Graphs of Circles

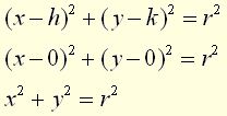
Did you notice that the formula for the circle with the center at the origin is just a special case of the formula for a circle at point (h,k)?
When h = 0 and k = 0 (for the origin), the formula becomes

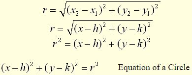
Where does the circle formula come from?

Using the distance formula, the radius of the circle at the right is represented by

Example 1: Write the equation of a circle with center at (3,-5) and a radius of 3.
Answer: Notice how the coordinate of -5 appears as (y + 5)2

Example 2: Given the equation of a circle, (x+3)2 + (y-6)2 = 24, what are the coordinates of the center and the radius?
Answer: Notice how the answer for the radius is left in radical form. You should not estimate an answer into decimal form unless told to do so, or unless working in a real world measurement situation. It is hard to measure a radical number of feet.
