Geometric Mean
If a, G, b are in G.P., then G is called Geometric Mean (G.M.) between a and b.
- If a, G1, G2, G3, …. Gn, b are in G.P. then G1, G2, G3, …. Gn are called n G.M.’s between a and b.
- Insertion of geometric means:
- Single G.M. between a and b: If a and b are two real numbers then single G.M. between a and \(b=\sqrt { ab }\).
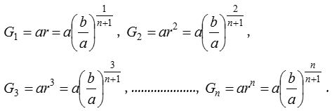
- n G.M.’s between a and b: If G1, G2, G3, …. Gn are n G.M.’s between a and b, then

Properties of G.P.
- If all the terms of a G.P. be multiplied or divided by the same non-zero constant, then it remains a G.P., with the same common ratio.
- The reciprocal of the terms of a given G.P. form a G.P. with common ratio as reciprocal of the common ratio of the original G.P.
- If each term of a G.P. with common ratio r be raised to the same power k, the resulting sequence also forms a G.P. with common ratio rk.
- In a finite G.P., the product of terms equidistant from the beginning and the end is always the same and is equal to the product of the first and last term. i.e., if a1, a2, a3, …… an be in G.P.
Then a1an = a2an-1 = a3an-2 = a4an-3 = ar.an-r+1 - If the terms of a given G.P. are chosen at regular intervals, then the new sequence so formed also forms a G.P.
- If a1, a2, a3, …… an is a G.P. of non-zero, non-negative terms, then log a1, log a2, log a3, …… log an is an A.P. and vice-versa.
- Three non-zero numbers a, b, c are in G.P., iff b2 = ac.
- If first term of a G.P. of n terms is a and last term is l, then the product of all terms of the G.P. is (al)n/2.
- If there be n quantities in G.P. whose common ratio is r and Sm denotes the sum of the first m terms, then the sum of their product taken two by two is \(\frac { r }{ r+1 } { S }_{ n }{ S }_{ n-1 }\).
- If ax1, ax2, ax3, ……, axn are in G.P., then x1, x2, x3 …… xn will be are in A.P.
Geometric Mean Problems with Solutions
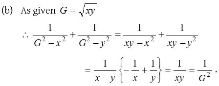
1. If be the geometric mean of x and y, then

Solution:

2. If three geometric means be inserted between 2 and 32, then the third geometric mean will be
(a) 8
(b) 4
(c) 16
(d) 12
Solution:

3. If five G.M.’s are inserted between 486 and 2/3 then fourth G.M. will be
(a) 4
(b) 6
(c) 12
(d) – 6
Solution:

4. The G.M. of roots of the equation x2 – 18x + 9 = 0 is
(a) 3
(b) 4
(c) 2
(d) 1
Solution:

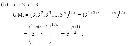
5. The G.M. of the numbers 3, 32, 33, …. 3n is

Solution:

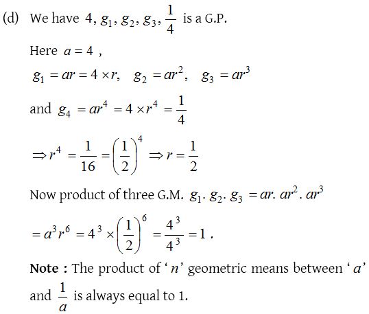
6. The product of three geometric means between 4 and 1/4 will be
(a) 4
(b) 2
(c) -1
(d) 1
Solution:

7. The two geometric means between the number 1 and 64 are
(a) 1 and 64
(b) 4 and 16
(c) 2 and 16
(d) 8 and 16
Solution:
(b) Let 1,a, b, 64 ⇒ a2 = b and b2 = 64a ⇒ a = 4 and b = 16.