Frank ICSE Solutions for Class 9 Maths Irrational Numbers Ex 1.3
Download Formulae Handbook For ICSE Class 9 and 10
Frank ICSE Solutions for Class 9 Maths Chapter 1 Irrational Numbers Ex 1.3
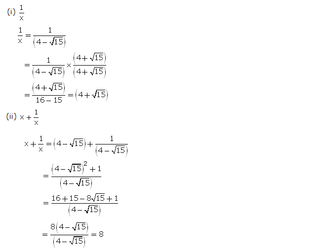
Answer 1A.

Answer 1B.

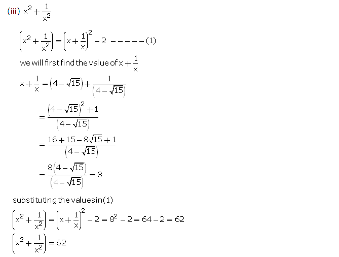
Answer 1C.

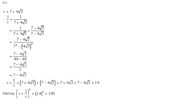
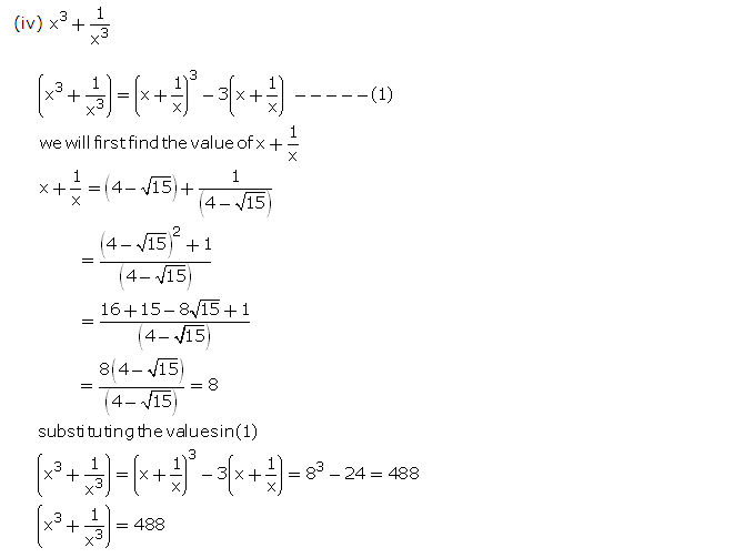
Answer 1D.

Answer 1E.

Answer 1F.

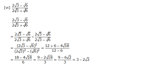
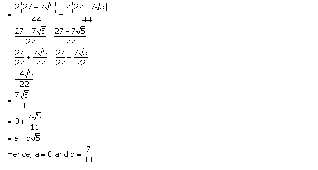
Answer 1G.

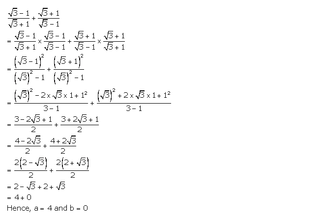
Answer 1H.

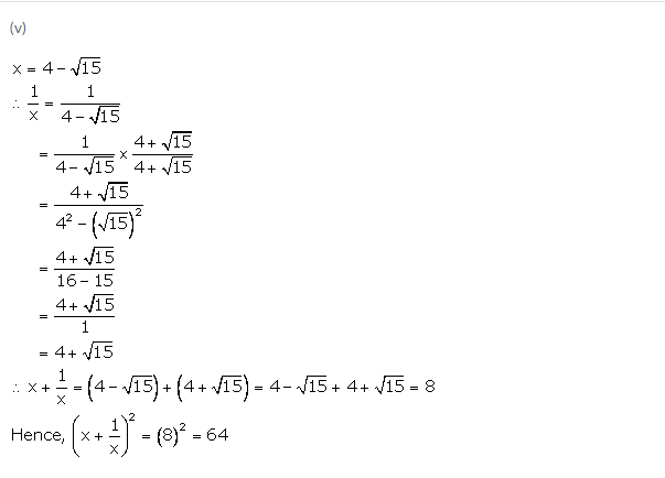
Answer 1I.

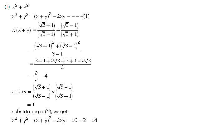
Answer 2.










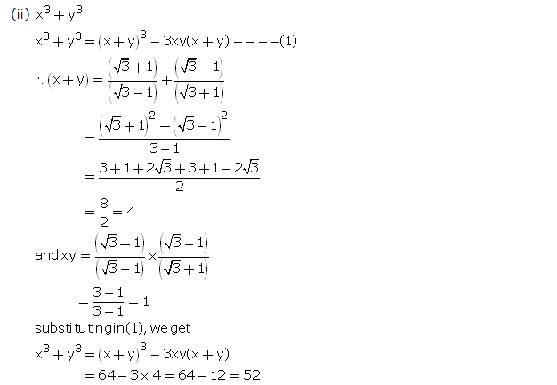
Answer 3.



Answer 4.





Answer 5.


