Integration Rules and Formulas
Integral of a Function
A function ϕ(x) is called a primitive or an antiderivative of a function f(x), if ?'(x) = f(x).
Let f(x) be a function. Then the collection of all its primitives is called the indefinite integral of f(x) and is denoted by ∫f(x) dx.
Thus,

where ϕ(x) is primitive of f(x) and c is an arbitrary constant known as the constant of integration.

Integration Rules
- Chain rule :
∫u.v dx = uv1 – u’v2 + u”v3 – u”’v4 + ……… + (–1)n–1 un–1vn + (–1)n ∫un.vn dx
Where stands for nth differential coefficient of u and stands for nth integral of v. - Sum Rule
∫(f + g) dx = ∫f dx + ∫g dx - Difference Rule
∫(f – g) dx = ∫f dx – ∫g dx - Multiplication by constant
∫cf(x) dx = c∫f(x) dx - Power Rule (n≠-1)
∫xn dx = xn+1/(n+1) + C
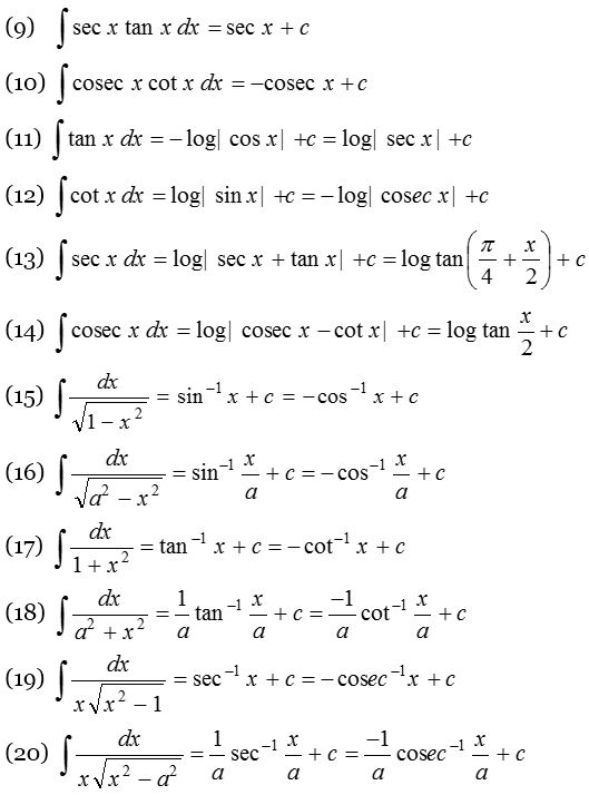
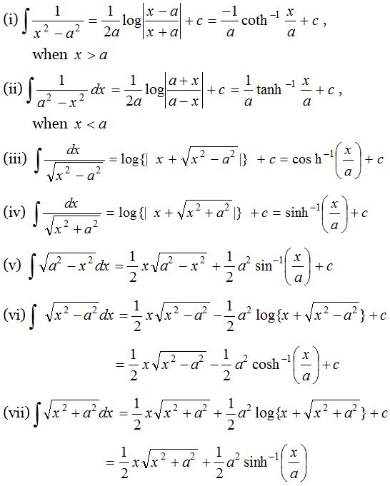
Fundamental Integration Formulae


In any of the fundamental integration formulae, if x is replaced by ax+b, then the same formulae is applicable but we must divide by coefficient of x or derivative of (ax+b) i.e., a. In general, if ∫f(x) dx = ϕ(x) + c, then

