Frank ICSE Solutions for Class 9 Maths Logarithms Ex 10.1
Download Formulae Handbook For ICSE Class 9 and 10
Frank ICSE Solutions for Class 9 Maths Chapter 10 Logarithms Ex 10.1
Answer 1.


Answer 2.


Answer 3.


Answer 4.





Answer 5.

Answer 6.

Answer 7.

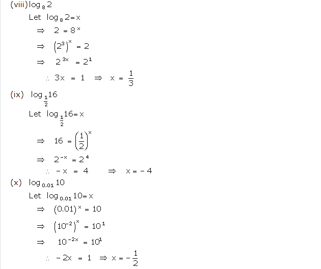
Answer 8.

Answer 9.

Answer 10.

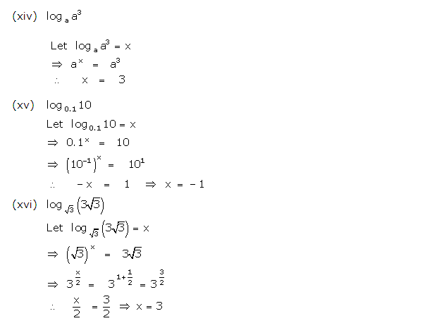
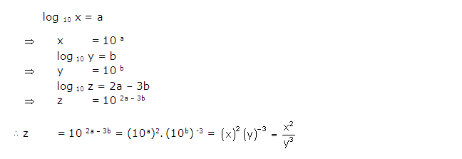
Answer 1.

