What is Harmonic Progression in Mathematics?
Harmonic Progression (H.P.)
Definition:
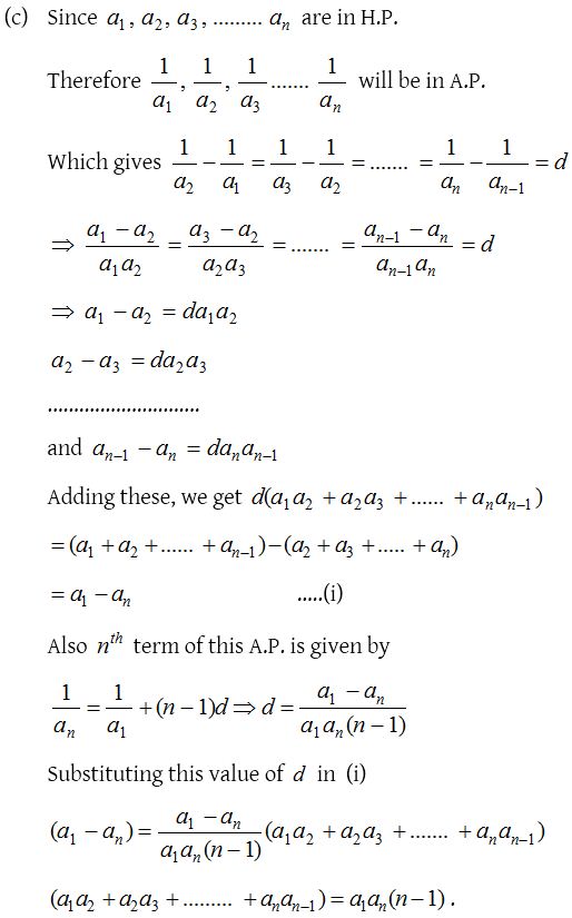
A progression is called a harmonic progression (H.P.) if the reciprocals of its terms are in A.P.

General term of an H.P.

Harmonic mean
If three or more numbers are in H.P., then the numbers lying between the first and last are called harmonic means (H.M.’s) between them. For example 1, 1/3, 1/5, 1/7, 1/9 are in H.P. So 1/3, 1/5 and 1/7 are three H.M.’s between 1 and 1/9.
Also, if a, H, b are in H.P., then H is called harmonic mean between a and b.
(1) Insertion of harmonic means
(i) Single H.M. between a and b \(=\frac { 2ab }{ a+b }\).
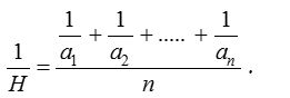
(ii) H, H.M. of n non-zero numbers a1, a2, a3, ….. an is given by

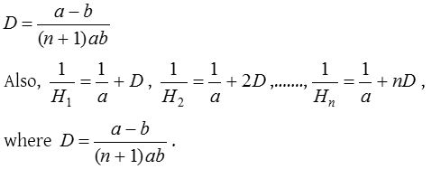
(iii) Let a, b be two given numbers. If n numbers H1, H2, H3, ….. Hn are inserted between a and b such that the sequence a, H1, H2, H3, ….. Hn, b is a H.P., then H1, H2, H3, ….. Hn are called n harmonic means between a and b.

Thus, if n harmonic means are inserted between two given numbers a and b, then the common difference of the corresponding A.P. is given by

Properties of H.P.
- No term of H.P. can be zero.
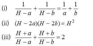
- If H is the H.M. between a and b, then

Harmonic Progression Problems with Solutions
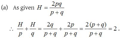
1.

Solution:

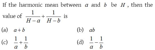
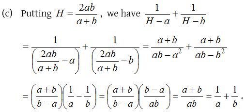
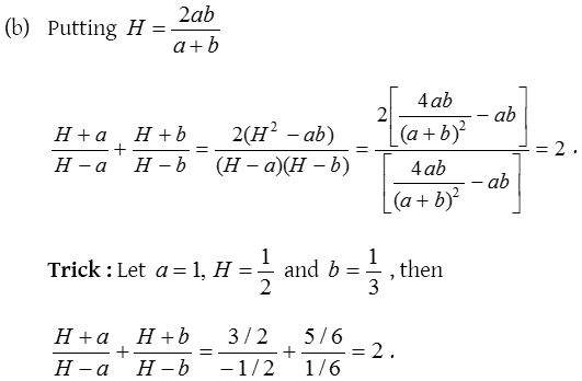
2.

Solution:

3.

Solution:

4.

Solution:

5.

Solution:

6.

Solution:

7.

Solution:
