A) =|A|(n-1)^2
- adj(AT) = (adj A)T
- adj(AB) = (adj B)(adj A)
- adj(Am) = (adj A)m, m ∈ N
- adj(kA) = kn-1(adj A), k ∈ R
- adj(In) = In
- adj(0) = 0
- A is symmetric ⇒ adj A is also symmetric.
- A is diagonal ⇒ adj A is also diagonal.
- A is triangular ⇒ adj A is also triangular.
- A is singular ⇒ |adj A|= 0
Adjoint of a Square Matrix Problems with Solutions
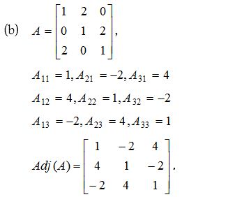
1.

Solution:

2.

Solution:

Inverse of a Matrix
A non-singular square matrix of order n is invertible if there exists a square matrix B of the same order such that AB = In =BA .
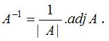
In such a case, we say that the inverse of A is B and we write A-1 = B. The inverse of A is given by

The necessary and sufficient condition for the existence of the inverse of a square matrix A is that |A| ≠ 0.
Properties of inverse matrix:
If A and B are invertible matrices of the same order, then
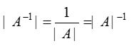
- (A-1)-1 = A
- (AT) -1 =(A-1)T
- (AB) -1 = B-1A-1
- (Ak)-1 = (A-1)k, k ∈ N [In particular (A2)-1 =(A-1)2]
- adj(A-1) = (adj A)-1

- A = diag (a1a2…an) ⇒ A-1 = diag(a1-1a2-1…an-1)
- A is symmetric ⇒ A-1 is also symmetric.
- A is diagonal, |A| ≠ 0 ⇒ A-1 is also diagonal.
- A is a scalar matrix ⇒ A-1 is also a scalar matrix.
- A is triangular, |A| ≠ 0 ⇒ A-1 is also triangular.
- Every invertible matrix possesses a unique inverse.
- Cancellation law with respect to multiplication.
If A is a non-singular matrix i.e., if |A|≠ 0 ,then A-1 exists and AB = AC ⇒ A-1(AB) = A-1(AC)
⇒ (A-1A)B =(A-1A)C
⇒ IB = IC ⇒ B=C
∴ AB=AC ⇒ B = C ⇔|A|≠ 0.
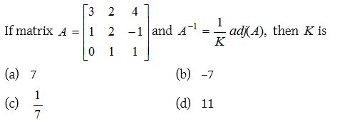
Inverse of a Matrix Problems with Solutions
1.

Solution:

2.

Solution:

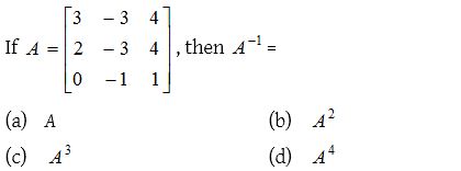
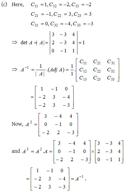
3.

Solution:
