ICSE Physics Previous Year Question Paper 2009 Solved for Class 10
ICSE Paper 2009
PHYSICS
(Two hours)
Answers to this Paper must he written on the paper provided separately.
You will not be allowed to write during the first 15 minutes.
This time is to he spent in reading the question paper.
The time given at the head of this Paper is the time allowed for writing the answers.
Section I is compulsory. Attempt any four questions from Section II.
The intended marks for questions or parts of questions are given in brackets [ ].
SECTION-I (40 Marks)
Attempt all questions from this Section.
Question 1:
(a) If ‘m’ is the mass of the body, ‘v’ its velocity and ‘p’ the momentum then write a relationship between change in momentum, mass and velocity of the body
when :
(i) v is almost equal to c, the velocity of light.
(ii) v is very, very less as compared to c, the velocity of light. [2]
(b) (i) With reference to the terms mechanical advantage, velocity ratio and efficiency of a machine, name the term that will not change for a machine of a given design.
(ii) Define the term stated by you in part (i). [2]
(c) What is the S.I unit of energy ? How is the electron volt (eV) related to it ? [2]
(d) State the energy changes that takes place in the following when they are in use :
(i) a photovoltaic cell.
(ii) an electromagnet. [2]
(e) A body of mass 5 kg is moving with a velocity of 10 m s-1. What will be the ratio of its initial kinetic energy and final kinetic energy, if the mass of the body is doubled and its velocity is halved ? [2]
Answer:
(a) Answer has not given due to out of present syllabus.
(b) (i) Velocity Ratio.
(ii) Velocity Ratio is the ratio of velocity of effort to the velocity of load.
(c) Joule (J).
1 eV = 1.6 x 10-19 J
(d) (i) Light energy to electrical energy.
(ii) Electrical energy to magnetic energy.
(e)

Question 2:
(a) A ray of light strikes the surface of a rectangular glass block such that the angle of incidence is (i) 0° (ii) 42°. Sketch a diagram to show the approximate path taken by the ray in each case as it passes through the glass block and emerges from it. [2]
(b) State the conditions required for total internal reflection of light to take place. [2]
(c) Copy and complete the following table :
| Type of lens | Position of Object | Nature of Image | Size of Image |
| Convex | At F | ||
| Concave | At infinity |
(d) (i) Why is white light considered to be polychromatic in nature ?
(ii) Give the range of the wavelength of those electromagnetic waves which are visible to us. [2]
(e) An ultrasonic wave is sent from a ship towards the bottom of the sea. It is found that the time interval between the sending and the receiving of the wave is 1.5 second. Calculate the depth of the sea if the velocity of sound in sea water is 1400 ms-1. [2]
Answer:
(a) (i) Given : i = 0°, ∴ r = 0.

(ii) Given : i = 42°, ∴ e = 42°.

(b) (i) Light must go from a denser to a rarer medium.
(ii) The angle of incidence must be more than the critical angle.
(c)
| Type of lens | Position of Object | Nature of Image | Size of Image |
| Convex | At F | Real and inverted | Highly magnified |
| Concave | At infinity | Virtual and erect | Highly Diminished |
(d) (i) Because it contains number of wave lengths (4000 Å—8000 Å) and there are seven colours in it (VIBGYOR).
(ii) 4000 Å—8000 Å.
(e)

Question 3:
(a) A stringed musical instrument, such as the Sitar, is provided with a number of wires of different thicknesses. Explain the reason for this. [2]
(b) What is meant by noise pollution ? Write the name of one source of sound that causes noise pollution. [2]
(c) The equivalent resistance of the following circuit diagram is 4Ω. Calculate the value of x. [2]

(d) An electric heater is rated 1000 W – 200 V. Calculate :
(i) the resistance of the heating element.
(ii) the current flowing through it. [2]
(e) (i) Give two characteristic properties of copper wire which make it unsuitable for use as fuse wire.
(ii) Name the material which is used as a fuse wire ? [2]
Answer:
(a) Let

So the frequency of sound depend on the thickness or radius of the wire there-fore in stringed musical instrument different thickness wires give different frequency sound.
(b) It is produced by an irregular succession of disturbances. It is harsh, discordant and displeasing to the ear. This sound level is 120 dB above. Main source of noise pollution are sound of vehicles and DJ’s.
(c) Between the points A and B, total resistance of one arm is R1 (5 + x) and total resistance of other arm is R2 (8 + 4). Now equivalent resistance (R) between A and B is :

(d) Given : P = 1000 W, V = 200 V,

(e) (i) The properties of the copper wire :
(1) It is a good conductor of electricity.
(2) It is of low resistivity and high melting point.
(ii) Fuse wires are generally made up of an alloy of tin and lead.
Question 4:
(a) The figure given below shows an electromagnet.

(i) What will be the polarity at the end X ?
(ii) Suggest a way by which the strength of the electromagnet referred to in the question, may be increased. [2]
(b) Why do pieces of ice added to a drink cool it much faster than ice cold water added to it ? [2]
(c) 40 g of water at 60°C is poured into a vessel containing 50 g of water at 20°C. The final temperature recorded is 30°C. Calculate the thermal capacity of the vessel. (Take specific heat capacity of water as 4.2 Jg-1 °C-1). [2]
(d) Give two important precautions that should be taken while handling radioactive materials. [2]
(e) (i) What is the name given to atoms of a substance which have the same atomic number but different mass numbers ?
(ii) What is the difference in the atomic structures of such atoms ? [2]
Answer:
(a) (i) North (I = anticlockwise)
(ii) It can be increased by increasing the strength of current or even by increasing the number of turn of the coil.
(b) Due to extra latent heat of fusion of ice i.e., 336 J/gm.
∴ each gram of ice takes 336 J of extra heat from drink.
(c) Heat lost by hot water = Heat gained by cold water + Heat gained by vessel
mc ∆T = me ∆T + Heat capacity × rise in temperature (∆t)
40 × 4.2 × (60 – 30) = 50 × 4.2 × (30 – 20) + Heat capacity × 10
Heat capacity = 294 J/°C.
(d) (i) Radioactive materials should be kept in thick lead container with a narrow opening.
(ii) Lead gloves and aprons must be used.
(e) (i) Isotopes.
(ii) It is same only the no. of nucleons are more i.e., neutrons are more, while the electrons are same.
SECTION-II (40 Marks)
Attempt any four questions from this Section.
Question 5:
(a) 6.4 kJ of energy causes a displacement of 64 min a body in the direction of force in 2.5 seconds. Calculate (i) the force applied (ii) power in horse power (hp). (Take 1 hp = 764 W). [3]
(b) A pulley system comprises two pulleys, one fixed and the other movable.
(i) Draw a labelled diagram of the arrangement and show clearly the directions of all the forces acting on it.
(ii) What change can be made in the movable pulley of this system to increase
the mechanical advantage of the system. [3]
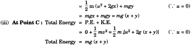
(c) An object of mass ‘m’ is allowed to fall freely from point A as shown in the figure. Calculate the total mechanical energy of the object at:

(i) Point A
(ii) Point B
(iii) Point C
(iv) State the law which is verified by your calculations in parts (i), (ii) and (iii). [4]
Answer:
(a)

(b) (i) See figure.

(ii) Reduce the friction between the string and the movable pulley.
(c)


(iv) Law of conservation of mechanical energy.
Question 6:
(a) How does the value of angle of deviation produced by a prism change with an increase in the:
(i) value of angle of incidence.
(ii) wave-length of incident light ? [3]
(b) (i) Copy and complete the diagram to show the formation of the image of the object AB.

(ii) What is the name given to X ? [3]
(c) (i) The diagram given alongside shows a ray of white light PQ coming from an object P and incident on the surface of a thick glass plane mirror. Copy the diagram and complete it to show the formation of three images of the object P as formed by the mirror.

(ii) Which image will be the brightest image ? [4]
Answer:
(a) (i) As the angle of incidence increases, initially angle of deviation decreases and later it increases after achieving to a minimum value.

(ii) As the wavelength of incident light increases, angle of deviation decreases with the increases in wavelength of light.
(λV < λR) and (δV > δR)
(b) (i) See figure.

(ii) X is focus or principle focus.
(c) (i) See figure.

(ii) I2 is the brightest.
Question 7:
(a) (i) What is the principle on which sonar is based ?
(ii) Calculate the minimum distance at which a person should stand in front of a reflecting surface so that he can hear a distinct echo.
(Take speed of sound in air = 350 ms-1). [3]
(b) (i) Name the characteristic of sound which enables a person to differentiate between two sounds with equal loudness but having different frequencies.
(ii) Define the characteristic named by you in (i).
(iii) Name the characteristic of sound which enables a person to differentiate between two sounds of the same soundness and frequency but produced by different instruments. [3]
(c) (i) A person is tuning his radio set to a particular station. What is the person trying to do to tune it ?
(ii) Name the phenomenon involved, in tuning the radio set.
(iii) Define the phenomenon named by you in part (ii). [4]
Answer:
(a) (i) It works on the principle of Echo or reflection of sound.
(ii)

