ICSE Maths Previous Year Question Paper 2014 Solved for Class 10
ICSE Paper 2014
MATHEMATICS
(Two hours and a half)
Answers to this Paper must be written on the paper provided separately.
You will not be allowed to write during the first 15 minutes.
This time is to be spent in reading the question paper.
The time given at the head of this Paper is the time allowed for writing the answers.
Attempt all questions from Section A and any four questions from Section B.
All working, including rough work, must be clearly shown and must be done on the same sheet as the rest of the answer. Omission of essential working will result in the loss of marks.
The intended marks for questions or parts of questions are given in brackets [ ].
Mathematical tables are provided.
SECTION-A [40 Marks]
(Answer all questions from this Section.)
Question 1:
(a) Ranbir borrows Rs. 20,000 at 12% per annum compound interest. If he repays Rs. 8400 at the end of the first year and Rs. 9680 at the end of the second year, find the amount of loan outstanding at the beginning of the third year. [3]

The die is thrown once. What is the probability of getting
(i) a positive integer.
(ii) an integer greater than -3.
(iii) the smallest integer. [4]
Solution:




Question 2:

(b) Shahrukh opened a Recurring Deposit Account in a hank and deposited Rs. 800 per month for if years. If he received Rs. 15,084 at the time of maturity, find the rate of interest per annum. [3]
(c) Calculate the ratio in which the line joining A (-4, 2) and B(3, 6) is divided by point P(x, 3). Also find (i) x (ii) Length of AP. [4]
Solution:



Hence, rate of interest = 6% p.a.
(c) Let P(x, 3) divide the line segment joining the points A (-4, 2) and B (3, 6) in the ratio k : 1


Question 3:
(a) Without using trigonometric tables, evaluate sin2 34° + sin2 56°+ 2 tan 18° tan 72°- cot2 30° [3]
(b) Using the Remainder and Factor Theorem, factorise the following polynomial: x3 + 10x2 – 37x + 26. [3]
(c) In the figure given below, ABCD is a rectangle. AB = 14 cm, BC = 7 cm. From the rectangle, a quarter circle BFEC and a semicircle DGE are removed.

Calculate the area of the remaining piece of the rectangle. (Take π = \(\frac { 22 }{ 7 } \)) [4]
Solution:



On dividing x3 + 10x2 – 37x + 26 by x – 1, we get x2 + 11x – 26 as the quotient and remainder = 0.

Question 4:
(a) The numbers 6, 8, 10, 12, 13 and x are arranged in an ascending order. If the mean of the observations is equal to the median, find the value of x. [3]
(b) In the figure, ∠DBC = 58°. BD is a diameter of the circle. Calculate :
(i) ∠BDC (ii) ∠BEC (iii) ∠BAC

(c) Using graph paper to answer the following questions. (Take 2 cm – 1 unit on both axis)
(i) Plot the points A (- 4, 2) and B (2, 4)
(ii) A’ is the image of A when reflected in the y-axis. Plot it on the graph paper and write the coordinates of A’.
(iii) B’ is the image of B when reflected in the line AA’. Write the coordinates of B’.
(iv) Write the geometric name of the figure ABAB’.
(v) Name a line of symmetry of the figure formed. [4]
Solution:

(b) In ∆ BCD; ∠DBC = 58°
(i) ∠BCD = 90° (Angle in the semicircle as BD is diameter)
∴ ∠DBC + ∠BCD + ∠BDC = 180°
⇒ 58°+ 90° +∠BDC = 180°
⇒ ∠BDC = 180° – (90° + 58°)
= 180°-148°
= 32° Ans.
(ii) ∠BEC + ∠BDC = 180° ( ∵BECD is a cyclic quadrilateral)
∠BEC = 180°- ∠BDC = 180°-32°
∠BEC = 148°
(iii) ∠BAC = ∠BDC (Angle of same segment are equal)
∠BAC = 32°
(c) (i) See Graph.

