ICSE Physics Previous Year Question Paper 2016 Solved for Class 10
ICSE Paper 2016
PHYSICS
(Two hours)
Answers to this Paper must he written on the paper provided separately.
You will not be allowed to write during the first 15 minutes.
This time is to he spent in reading the question paper.
The time given at the head of this Paper is the time allowed for writing the answers.
Section I is compulsory. Attempt any four questions from Section II.
The intended marks for questions or parts of questions are given in brackets [ ].
Question 1:
(a) (i) Give an example of a non contact force which is always of attractive nature.
(ii) How does the magnitude of this non contact force on the two bodies depend on the distance of separation between them? [2]
(b) A boy weighing 4okgf climbs up a stair of 30 steps each 20 cm high in 4 minute and a girl weighing 3okgf does the same in 3 minutes. Compare:
(i) The work done by them.
(ii) The power developed by them. [2]
(c) With reference to the terms Mechanical Advantage, Velocity Ratio and efficiency of a machine, name and define the term that will not change for a machine of a given design. [2]
(d) Calculate the mass of ice required to lower the temperature of 300g of water at 40°C to water at 0°C. [2]
(Specific latent heat of we = 336 J/g, Specific heat capacity of water = 4.2 J/g°C)
(e) What do you understand by the following statements: [2]
(i) The heat capacity of the body is 60 JK-1.
(ii) The specific heat capacity of lead is 130 Jkg-1 K-1.
Answer:
(a) (i) Gravitation Force.
Example: A ball placed on a table starts rolling down when the table is tilted.
(ii) It varies inversely as the square of distance of separation between them i.e., as the distance between the two bodies increases, the magnitude of the force between them decreases.
(b) (i) Given: m1 = 40 kgf, m2 = 30 kgf, h1 = h2, t1 = 4 minutes = 4 x 60 sec, t2 = 3 minutes = 3 x 60 sec.
Comparing work done by them:
![]()
(ii) Comparing power developed by them :

(c) (i) For a machine of a given design, due to friction and weight of the moving parts of machine, the velocity ratio does not change, but both mechanical advantage and the efficiency decreases.
Velocity Ratio: It is the ratio of the velocity of effort to the velocity of load, i.e.,
\({ V }.R=\frac { { V }_{ E } }{ { V }_{ L } } \)
(d) Heat extracted by ice at 0°C to melt = Heat given by water to reach 0°C from 40°C.

∴ Ice is required to lower the temperature of water = 150 gm.
(e) (i) The given body requires 60 J of heat energy to raise its temperature through 1K.
(ii) 1 kg of lead requires 130 J of heat energy to raise its temperature through 1K.
Question 2:
(a) State two factors upon which the heat absorbed by a body depends. [2]
(b) A boy uses blue colour of light to find the refractive index of glass. He then repeats the experiment using red colour of light. Will the refractive index be the same or different in the two cases ? Give a reason to support your answer. [2]
(c) Copy the diagram given below and complete the path of light ray till it emerges out of the prism. The critical angle of glass is 42°. In your diagram mark the angles wherever necessary. [2]

(d) State the dependence of angle of deviation :
(i) On the refractive index of the material of the prism.
(ii) On the wavelength of light. [2]
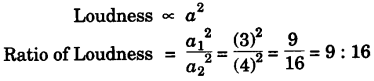
(e) The ratio of amplitude of two waves is 3 :4. What is the ratio of their :
(i) loudness ? (ii) frequencies ? [2]
Answer:
(a) (i) Heat absorbed by the body is directly proportional to mass of the body i.e., more will be the mass, more heat will be absorbed by the body.
Q ∝ M
(ii) Heat absorbed by the body is directly proportional to the rise in temperature i’e., more heat will be absorbed when body heated at greater temperature.
Q ∝ ∆t
(b) Refractive index will be different in these two cases i.e., μB > μR (In glass).
Reason: In glass, speed of red light is greater than speed of Blue light.
(c)

(d) (i) For a given angle of incidence, the prism with a higher refractive index (eg., flint glass) produces a greater deviation than the prism which has lower refractive index (eg., crown glass).
(ii) Angle of deviation decreases with the increases in the wavelength of light.
![]()
(e) (i) Loudness of sound is directly proportional to the square of amplitude i.e.,

(ii) Change in amplitude of a sound does not affect its frequency.
∴ Ratio of frequencies remains same = 1 : 1 .
Question 3:
(a) State two ways by which the frequency of transverse vibrations of a stretched string can be increased.[2]
(b) What is meant by noise pollution ? Name one source of sound causing noise pollution. [2]
(c) The V-I graph for a series combination and for a parallel combination of two resistors is shown in the figure below.

Which of the two A or B, represents the parallel combination ? Give a reason for your answer. [2]
(d) A music system draws a current of 400 mA when connected to a 12V battery.
(i) What is the resistance of the music system ?
(ii) The music system is left playing for several hours and finally the battery voltage drops and the music system stops playing when the current drops to 320 mA. At what battery voltage does the music system stop playing ? [2]
(e) Calculate the quantity of heat produced in a 20Ω resistor carrying 2.5A current in 5 minutes. [2]
Answer:
(a) (i) The frequency of transverse vibrations of a stretched string is inversely proportional to the length of the string i.e., frequency can be increased by decreasing the length of the string.
![]()
(ii) The frequency of transverse vibrations of a stretched string is inversely proportional to the radius of the string (i.e., frequency can be increased by decreasing the radius of the string).
(b) Noise Pollution : It is a sound produced by an irregular succession of disturbances. It is a discontinuous sound and unpleasant to the ear e.g., sound produced when a stone is thrown on a tin sheet.
(c) ‘A’ represents parallel combination because A is less steeper than B so resistance of ‘A’ is less than ‘B’. As wdknow resistance in parallel combination is less than series combination.
(d)

(e)

Hence, 37.5 kJ heat is produced.
Question 4:
(a) State the characteristics required of a good thermion emitter. [2]
(b) An element ZSA decays to 85R222 after emitting 2α particles and If particle. Find the atomic number and atomic mass of the element S. [2]
(c) A radioactive substance is oxidized. Will there be any change in a nature of its radioactivity ? Give a reason for your answer. [2]
(d) State the characteristics required in a material to be used as an effective fuse wire. [2]
(e) Which coil of a step up transformer is made thicker and why ? [2]
Answer:
(a) (i) The work function (minimum amount of energy required to emit-elections) of the substance should be low so that electrons may be emitted from it even when it is not heated to a very high temperature.
(ii) The melting point of the substance should be high so that it may not melt when heated to the required temperature to emit electrons.
(b) On emission of 2 alpha particles, mass number is reduced by 8 and atomic number by 4.
![]()
Now, on emission of 1 beta particle, mass number remains same but atomic number increases by 1.
![]()
After decay, given element is 85R222. Therefore

(c) Radioactivity is the nuclear phenomenon, i.e., radioactive radiation are emitted from the nucleus of the radioactive substance, so any physical change like oxidation or any chemical change does not affect its nature of radioactivity.
(d) The material to be used as a fuse wire should have high resistivity and low melting point.
(e) The thicker wire is used in a primary coil because more current flows in primary coil than secondary coil.
SECTION-II (40 Marks)
(Attempt any four questions from this Section)
Question 5:
(a) A stone of mass ‘m’ is rotated in a circular path with a uniform speed by tying a strong string with the help of your hand. Answer the following questions :
(i) Is the stone moving with a uniform or variable speed ?
(ii) Is the stone moving with a uniform acceleration ? In which direction does the acceleration act ?
(iii) What kind of force acts on the hand and state its direction ? [3]

(b) From the diagram given below, answer the questions that follow :
(i) What kind of pulleys are A and B ?
(ii) State the purpose of pulley B.
(iii) What effort has to be applied at C to just raise the load L = 20 kgf ? [3]
(Neglect the weight of pulley A and friction).
(c) (i) An effort is applied on the bigger wheel of a gear having 32 teeth. It is used to turn a wheel of 8 teeth. Where is it used ?
(ii) A pulley system has three pulleys. A load of 120N is overcome by applying an effort of 50N. Calculate the Mechanical Advantage and Efficiency of this system. [4]
Answer:
(a) (i) Uniform speed.
(ii) Yes, the stone is moving with uniform acceleration. The acceleration act along the tangent drawn at that point of the circle.
(iii) Centripetal force acts on the hand along the tangent at that point.
(b) (i) A – Single Movable Pulley, B – Single Fixed Pulley.
(ii) To change the direction of force applied i.e., effort can be applied in a more convenient direction.
(iii)

(c) (i) In a gear system, the wheel on which effort is applied is called driving gear and other one is called driven gear. If number of teeth are more in driving gear than the driven gear, then we gain in speed.
(ii)

Question 6:
(a) (i) What is the principle of method of mixtures ?
(ii) What is the other name given to it ?
(iii) Name the law on which the principle is based. [3]
(b) Some ice is heated at a constant rate, and its temperature is recorded after every few seconds, till steam is formed at 100°C. Draw a temperature time graph to represent the change. Label the two phase changestnurgraph. [3]
(c) A copper vessel of mass 100g contains 150 g of water at 50°C. How much ice is needed to cool it to 5°C ? [4]
Given: Specific heat capacity of copper = 0.4 Jg–1 °C–1
Specific heat capacity of water = 4.2 Jg–1 °C–1
Specific latent heat of fusion of ice = 336 Jg–1
Answer:
(a) (i) When a hot body is mixed (or kept in contact) with a cold body, heat energy passes from the hot body to the cold body, till both the bodies attain the same temperature, if no energy is lost to the surroundings i.e., system is. fully insulated.
Heat lost by hot body = Heat gained by cold body.
(If the system is fully insulated.)
(ii) Principle of Calorimetry.
(iii) Law of conservation of energy.
(b)

(c) (i) Heat given by water to reach 5°C + Heat given by copper vessel to reach 5°C = Heat taken by ice to melt at 0°C + Heat taken by melted ice to reach 5°C.
mc ∆t + mc ∆t = mL + mc ∆t
where ∆t = change in temperature
[150 × 4.2 × (50° – 5°)] + [100 × 0.4 × (50° – 5°)] = (m × 336) + [(m × 4.2 × (5-0)]
(150 × 4.2 × 45) J + (100 × 0.4 × 45) J = (m × 336) J + (m × 4.2 × 5) J
28350 + 1800 = 336m + 21m

Question 7:
(a) (i) Write a relationship between angle of incidence and angle of refraction for a given pair of media.
(ii) When a ray of light enters from one medium to another having different optical densities it bends. Why does this phenomenon occur ?
(iii) Write one condition where it does not bend when entering a medium of different optical density. [3]
(b) A lens produces a virtual image between the object and the lens.
(i) Name the lens.
(ii) Draw a ray diagram to show the formation of this image. [3]
(c) What do you understand by the term ‘Scattering of light’ ? Which colour of white light is scattered the least and why ? [4]
Answer:
(a) (i) The ratio of the sine of angle of incidence ‘i’ to the sine of angle of refraction ‘r’ is constant for the pair of given media. This constant is called the refractive index.
![]()
(ii) It occurs due to change in speed of light as it enters from one medium to other medium having different optical density.
(iii) When a ray of light is incident normally on the surface of second medium, it passes undeviated.
(b) (i) Concave lens
(ii)

(c) Light scattering is a form of scattering in which light in the form of propagating energy is scattered. It is a process of absorption and then re-emission of light energy. Scattering of light depends on the wavelength or frequency of the light being scattered. In this process, the deflection of a ray from a straight path, for example by irregularities in the propagation medium, particles or between the interface of two media takes place.
Red light scattered the least and violet light the most because wavelength of red light is highest and the wavelength of violet light is least.
Question 8:
(a) (i) Name the waves used for echo depth sounding.
(ii) Give one reason for their use for the above purpose.
(iii) Why are the waves mentioned by you not audible to us ? [3]
(b) (i) What is an echo ?
(ii) State two conditions for an echo to take place. [3]
(c) (i) Name the phenomenon involved in tuning a radio set to a particular station.
(ii) Define the phenomenon named by you in part (i) above.
(iii) What do you understand by loudness of sound ?
(iv) In which units is the loudness of sound measured ? [4]
Answer:
(a) (i) Ultrasonic waves.
(ii) Ultrasonic waves are used for echo depth sounding because they can travel undeviated through long distances and can be confined to a narrow beam.
(iii) Because Ultrasonic waves have frequency more than 20,000 Hz and our audible range is 20 Hz – 20,000 Hz.
(b) (i) The sound heard after reflection from a distant obstacle after the original sound has ceased, is called an echo.
(ii) (a) The minimum distance between the source of sound and the reflector must be 17m.
(b) The minimum time taken by the reflected sound to reach the listener should be 0.1 second.
(c) (i) Resonance.
(ii) Resonance is a condition of forced vibrations. When the frequency of an externally applied periodic force on a body is equal to its natural frequency, the body readily begins to vibrate with an increased amplitude. This phenomenon is known as resonance.
(iii) Loudness is the property by virtue of which a loud sound can be distinguished from a faint one, both having same pitch and frequency. Loudness of sound depends on amplitude of the wave.
(iv) Phon.
Question 9:
(a) (i) Which particles are responsible for current in conductors ?
(ii) To which wire of a cable in a power circuit should the metal case of a geyser be connected ?
(iii) To which wire should the fuse be connected ? [3]
(b) (i) Name the transformer used in the power transmitting station of a power plant.
(ii) What type of current is transmitted from the power station ?
(iii) At what voltage is this current available to our household ? [3]
(c) A battery of emf 12V and internal resistance 2Ω is connected with two resistors A and B of resistance 4Ω and 6Ω respectively joined in series.

Find
(i) Current in the circuit.
(ii) The terminal voltage of the cell.
(iii) The potential difference across 6Ω Resistor.
(iv) Electrical energy spent per minute in 4Ω Resistor. [4]
Answer:
(a) (i) Electrons are responsible for current in conductors.
(ii) Earth wire (Green).
(iii) Live wire (Red).
(b) (i) Step up transformer is used to step-up the generating power in power plant.
(ii) Alternating Current.
(iii) 220 Volts.
(c)

Question 10:
(a) Arrange α, β and γ rays in ascending order with respect to their:
(i) Penetrating power.
(ii) Ionising power.
(iii) Biological effect.
(b) (i) In a cathode ray tube what is the function of anode ?
(ii) State the energy conversion taking place in a cathode ray tube.
(iii) Write one use of cathode ray tube. [3]
(c) (i) Represent the change in the nucleus of a radioactive element when α β particle is emitted.
(ii) What is the name given to elements with same mass number and different atomic number ?
(iii) Under which conditions does the nucleus of an atom tend to be radioactive ? [4]
Answer:
(a) (i) α < β < γ
(ii) γ < β < α
(iii) α < β < γ
(b) (i) The function of anode in a cathode ray tube is to accelerate the electrons and also focus them in a fine energetic beam.
(ii) In a cathode ray tube electrical energy is converted into light energy.
(iii) To check the waveform of varying electrical signals.
(c) (i)
![]()
(ii) Isobars.
(iii) Isotopes of all elements of atomic number higher than 82 and elements having number of neutrons exceeding the number of protons in their nuclei are tend to be radioactive.