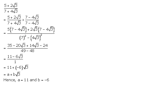
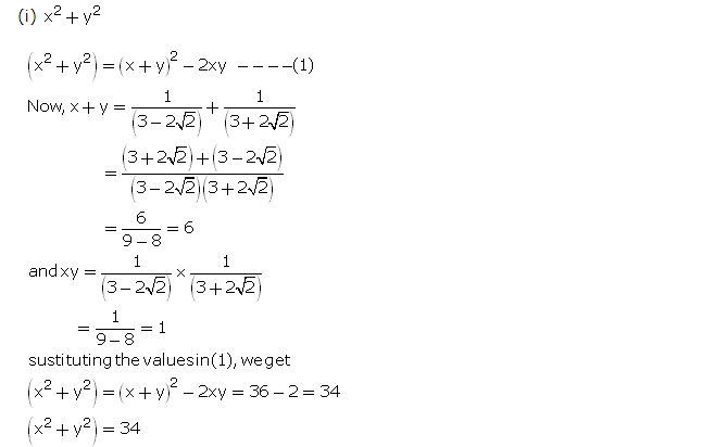
Answer 6A.

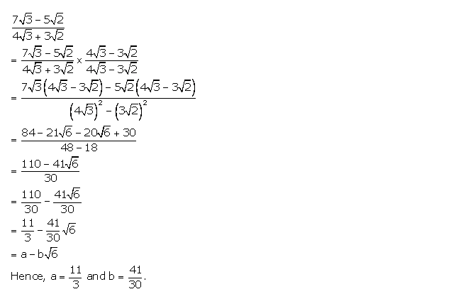
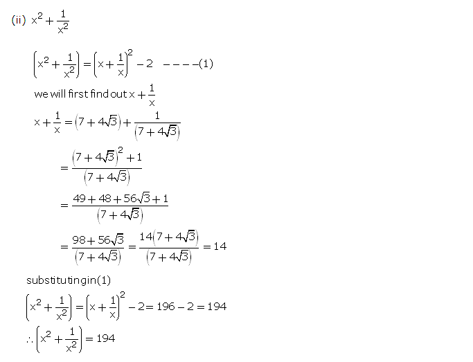
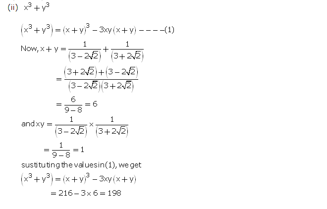
Answer 6B.

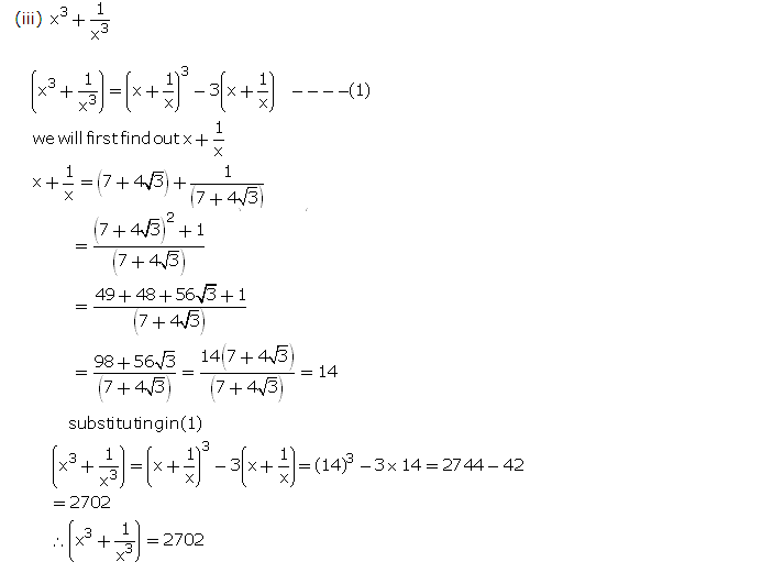
Answer 6C.

Answer 6D.

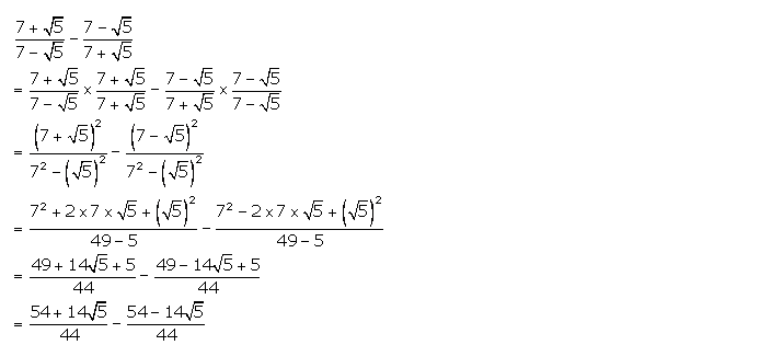
Answer 6E.

Answer 6F.

Answer 6G.

Answer 6H.

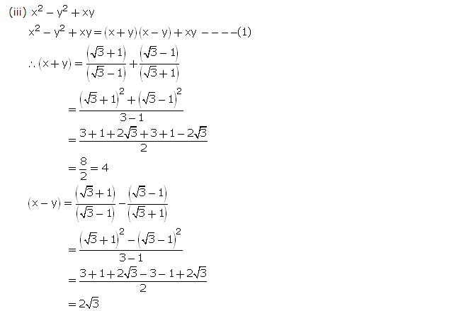
Answer 6I.

“
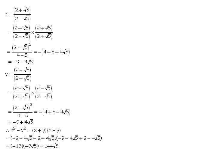
Answer 6J.

Answer 7.




Answer 8.




Answer 9.

Answer 10.




Answer 11.

