Frank ICSE Solutions for Class 9 Maths – Trigonometrical Ratios of Standard Angles
Ex No: 27.1
Solution 1.




Solution 2.


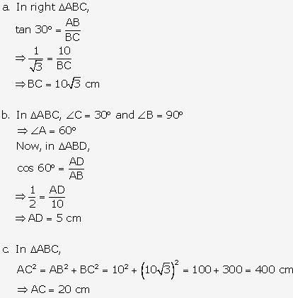
Solution 3a.

Solution 3b.

Solution 3c.

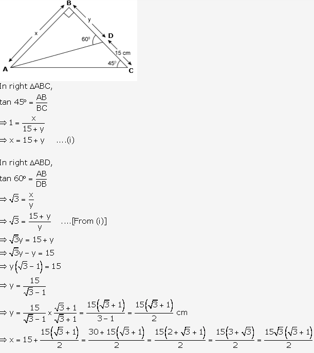
Solution 3d.

Solution 4a.

Solution 4b.

Solution 4c.

Solution 4d.

Solution 4e.

Solution 4f.

Solution 5a.

Solution 5b.

Solution 6.

Solution 7a.

Solution 7b.

Solution 7c.

Solution 8.


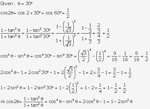
Solution 9.

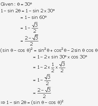
Solution 10.

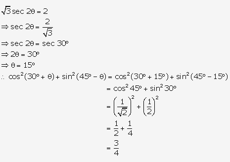
Solution 11.

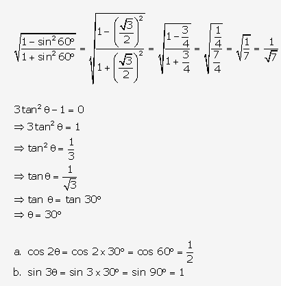
Solution 12a.

Solution 12b.

Solution 12c.

Solution 12d.

Solution 12e.

Solution 13a.

Solution 13b.

Solution 14.

Solution 15.

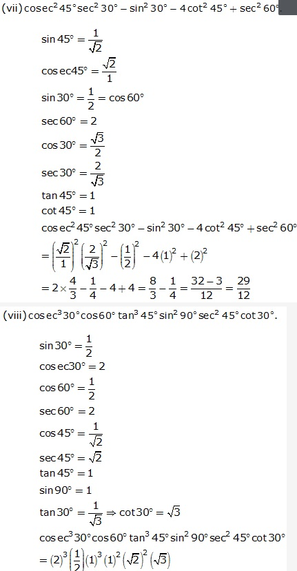
Solution 16a.

Solution 16b.

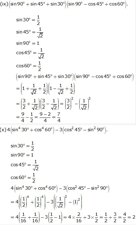
Solution 16c.

Solution 16.

Solution 16a.

Solution 16b.

Solution 16c.

Solution 16d.

Solution 17a.

Solution 17b.

Solution 18.

Solution 19a.

Solution 19b.

Solution 20a.

Solution 20b.

Solution 20c.

Solution 21.

Solution 22.

Solution 23.

Solution 24.

Solution 25.

Solution 26.

Solution 27.

Ex No: 27.2
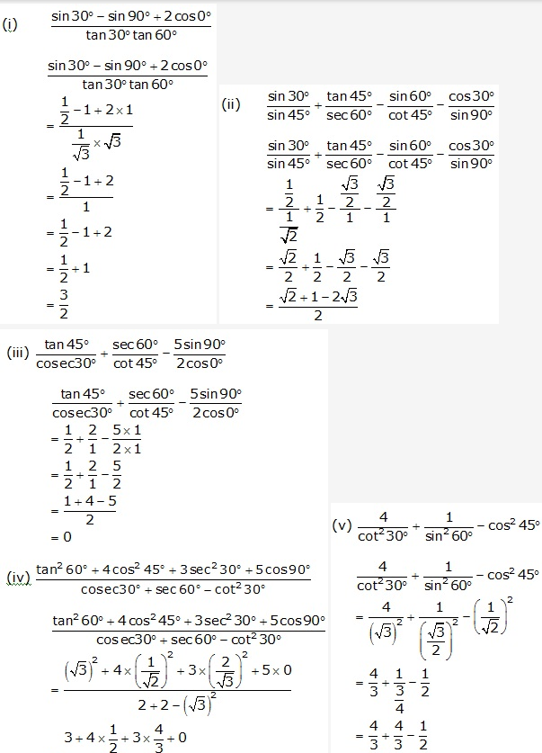
Solution 1a.

Solution 1b.

Solution 1c.

Solution 1d.

Solution 2.

Solution 3.

Solution 4.

Solution 5.

Solution 6.

Solution 7.

Solution 8.

Solution 9a.

Solution 9b.

Solution 9c.

Solution 9d.

Solution 9e.

Solution 9f.

Solution 10a.

Solution 10b.

Solution 11.

Solution 12a.

Solution 12b.

Solution 13.

Solution 17.

Solution 18.

Solution 19.


Solution 20.

Solution 21.

Ex No: 27.3
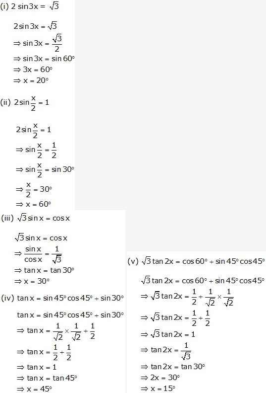
Solution 1a.

Solution 1b.

Solution 1c.

Solution 1d.

Solution 1e.

Solution 1f.

Solution 2a.

Solution 2b.

Solution 2c.

Solution 2d.

Solution 2e.

Solution 2f.

Solution 3a.

Solution 3b.

Solution 3c.

Solution 3d.

Solution 4a.

Solution 4b.

Solution 4c.

Solution 4d.

Solution 4e.

Solution 4f.

Solution 5a.

Solution 5b.

Solution 5c.

Solution 5d.

Solution 5e.

Solution 5f.

Solution 5g.

Solution 5h.

Solution 5i.

Solution 5j.

Solution 6.

Solution 7.

Solution 8.

Solution 9.

Solution 10.

Solution 11.

Solution 12.

Solution 13.

Solution 14a.

Solution 14b.

Solution 14c.

Solution 14d.

Solution 15.