(b) (i) Pitch (or Shrillness)
(ii) Pitch is that characteristic of sound by which an acute or shrill note can be distinguished from the grave or flat note.
(iii) Quality or timber.
(c) (i) Changing the frequency of radio set, in order to make it same as particular station.
(ii) Electrical resonance.
(iii) Resonance is a special type of forced vibrations in which frequency of an external applied force is equal or integral multiple of the natural frequency of the body, the body will readily begins to vibrate with much more increased amplitude.
Question 8:
(a) (i) State Ohm’s Law.
(ii) Diagrammatically illustrate how you would connect a key, a battery, a voltmeter, an ammeter, an unknown resistance R and a rheostat so that it can be used to verify the above law. [3]
(b) (i) Draw a neat and labelled diagram to show the structure of an a.c. generator.
(ii) State the energy conversion taking place in the generator when it is working. [3]
(c) (i) The diagram (a) and (b) given below are of a plug and a socket with arrow marked as 1, 2, 3 and 4, 5, 6 respectively on them. Identify and write Live (L), Neutral (N) and Earth (E) against the correct number.

(ii) Calculate the electrical energy consumed when a bulb of 40 W is used for 12.5 hours everyday for 30 days. [4]
Answer:
(a) (i) According to ohm’s law, the current flowing through a conductor is directly proportional to the potential difference applied across its, provided the physical conditions like temperature remain constant.
(ii) See figure.

(b) (i) See figure.

(ii) Mechanical energy is converted into electrical energy.
(c) (i) 1 and 4 are Earth (E).
3 and 6 are Live (L).
2 and 5 are Neutral (N).
(ii) Given : P = 40 W, t = 12.5 hrs.

Question 9:
(a) State in brief, the meaning of each of the following :
(i) The heat capacity of a body is 50 J °C-1.
(ii) The specific latent heat of fusion of ice is 336000 J kg-1.
(iii) The specific heat capacity of copper is 0.4 Jg-1 °C-1. [3]
(b) (i) What is the principle of method of mixtures ?
(ii) Name the law on which this principle is based. [3]
(c) Calculate the amount of ice which is required to cool 150 g of water contained in a vessel of mass 100 g at 30°C, such that the final temperature of the mixture is 5°C. (Take specific heat capacity of material of vessel as 0.4 Jg-1 °C-1, specific latent heat of fusion of ice = 336 Jg-1, specific heat capacity of water = 4.2 Jg-1 °C-1). [4]
Answer:
(a) (i) It means 50 J of heat is required to raise it temperature by 1 °C.
(ii) It means 336000 J of heat is required for 1 kg of ice to melt.
(iii) It means 0.4 J of heat is required by 1 gm of copper to increase its temperature by 1 °C.
(b) (i) When two bodies at different temperatures are mixed together, heat flows from the body at high temperature to the body at low temperature till, both the bodies acquire the same temperature.
Heat lost by hot body = Heat gained by cold body.
(ii) Principle of calorimetry.
(c)

Question 10:
(a) (i) What is meant by free electrons ?
(ii) Why are they generally not able to leave the metallic surface ?
(iii) Suggest one way by which these electrons could be made to leave the metal surface. [3]
(b) In a cathode ray tube why is the :
(i) filament made of tungsten ?
(ii) cathode plate coated with oxide of barium or strontium ?
(iii) thick glass screen coated with barium platinocyanide ? [3]
(c) A nucleus \(_{ Z }^{ A }{ X } \) emits an alpha particle followed by γ emission; thereafter it emits two β particles to form X3
(i) Copy and complete the values of A and Z for X3 :
![]()
(ii) Out of alpha (α), beta (β) and gamma (γ) radiations :
1. which radiation is the most penetrating ?
2. which radiations are negatively charged ? [4]
Answer:
(a) (i) The electrons in the outer most orbit of an atom are lose enough and leave the atom in the solid form and free to move, these are called free electrons.
(ii) The energy possessed by them is not enough to leave the metallic surface.
(iii) They can leave the metal surface by providing them extra energy by heating the metal which is called work function of that metal.
(b) (i) Because melting point of tungsten is very high and work function is less.
(ii) To reduce the work function.
(iii) To produce fluorescence when electron strike on it.
(c) (i)
![]()
(ii) 1. Penetrating power of gamma (γ) radiation is maximum.
2. Beta (β) radiation are negatively charged.