Frank ICSE Solutions for Class 9 Maths Logarithms Ex 10.2
Download Formulae Handbook For ICSE Class 9 and 10
Frank ICSE Solutions for Class 9 Maths Chapter 10 Logarithms Ex 10.2
Answer 2.

Answer 3.


Answer 4.


Answer 5.





Answer 6.



Answer 7.





Answer 8.




Answer 9.

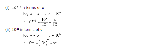
Answer 10A.
![]()
Answer 10B.
![]()
Answer 10C.

Answer 10D.

Answer 11A.

Answer 11B.

Answer 11C.

Answer 11D.

Answer 11E.

Answer 12.

Answer 13.

Answer 14.

Answer 15.

Answer 16.

Answer 17A.

Answer 17B.

Answer 18A.

Answer 18B.

Answer 19.

Answer 20.

Answer 21.

Answer 22.

Answer 23.

Answer 24.

Answer 25.

Answer 26.

Answer 27.

Answer 28.

Answer 29.


Answer 30.

Answer 21A.

Answer 31B.

Answer 32A.

Answer 32B.

Answer 32C.

Answer 33.

Answer 34.


Answer 35.

Answer 36.

Answer 37.

Answer 38.

Answer 39.

Answer 40.

Answer 41A.

Answer 41B.

Answer 42.

Answer 43.
