Frank ICSE Solutions for Class 9 Maths Trigonometrical Ratios Ex 26.1
Download Formulae Handbook For ICSE Class 9 and 10
Frank ICSE Solutions for Class 9 Maths Chapter 26 Trigonometrical Ratios Ex 26.1
Answer 1.













Answer 2.


Answer 3.


Answer 4.

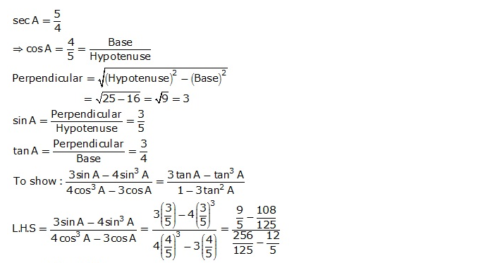
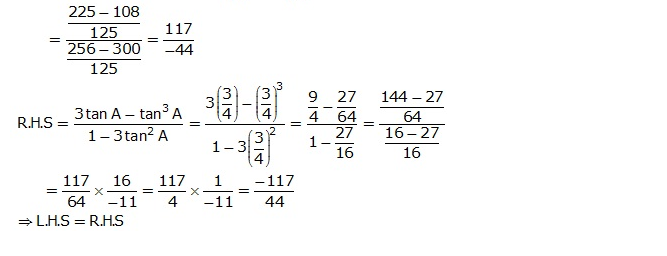
Answer 5.

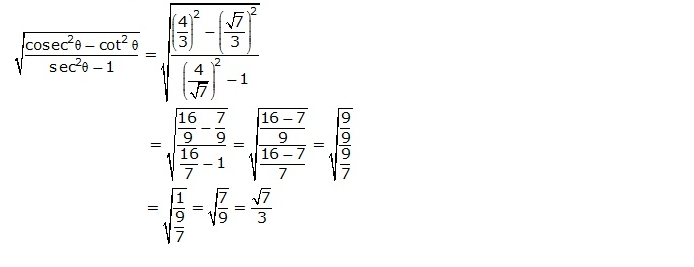
Answer 6.

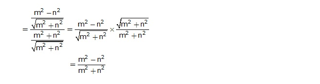
Answer 7.

Answer 8.

Answer 9.

Answer 14.

Answer 19.

Answer 22.

Answer 24.

Answer 25.

Answer 26.

Answer 28.

Answer 30.

Answer 31.

Answer 32.

Answer 33.

Answer 34.

Answer 35.

Answer 36.

Answer 37.


Answer 38.


Answer 39.

Answer 40.

Answer 41.

