Frank ICSE Solutions for Class 9 Maths Simultaneous Linear Equations Ex 8.1
Download Formulae Handbook For ICSE Class 9 and 10
Frank ICSE Solutions for Class 9 Maths Chapter 8 Simultaneous Linear Equations Ex 8.1
Answer 1A.

Answer 1B.

Answer 1C.

Answer 1D.

Answer 1E.

Answer 1F.

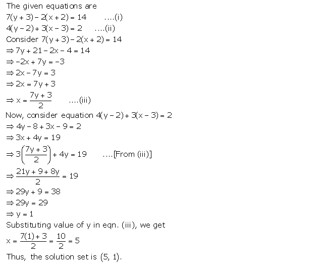
Answer 1G.

Answer 1H.


Answer 1I.

Answer 1J.

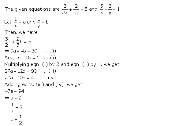
Answer 2.





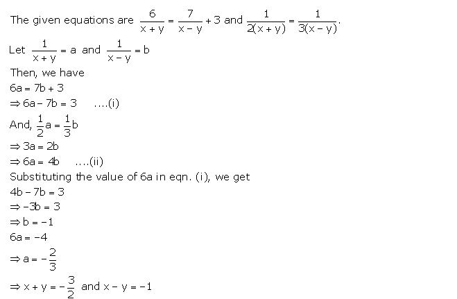
Answer 3A.

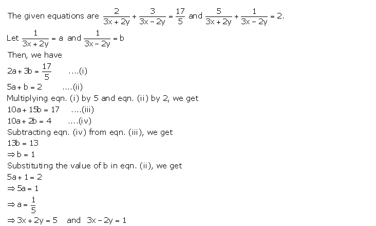
Answer 3B.

Answer 3C.

Answer 3D.

Answer 4A.

Answer 4B.

Answer 4C.


Answer 4D.


Answer 4E.

Answer 4F.


Answer 4G.

Answer 4H.


Answer 4I.


Answer 4K.


Answer 4L.

Answer 5.

Answer 6.

Answer 7.

Answer 8.


Answer 9.

Answer 10.