(ii) Coordinate of A’ = (4, 2)
(iii) Coordinate of B’ = (2, 0)
(iv) Geometric name = Kite.
(v) AA’ is the symmetric line.
SECTION B [40 Marks]
Answer any four Questions in this Section.
Question 5:
(a) A shopkeeper bought a washing machine at a discount of 20% from a wholesaler, the printed price of the washing machine being Rs. 18,000. The shopkeeper sells it to a consumer at a discount of 10% on the printed price. If the rate of sales tax is 8% find:
(i) the VAT paid by the shopkeeper.
(ii) the total amount that the consumer pays for the washing machine. [3]

(c) In ∆ABC, ∠ABC = ∠DAC, AB = 8 cm, AC = 4 cm, AD = 5 cm.

(i) Prove that ∆ACD is similar to ∆BCA.
(ii) Find BC and CD
(iii) Find area of ∆ACD : area of ∆ABC. [4]
Solution:
(a) Given: Printed price of washing machine = Rs. 18,000, Rate of discount = 20%.





Question 6:
(a) Find the value of ‘a’ for which the following points A (a, 3), B (2, 1) and C (5, a) are collinear. Hence find the equation of the line. [3]
(b) Salman invests a sum of money in Rs. 50 shares, paying 15% dividend quoted at 20% premium. If his annual dividend is Rs. 600, calculate:
(i) the number of shares he bought.
(ii) his total investment.
(iii) the rate of return on his investment. [3]
(c) The surface area of a solid metallic sphere is 2464 cm2. It is melted and recast into solid right circular cones of radius 3.5 cm and height 7 cm. Calculate :
(i) the radius of the sphere.
(ii) the number of cones recast. (Take π = \(\frac { 22 }{ 7 } \)) [4]
Solution:


Question 7:
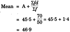
(a) Calculate the mean of the distribution given below using the short cut method.
| Marks | 11-20 | 21-30 | 31-40 | 41-50 | 51-60 | 61-70 | 71-80 |
| No. of students | 2 | 6 | 10 | 12 | 9 | 7 | 4 |
(b) In the figure given below, diameter AB and CD of a circle meet at P. PT is a tangent to the circle at T. CD=7.8 cm, PD=5 cm, PD=4 cm.

Find:
(i) AB.
(ii) the length of tangent PT. [3]
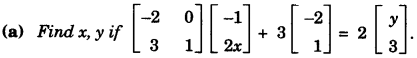
(c) Let A = \(\begin{bmatrix} 2 & 1 \\ 0 & -2 \end{bmatrix}\), B = \(\begin{bmatrix} 4 & 1 \\ -3 & -2 \end{bmatrix}\) and C = \(\begin{bmatrix} -3 & 2 \\ -1 & 4 \end{bmatrix}\) . Find A2 + AC-5B.
Solution:
(a)
Marks (C.I.) | f | Mean Value (x) | A = 45.5, d = x-A | f × d |
| 11-20 | 2 | 15-5 | -30 | -60 |
| 21-30 | 6 | 25-5 | -20 | -120 |
| 31-40 | 10 | 35-5 | -10 | -100 |
| 41-50 | 12 | 45-5 | 0 | 0 |
| 51-60 | 9 | 55-5 | 10 | 90 |
| 61-70 | 7 | 65-5 | 20 | 140 |
| 71-80 | 4 | 75-5 | 30 | 120 |
| Σf =50 | Σfd = 70 |




Question 8:
(a) The compound interest, calculated yearly, on a certain sum of money for the second year is Rs. 1320 and for the third year is Rs. 1452. Calculate the rate of interest and the original sum of money. [3]
(b) Construct a ∆ ABC with BC = 6.5 cm, AB = 5.5 cm, AC = 5 cm. Construct the incircle of the triangle. Measure and record the radius of the incircle. [3]
(c) (Use a graph paper for this question.) The daily pocket expenses of 200 students in a school are given below:
| Pocket expenses (in Rs.) | 0-5 | 5-10 | 10-15 | 15-20 | 20-25 | 25-30 | 30-35 | 35-40 |
| Number of students (frequency) | 10 | 14 | 28 | 42 | 50 | 30 | 14 | 12 |
Draw a histogram representing the above distribution and estimate the mode from the graph. [4]
Solution:

(b) Steps of construction:

(1) Construct a ∆ ABC with the given data.
(2) Draw the internal bisectors of ∠B and ∠C. Let these bisectors cut at O.
(3) Taking O as centre. Draw a incircle which touches all the sides of the ∆ ABC.
(4) From O draw a perpendicular to side BC which cut at N.
(5) Measure ON which is required radius of the incircle.
ON = 1.5 cm. (app.)
(c)

Question 9:
(a) If (x – 9) : (3x + 6) is the duplicate ratio of 4 : 9, find the value of x. [3]
(b) Solve for x using the quadratic formula. Write your answer correct to two significant figures, (x – 1)2 – 3x + 4 = 0. [3]
(c) A page from the saving hank account of Priyanka is given below :
| Date | Particulars | Amount with drawn (Rs.) | Amount deposited (Rs.) | Balance(Rs.) |
| 03/04/2006 | B/F | — | — | 4,000.00 |
| 05/04/2006 | By cash | — | 2,000.00 | 6,000.00 |
| 18/04/2006 | By cheque | — | 6,000.00 | 12,000.00 |
| 25/05/2006 | To cheque | 5,000.00 | — | 7,000.00 |
| 30/05/2006 | By cash | — | 3,000.00 | 10,000.00 |
| 20/07/2006 | By self | 4,000.00 | — | 6,000.00 |
| 10/09/2006 | By cash | — | 2,000.00 | 8,000.00 |
| 19/09/2006 | To cheque | 1,000.00 | — | 7,000.00 |
If the interest earned by Priyanka for the period of ending September, 2006 is Rs. 175, find the rate of interest. [4]
Solution:


Question 10:
(a) A two digit positive number is such that the product of its digits is 6. If 9 is added to the number, the digits interchange their places. Find the number. [4]
(b) The marks obtained by 100 students in a Mathematics test are given below :
| Marks | 0-10 | 10-20 | 20-30 | 30-40 | 40-50 | 50-60 | 60-70 | 70-80 | 80-90 | 90-100 |
| No. of Students | 3 | 7 | 12 | 17 | 23 | 14 | 9 | 6 | 5 | 4 |
Draw an ogive for the given distribution on a graph sheet.
(Use a scale of 2 cm = 10 units on both axis).
Use the ogive to estimate the :
(i) median.
(ii) lower quartile.
(iii) number of students who obtained more than 85% marks in the test.
(iv) number of students who did not pass in the test if the pass percentage was 35. [6]
Solution:

(b)
| Marks | No. of Students | Cumulative frequency (c.f.) |
| 0-10 | 3 | 3 |
| 10-20 | 7 | 10 |
| 20-30 | 12 | 22 |
| 30-40 | 17 | 39 |
| 40-50 | 23 | 62 |
| 50-60 | 14 | 76 |
| 60-70 | 09 | 85 |
| 70-80 | 06 | 91 |
| 80-90 | 05 | 96 |
| 90-100 | 04 | 100 |
On the graph paper, we plot the following points :
(10, 3), (20, 10), (30, 22), (40, 39), (50, 62), (60, 76), (70, 85), (80, 91), (90, 96),(100, 100)


(iii) The number of students who obtained more than 85% marks in test
= 100-95 = 5 students.
(iv) The number of students who did not pass in the test if the pass percentage was 35 = 30.
Question 11:
(a) In the figure given below, O is the centre of the circle. AB and CD are two chords of the circle. OM is perpendicular to AB and ON is perpendicular to CD.
AB = 24 cm, OM = 5 cm, ON = 12 cm.

Find the :
(i) radius of the circle.
(ii) length of chord CD. [3]
(b) Prove the identity: (sin θ + cos θ) (tan θ + cot θ) = sec θ + cosec θ [3]
(c) An aeroplane at an altitude of 250 m observes the angle of depression of two boats on the opposite banks of a river to be 45° and 60° respectively. Find the width of the river. Write the answer correct to the nearest whole number. [4]
Solution:


(c) Let AD = 250 m height of aeroplane.
Two boats are at B and C.
